KTa0.55Nb0.45O3改性Bi0.5Na0.5TiO3无铅储能铁电陶瓷的合成与表征

IF 2.6 4区 材料科学 Q2 MATERIALS SCIENCE, CERAMICS
Vishal Rohilla, Mukesh Kumar, Narayan Singh Panwar
{"title":"KTa0.55Nb0.45O3改性Bi0.5Na0.5TiO3无铅储能铁电陶瓷的合成与表征","authors":"Vishal Rohilla,&nbsp;Mukesh Kumar,&nbsp;Narayan Singh Panwar","doi":"10.1007/s10832-025-00385-1","DOIUrl":null,"url":null,"abstract":"<div><p>This study explores the synthesis and characterization of lead-free (1-<i>x</i>)(Bi<sub>0.5</sub>Na<sub>0.5</sub>TiO<sub>3</sub>) – <i>x</i>(KTa<sub>0.55</sub>Nb<sub>0.45</sub>O<sub>3</sub>) (BNT-KTN55) ceramics for their potential for practical energy storage applications, at an electric field &lt; 50 kV/cm. The research addresses the challenge of optimizing relaxor ferroelectric behavior to exhibit a thin <i>P-E</i> loop at this practically relevant electric field. In the study, X-ray diffraction (XRD) and <i>Rietveld</i> refinement confirmed a coexistence of rhombohedral (<i>R</i>3<i>c</i>) and tetragonal (<i>P</i>4<i>bm</i>) phases, with increasing tetragonal phase content as KTN55 doping increased. Scanning Electron Microscopy (SEM) revealed a significant reduction in grain size from 4.34 μm to 0.73 μm. Dielectric measurements showed typical relaxor ferroelectric behavior with frequency-dependent anomalies at <i>T</i><sub>s</sub>, <i>T</i><sub>m</sub> and a flat dielectric response in the range of 75° C to 310° C for higher doping levels. Ferroelectric measurements indicated a steady reduction in remnant polarization (<i>P</i><sub>r</sub>) and coercive field (<i>E</i><sub><i>c</i></sub>) with increasing KTN55 content. The composition with <i>x</i> = 0.06 demonstrated optimal performance, with a remnant polarization of 0.96 µC/cm², a maximum polarization of 14.42 µC/cm², and a discharge efficiency of 97.86% under a field of 43 kV/cm. The Recoverable energy density (<i>W</i><sub>rec</sub>) reached 0.295 J/cm³. All of the produced composite samples demonstrated stability without breakdown under the maximum applied electric field of 200 kV/cm, as limited by the instrument. Thus, their breakdown field exceeds this value, qualifying them as high breakdown field ceramics. These results suggest that BNT-KTN55 ceramics, particularly with <i>x</i> = 0.06, is a promising candidate for high-efficiency energy storage applications such as capacitors and pulse power devices.</p></div>","PeriodicalId":625,"journal":{"name":"Journal of Electroceramics","volume":"53 2","pages":"243 - 256"},"PeriodicalIF":2.6000,"publicationDate":"2025-03-06","publicationTypes":"Journal Article","fieldsOfStudy":null,"isOpenAccess":false,"openAccessPdf":"","citationCount":"0","resultStr":"{\"title\":\"Synthesis and characterization of KTa0.55Nb0.45O3 modified Bi0.5Na0.5TiO3 lead-free Ferroelectric ceramic for energy storage applications\",\"authors\":\"Vishal Rohilla,&nbsp;Mukesh Kumar,&nbsp;Narayan Singh Panwar\",\"doi\":\"10.1007/s10832-025-00385-1\",\"DOIUrl\":null,\"url\":null,\"abstract\":\"<div><p>This study explores the synthesis and characterization of lead-free (1-<i>x</i>)(Bi<sub>0.5</sub>Na<sub>0.5</sub>TiO<sub>3</sub>) – <i>x</i>(KTa<sub>0.55</sub>Nb<sub>0.45</sub>O<sub>3</sub>) (BNT-KTN55) ceramics for their potential for practical energy storage applications, at an electric field &lt; 50 kV/cm. The research addresses the challenge of optimizing relaxor ferroelectric behavior to exhibit a thin <i>P-E</i> loop at this practically relevant electric field. In the study, X-ray diffraction (XRD) and <i>Rietveld</i> refinement confirmed a coexistence of rhombohedral (<i>R</i>3<i>c</i>) and tetragonal (<i>P</i>4<i>bm</i>) phases, with increasing tetragonal phase content as KTN55 doping increased. Scanning Electron Microscopy (SEM) revealed a significant reduction in grain size from 4.34 μm to 0.73 μm. Dielectric measurements showed typical relaxor ferroelectric behavior with frequency-dependent anomalies at <i>T</i><sub>s</sub>, <i>T</i><sub>m</sub> and a flat dielectric response in the range of 75° C to 310° C for higher doping levels. Ferroelectric measurements indicated a steady reduction in remnant polarization (<i>P</i><sub>r</sub>) and coercive field (<i>E</i><sub><i>c</i></sub>) with increasing KTN55 content. The composition with <i>x</i> = 0.06 demonstrated optimal performance, with a remnant polarization of 0.96 µC/cm², a maximum polarization of 14.42 µC/cm², and a discharge efficiency of 97.86% under a field of 43 kV/cm. The Recoverable energy density (<i>W</i><sub>rec</sub>) reached 0.295 J/cm³. All of the produced composite samples demonstrated stability without breakdown under the maximum applied electric field of 200 kV/cm, as limited by the instrument. Thus, their breakdown field exceeds this value, qualifying them as high breakdown field ceramics. These results suggest that BNT-KTN55 ceramics, particularly with <i>x</i> = 0.06, is a promising candidate for high-efficiency energy storage applications such as capacitors and pulse power devices.</p></div>\",\"PeriodicalId\":625,\"journal\":{\"name\":\"Journal of Electroceramics\",\"volume\":\"53 2\",\"pages\":\"243 - 256\"},\"PeriodicalIF\":2.6000,\"publicationDate\":\"2025-03-06\",\"publicationTypes\":\"Journal Article\",\"fieldsOfStudy\":null,\"isOpenAccess\":false,\"openAccessPdf\":\"\",\"citationCount\":\"0\",\"resultStr\":null,\"platform\":\"Semanticscholar\",\"paperid\":null,\"PeriodicalName\":\"Journal of Electroceramics\",\"FirstCategoryId\":\"88\",\"ListUrlMain\":\"https://link.springer.com/article/10.1007/s10832-025-00385-1\",\"RegionNum\":4,\"RegionCategory\":\"材料科学\",\"ArticlePicture\":[],\"TitleCN\":null,\"AbstractTextCN\":null,\"PMCID\":null,\"EPubDate\":\"\",\"PubModel\":\"\",\"JCR\":\"Q2\",\"JCRName\":\"MATERIALS SCIENCE, CERAMICS\",\"Score\":null,\"Total\":0}","platform":"Semanticscholar","paperid":null,"PeriodicalName":"Journal of Electroceramics","FirstCategoryId":"88","ListUrlMain":"https://link.springer.com/article/10.1007/s10832-025-00385-1","RegionNum":4,"RegionCategory":"材料科学","ArticlePicture":[],"TitleCN":null,"AbstractTextCN":null,"PMCID":null,"EPubDate":"","PubModel":"","JCR":"Q2","JCRName":"MATERIALS SCIENCE, CERAMICS","Score":null,"Total":0}
引用次数: 0

摘要

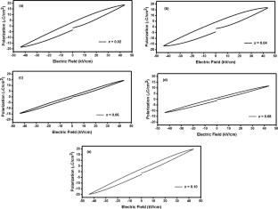
本研究探索了无铅(1-x)(Bi0.5Na0.5TiO3) -x (KTa0.55Nb0.45O3) (BNT-KTN55)陶瓷在50 kV/cm电场下的实际储能应用潜力的合成和表征。该研究解决了优化弛豫铁电行为的挑战,以在实际相关的电场中表现出薄的P-E环。在研究中,x射线衍射(XRD)和Rietveld细化证实了菱形相(R3c)和四方相(P4bm)共存,四方相含量随着KTN55掺杂量的增加而增加。扫描电镜(SEM)显示,晶粒尺寸从4.34 μm减小到0.73 μm。介电测量显示出典型的弛豫铁电行为,在Ts, Tm处具有频率相关的异常,并且在高掺杂水平的75°C至310°C范围内具有平坦的介电响应。铁电测量表明,随着KTN55含量的增加,残余极化(Pr)和矫顽力场(Ec)稳定降低。当x = 0.06时,在43 kV/cm的电场下,剩余极化率为0.96µC/cm²,最大极化率为14.42µC/cm²,放电效率为97.86%。可回收能量密度(Wrec)达到0.295 J/cm³。在所制备的复合材料样品中,受仪器限制,在200 kV/cm的最大外加电场下均表现出不击穿的稳定性。因此,它们的击穿场超过这个值,使它们成为高击穿场陶瓷。这些结果表明,BNT-KTN55陶瓷,特别是x = 0.06,是高效储能应用(如电容器和脉冲功率器件)的有希望的候选者。
本文章由计算机程序翻译,如有差异,请以英文原文为准。

Synthesis and characterization of KTa0.55Nb0.45O3 modified Bi0.5Na0.5TiO3 lead-free Ferroelectric ceramic for energy storage applications

Synthesis and characterization of KTa0.55Nb0.45O3 modified Bi0.5Na0.5TiO3 lead-free Ferroelectric ceramic for energy storage applications

Synthesis and characterization of KTa0.55Nb0.45O3 modified Bi0.5Na0.5TiO3 lead-free Ferroelectric ceramic for energy storage applications

This study explores the synthesis and characterization of lead-free (1-x)(Bi0.5Na0.5TiO3) – x(KTa0.55Nb0.45O3) (BNT-KTN55) ceramics for their potential for practical energy storage applications, at an electric field < 50 kV/cm. The research addresses the challenge of optimizing relaxor ferroelectric behavior to exhibit a thin P-E loop at this practically relevant electric field. In the study, X-ray diffraction (XRD) and Rietveld refinement confirmed a coexistence of rhombohedral (R3c) and tetragonal (P4bm) phases, with increasing tetragonal phase content as KTN55 doping increased. Scanning Electron Microscopy (SEM) revealed a significant reduction in grain size from 4.34 μm to 0.73 μm. Dielectric measurements showed typical relaxor ferroelectric behavior with frequency-dependent anomalies at Ts, Tm and a flat dielectric response in the range of 75° C to 310° C for higher doping levels. Ferroelectric measurements indicated a steady reduction in remnant polarization (Pr) and coercive field (Ec) with increasing KTN55 content. The composition with x = 0.06 demonstrated optimal performance, with a remnant polarization of 0.96 µC/cm², a maximum polarization of 14.42 µC/cm², and a discharge efficiency of 97.86% under a field of 43 kV/cm. The Recoverable energy density (Wrec) reached 0.295 J/cm³. All of the produced composite samples demonstrated stability without breakdown under the maximum applied electric field of 200 kV/cm, as limited by the instrument. Thus, their breakdown field exceeds this value, qualifying them as high breakdown field ceramics. These results suggest that BNT-KTN55 ceramics, particularly with x = 0.06, is a promising candidate for high-efficiency energy storage applications such as capacitors and pulse power devices.

求助全文
通过发布文献求助,成功后即可免费获取论文全文。 去求助
来源期刊
Journal of Electroceramics
Journal of Electroceramics 工程技术-材料科学:硅酸盐
CiteScore
2.80
自引率
5.90%
发文量
22
审稿时长
5.7 months
期刊介绍: While ceramics have traditionally been admired for their mechanical, chemical and thermal stability, their unique electrical, optical and magnetic properties have become of increasing importance in many key technologies including communications, energy conversion and storage, electronics and automation. Electroceramics benefit greatly from their versatility in properties including: -insulating to metallic and fast ion conductivity -piezo-, ferro-, and pyro-electricity -electro- and nonlinear optical properties -feromagnetism. When combined with thermal, mechanical, and chemical stability, these properties often render them the materials of choice. The Journal of Electroceramics is dedicated to providing a forum of discussion cutting across issues in electrical, optical, and magnetic ceramics. Driven by the need for miniaturization, cost, and enhanced functionality, the field of electroceramics is growing rapidly in many new directions. The Journal encourages discussions of resultant trends concerning silicon-electroceramic integration, nanotechnology, ceramic-polymer composites, grain boundary and defect engineering, etc.
×
引用
GB/T 7714-2015
复制
MLA
复制
APA
复制
导出至
BibTeX EndNote RefMan NoteFirst NoteExpress
×
提示
您的信息不完整,为了账户安全,请先补充。
现在去补充
×
提示
您因"违规操作"
具体请查看互助需知
我知道了
×
提示
确定
请完成安全验证×
copy
已复制链接
快去分享给好友吧!
我知道了
右上角分享
点击右上角分享
0
联系我们:info@booksci.cn Book学术提供免费学术资源搜索服务,方便国内外学者检索中英文文献。致力于提供最便捷和优质的服务体验。 Copyright © 2023 布克学术 All rights reserved.
京ICP备2023020795号-1
ghs 京公网安备 11010802042870号
Book学术文献互助
Book学术文献互助群
群 号:604180095
Book学术官方微信