大力神流和外椭圆环 \(\boldsymbol{R_{1}R_{2}}\)

IF 1.4 4区 物理与天体物理 Q3 ASTRONOMY & ASTROPHYSICS
A. M. Melnik, E. N. Podzolkova
{"title":"大力神流和外椭圆环 \\(\\boldsymbol{R_{1}R_{2}}\\)","authors":"A. M. Melnik,&nbsp;E. N. Podzolkova","doi":"10.1134/S1990341325600140","DOIUrl":null,"url":null,"abstract":"<p>We study the formation of the Hercules stream in the model Galactic disk which includes the outer resonance ring <span>\\(R_{1}R_{2}\\)</span> located near the Outer Lindblad Resonance (OLR) of the bar. The Hercules region and the anti-Hercules region, introduced for calibration, were restricted in space by the solar neighbourhood <span>\\(r&lt;0.5\\)</span> kpc, and on the (<span>\\(V_{R}\\)</span>, <span>\\(V_{T}\\)</span>) plane by ellipses centered at <span>\\(V_{R}=25\\)</span> km s<span>\\({}^{-1}\\)</span> and <span>\\(V_{T}=200\\)</span> km s<span>\\({}^{-1}\\)</span> (Hercules), and at <span>\\(V_{R}=-25\\)</span> km s<span>\\({}^{-1}\\)</span> and <span>\\(V_{T}=200\\)</span> km s<span>\\({}^{-1}\\)</span> (anti-Hercules). The number of stars in the Hercules region reaches a maximum in the time period of <span>\\(2-3\\)</span> Gyr from the start of simulation and the number of stars in the anti-Hercules region oscillates with a period of <span>\\(1.8\\pm 0.1\\)</span> Gyr. The majority of stars in the model disk located in the Hercules and anti-Hercules regions have orbits elongated perpendicular and parallel to the bar, respectively. The median value of the initial distances of stars in the Hercules (anti-Hercules) region is slightly smaller (larger) than the OLR radius, respectively. There are two types of orbits in the Hercules region. Orbits of the first type always lie inside a figure bounded by two ellipses elongated perpendicular to the bar. Orbits of the second type are elongated at the angles of <span>\\(-60^{\\circ}\\)</span> or <span>\\(60^{\\circ}\\)</span> to the major axis of the bar most of the time. The distribution of stars in the Hercules region along the period of slow oscillations in the angular momentum has two maxima: <span>\\(P=0.7\\)</span> and 2.6 Gyr corresponding to orbits of the first and second type. In the anti-Hercules region, most orbits are captured by libration relative to the major axis of the bar with a period of 1.9 Gyr. In general, orbits in the Hercules and anti-Hercules regions support the outer rings <span>\\(R_{1}\\)</span> and <span>\\(R_{2}\\)</span> elongated perpendicular and parallel to the bar, respectively. Stars from the Gaia DR3 catalog located in the Hercules region appear to be, on average, brighter, bluer, and more luminous than stars in the anti-Hercules region which is probably caused by selection effects due to different distributions of these stellar samples over the Galactic latitude <span>\\(b\\)</span>.</p>","PeriodicalId":478,"journal":{"name":"Astrophysical Bulletin","volume":"80 2","pages":"254 - 273"},"PeriodicalIF":1.4000,"publicationDate":"2025-08-21","publicationTypes":"Journal Article","fieldsOfStudy":null,"isOpenAccess":false,"openAccessPdf":"","citationCount":"0","resultStr":"{\"title\":\"Hercules Stream and the Outer Elliptical Ring \\\\(\\\\boldsymbol{R_{1}R_{2}}\\\\)\",\"authors\":\"A. M. Melnik,&nbsp;E. N. Podzolkova\",\"doi\":\"10.1134/S1990341325600140\",\"DOIUrl\":null,\"url\":null,\"abstract\":\"<p>We study the formation of the Hercules stream in the model Galactic disk which includes the outer resonance ring <span>\\\\(R_{1}R_{2}\\\\)</span> located near the Outer Lindblad Resonance (OLR) of the bar. The Hercules region and the anti-Hercules region, introduced for calibration, were restricted in space by the solar neighbourhood <span>\\\\(r&lt;0.5\\\\)</span> kpc, and on the (<span>\\\\(V_{R}\\\\)</span>, <span>\\\\(V_{T}\\\\)</span>) plane by ellipses centered at <span>\\\\(V_{R}=25\\\\)</span> km s<span>\\\\({}^{-1}\\\\)</span> and <span>\\\\(V_{T}=200\\\\)</span> km s<span>\\\\({}^{-1}\\\\)</span> (Hercules), and at <span>\\\\(V_{R}=-25\\\\)</span> km s<span>\\\\({}^{-1}\\\\)</span> and <span>\\\\(V_{T}=200\\\\)</span> km s<span>\\\\({}^{-1}\\\\)</span> (anti-Hercules). The number of stars in the Hercules region reaches a maximum in the time period of <span>\\\\(2-3\\\\)</span> Gyr from the start of simulation and the number of stars in the anti-Hercules region oscillates with a period of <span>\\\\(1.8\\\\pm 0.1\\\\)</span> Gyr. The majority of stars in the model disk located in the Hercules and anti-Hercules regions have orbits elongated perpendicular and parallel to the bar, respectively. The median value of the initial distances of stars in the Hercules (anti-Hercules) region is slightly smaller (larger) than the OLR radius, respectively. There are two types of orbits in the Hercules region. Orbits of the first type always lie inside a figure bounded by two ellipses elongated perpendicular to the bar. Orbits of the second type are elongated at the angles of <span>\\\\(-60^{\\\\circ}\\\\)</span> or <span>\\\\(60^{\\\\circ}\\\\)</span> to the major axis of the bar most of the time. The distribution of stars in the Hercules region along the period of slow oscillations in the angular momentum has two maxima: <span>\\\\(P=0.7\\\\)</span> and 2.6 Gyr corresponding to orbits of the first and second type. In the anti-Hercules region, most orbits are captured by libration relative to the major axis of the bar with a period of 1.9 Gyr. In general, orbits in the Hercules and anti-Hercules regions support the outer rings <span>\\\\(R_{1}\\\\)</span> and <span>\\\\(R_{2}\\\\)</span> elongated perpendicular and parallel to the bar, respectively. Stars from the Gaia DR3 catalog located in the Hercules region appear to be, on average, brighter, bluer, and more luminous than stars in the anti-Hercules region which is probably caused by selection effects due to different distributions of these stellar samples over the Galactic latitude <span>\\\\(b\\\\)</span>.</p>\",\"PeriodicalId\":478,\"journal\":{\"name\":\"Astrophysical Bulletin\",\"volume\":\"80 2\",\"pages\":\"254 - 273\"},\"PeriodicalIF\":1.4000,\"publicationDate\":\"2025-08-21\",\"publicationTypes\":\"Journal Article\",\"fieldsOfStudy\":null,\"isOpenAccess\":false,\"openAccessPdf\":\"\",\"citationCount\":\"0\",\"resultStr\":null,\"platform\":\"Semanticscholar\",\"paperid\":null,\"PeriodicalName\":\"Astrophysical Bulletin\",\"FirstCategoryId\":\"101\",\"ListUrlMain\":\"https://link.springer.com/article/10.1134/S1990341325600140\",\"RegionNum\":4,\"RegionCategory\":\"物理与天体物理\",\"ArticlePicture\":[],\"TitleCN\":null,\"AbstractTextCN\":null,\"PMCID\":null,\"EPubDate\":\"\",\"PubModel\":\"\",\"JCR\":\"Q3\",\"JCRName\":\"ASTRONOMY & ASTROPHYSICS\",\"Score\":null,\"Total\":0}","platform":"Semanticscholar","paperid":null,"PeriodicalName":"Astrophysical Bulletin","FirstCategoryId":"101","ListUrlMain":"https://link.springer.com/article/10.1134/S1990341325600140","RegionNum":4,"RegionCategory":"物理与天体物理","ArticlePicture":[],"TitleCN":null,"AbstractTextCN":null,"PMCID":null,"EPubDate":"","PubModel":"","JCR":"Q3","JCRName":"ASTRONOMY & ASTROPHYSICS","Score":null,"Total":0}
引用次数: 0

摘要

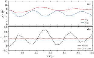
我们研究了包含外共振环的模型银盘中大力神流的形成 \(R_{1}R_{2}\) 位于酒吧的外林德布莱德共振(OLR)附近。为了校准而引入的大力神区域和反大力神区域在空间上受到太阳邻域的限制 \(r<0.5\) ,并在(\(V_{R}\), \(V_{T}\)的椭圆平面 \(V_{R}=25\) Km s\({}^{-1}\) 和 \(V_{T}=200\) Km s\({}^{-1}\) (赫拉克勒斯)和at \(V_{R}=-25\) Km s\({}^{-1}\) 和 \(V_{T}=200\) Km s\({}^{-1}\) (反赫拉克勒斯)。大力神区域的恒星数量在大约的时间内达到最大值 \(2-3\) Gyr从模拟开始,反大力神区域的恒星数量以周期振荡 \(1.8\pm 0.1\) Gyr。位于大力神星和反大力神星区域的模型盘中的大多数恒星的轨道分别垂直于和平行于条形结构。大力神星(反大力神星)区域内恒星的初始距离中值分别略小于(大于)OLR半径。大力神星区域有两种类型的轨道。第一种类型的轨道总是位于一个图形内,这个图形由两个垂直于条的椭圆所包围。第二类的轨道以的角度被拉长 \(-60^{\circ}\) 或 \(60^{\circ}\) 大部分时间都在杆的长轴上。大力神星区恒星沿角动量慢振荡周期的分布有两个极大值: \(P=0.7\) 和2.6 Gyr分别对应第一类和第二类轨道。在反大力神星区域,大多数轨道是通过相对于长轴的振动捕获的,周期为1.9 Gyr。一般来说,大力神星和反大力神星区域的轨道支持外环 \(R_{1}\) 和 \(R_{2}\) 细长的,垂直的,平行于杆的。位于大力神区域的盖亚DR3星表中的恒星平均而言似乎比位于反大力神区域的恒星更亮、更蓝、更亮,这可能是由于这些恒星样本在银河系纬度上的不同分布所造成的选择效应 \(b\).
本文章由计算机程序翻译,如有差异,请以英文原文为准。

Hercules Stream and the Outer Elliptical Ring \(\boldsymbol{R_{1}R_{2}}\)

Hercules Stream and the Outer Elliptical Ring \(\boldsymbol{R_{1}R_{2}}\)

Hercules Stream and the Outer Elliptical Ring \(\boldsymbol{R_{1}R_{2}}\)

We study the formation of the Hercules stream in the model Galactic disk which includes the outer resonance ring \(R_{1}R_{2}\) located near the Outer Lindblad Resonance (OLR) of the bar. The Hercules region and the anti-Hercules region, introduced for calibration, were restricted in space by the solar neighbourhood \(r<0.5\) kpc, and on the (\(V_{R}\), \(V_{T}\)) plane by ellipses centered at \(V_{R}=25\) km s\({}^{-1}\) and \(V_{T}=200\) km s\({}^{-1}\) (Hercules), and at \(V_{R}=-25\) km s\({}^{-1}\) and \(V_{T}=200\) km s\({}^{-1}\) (anti-Hercules). The number of stars in the Hercules region reaches a maximum in the time period of \(2-3\) Gyr from the start of simulation and the number of stars in the anti-Hercules region oscillates with a period of \(1.8\pm 0.1\) Gyr. The majority of stars in the model disk located in the Hercules and anti-Hercules regions have orbits elongated perpendicular and parallel to the bar, respectively. The median value of the initial distances of stars in the Hercules (anti-Hercules) region is slightly smaller (larger) than the OLR radius, respectively. There are two types of orbits in the Hercules region. Orbits of the first type always lie inside a figure bounded by two ellipses elongated perpendicular to the bar. Orbits of the second type are elongated at the angles of \(-60^{\circ}\) or \(60^{\circ}\) to the major axis of the bar most of the time. The distribution of stars in the Hercules region along the period of slow oscillations in the angular momentum has two maxima: \(P=0.7\) and 2.6 Gyr corresponding to orbits of the first and second type. In the anti-Hercules region, most orbits are captured by libration relative to the major axis of the bar with a period of 1.9 Gyr. In general, orbits in the Hercules and anti-Hercules regions support the outer rings \(R_{1}\) and \(R_{2}\) elongated perpendicular and parallel to the bar, respectively. Stars from the Gaia DR3 catalog located in the Hercules region appear to be, on average, brighter, bluer, and more luminous than stars in the anti-Hercules region which is probably caused by selection effects due to different distributions of these stellar samples over the Galactic latitude \(b\).

求助全文
通过发布文献求助,成功后即可免费获取论文全文。 去求助
来源期刊
Astrophysical Bulletin
Astrophysical Bulletin 地学天文-天文与天体物理
CiteScore
2.00
自引率
33.30%
发文量
31
审稿时长
>12 weeks
期刊介绍: Astrophysical Bulletin is an international peer reviewed journal that publishes the results of original research in various areas of modern astronomy and astrophysics, including observational and theoretical astrophysics, physics of the Sun, radio astronomy, stellar astronomy, extragalactic astronomy, cosmology, and astronomy methods and instrumentation.
×
引用
GB/T 7714-2015
复制
MLA
复制
APA
复制
导出至
BibTeX EndNote RefMan NoteFirst NoteExpress
×
提示
您的信息不完整,为了账户安全,请先补充。
现在去补充
×
提示
您因"违规操作"
具体请查看互助需知
我知道了
×
提示
确定
请完成安全验证×
copy
已复制链接
快去分享给好友吧!
我知道了
右上角分享
点击右上角分享
0
联系我们:info@booksci.cn Book学术提供免费学术资源搜索服务,方便国内外学者检索中英文文献。致力于提供最便捷和优质的服务体验。 Copyright © 2023 布克学术 All rights reserved.
京ICP备2023020795号-1
ghs 京公网安备 11010802042870号
Book学术文献互助
Book学术文献互助群
群 号:604180095
Book学术官方微信