基于Gaia DR3数据的造父变星TX Del的轨道参数、半径和分类

IF 1.4 4区 物理与天体物理 Q3 ASTRONOMY & ASTROPHYSICS
A. S. Rastorguev, M. V. Zabolotskikh, N. N. Samus, N. A. Gorynya
{"title":"基于Gaia DR3数据的造父变星TX Del的轨道参数、半径和分类","authors":"A. S. Rastorguev,&nbsp;M. V. Zabolotskikh,&nbsp;N. N. Samus,&nbsp;N. A. Gorynya","doi":"10.1134/S1990341325600103","DOIUrl":null,"url":null,"abstract":"<p>A revision of the orbital parameters of the spectroscopic binary Cepheid TX Del, often classified as a BL Her subtype of T2 variables, has been carried out. The pulsation radius is determined from two series of photometric observations, including Gaia DR3: <span>\\(\\langle R\\rangle\\approx 22.4\\pm 0.8\\,R_{\\odot}\\)</span> for the (<span>\\(B,V\\)</span>) bands and <span>\\(\\langle R\\rangle\\approx 20.6\\pm 0.6\\,R_{\\odot}\\)</span> for the (<span>\\(BP,RP\\)</span>) bands, respectively. The amplitude of the radius variations is about <span>\\(2\\,R_{\\odot}\\)</span>. The new radius estimates are significantly smaller than the previous estimates, which were in the range of 37 to 60 <span>\\(R_{\\odot}\\)</span>. Using the Bayesian distance, <span>\\(\\langle D\\rangle\\approx 1064\\pm 25\\)</span> pc, the absolute values of TX Del are estimated to be <span>\\(\\langle M_{V}\\rangle_{I}\\approx{-}1.31\\pm 0.04\\)</span> mag and <span>\\(\\langle M_{G}\\rangle_{I}\\approx{-}1.40\\pm 0.03\\)</span> mag, respectively. The absolute magnitude and mean radius of TX Del are in excellent agreement with the predictions of the ‘‘period–luminosity’’ and ‘‘period–radius’’ relations for T2 Cepheids with a period of <span>\\(P_{\\textrm{pls}}\\approx 6.1662\\)</span> days; TX Del is approximately <span>\\(2\\overset{\\textrm{m}}{.}2\\)</span> fainter than classical Cepheids with the same period. It is shown that for orbital plane inclination angles <span>\\(20^{\\circ}&lt;i&lt;(30{-}35)^{\\circ}\\)</span> the satellite can be more massive than the main component, which leads to an evolutionary scenario with mass exchange. The current Roche sphere filling degree is <span>\\(37{-}55\\%\\)</span>. The orbit of the binary system TX Del calculated based on astrometric data from Gaia DR3 and radial velocity is limited by a <span>\\(|z|&lt;0.42\\)</span> kpc torus with the inner and outer radii equal to 7.2 and 8.3 kpc, respectively, while the vertical velocity is <span>\\(|V_{z}|\\leq 38\\)</span> km s<span>\\({}^{-1}\\)</span>; the period of galactovertical oscillations is about 77 Myrs. The tangential velocity is 220–255 km s<span>\\({}^{-1}\\)</span>. The high metallicity and kinematic characteristics allow us to refer TX Del to the population of the old disk of the Milky Way with a vertical scale <span>\\(H_{z}\\approx 0.3\\)</span> kpc (or to a thick disk with <span>\\(H_{z}\\approx 0.85\\)</span> kpc). At the same time, in terms of pulsation characteristics (period, luminosity, and position in the instability strip), TX Del is close to Population II Cepheids with <span>\\(\\textrm{[Fe/H]}&lt;{-}1\\)</span> (including globular cluster Cepheids) that are at the evolutionary stage after the horizontal branch. To finally clarify the evolutionary status of such variables, additional evolutionary and pulsation calculations are required over a wider range of periods and luminosities.</p>","PeriodicalId":478,"journal":{"name":"Astrophysical Bulletin","volume":"80 2","pages":"242 - 253"},"PeriodicalIF":1.4000,"publicationDate":"2025-08-21","publicationTypes":"Journal Article","fieldsOfStudy":null,"isOpenAccess":false,"openAccessPdf":"","citationCount":"0","resultStr":"{\"title\":\"Orbital Parameters, Radius and Classification of the Spectroscopic Binary Cepheid TX Del Based on Gaia DR3 Data\",\"authors\":\"A. S. Rastorguev,&nbsp;M. V. Zabolotskikh,&nbsp;N. N. Samus,&nbsp;N. A. Gorynya\",\"doi\":\"10.1134/S1990341325600103\",\"DOIUrl\":null,\"url\":null,\"abstract\":\"<p>A revision of the orbital parameters of the spectroscopic binary Cepheid TX Del, often classified as a BL Her subtype of T2 variables, has been carried out. The pulsation radius is determined from two series of photometric observations, including Gaia DR3: <span>\\\\(\\\\langle R\\\\rangle\\\\approx 22.4\\\\pm 0.8\\\\,R_{\\\\odot}\\\\)</span> for the (<span>\\\\(B,V\\\\)</span>) bands and <span>\\\\(\\\\langle R\\\\rangle\\\\approx 20.6\\\\pm 0.6\\\\,R_{\\\\odot}\\\\)</span> for the (<span>\\\\(BP,RP\\\\)</span>) bands, respectively. The amplitude of the radius variations is about <span>\\\\(2\\\\,R_{\\\\odot}\\\\)</span>. The new radius estimates are significantly smaller than the previous estimates, which were in the range of 37 to 60 <span>\\\\(R_{\\\\odot}\\\\)</span>. Using the Bayesian distance, <span>\\\\(\\\\langle D\\\\rangle\\\\approx 1064\\\\pm 25\\\\)</span> pc, the absolute values of TX Del are estimated to be <span>\\\\(\\\\langle M_{V}\\\\rangle_{I}\\\\approx{-}1.31\\\\pm 0.04\\\\)</span> mag and <span>\\\\(\\\\langle M_{G}\\\\rangle_{I}\\\\approx{-}1.40\\\\pm 0.03\\\\)</span> mag, respectively. The absolute magnitude and mean radius of TX Del are in excellent agreement with the predictions of the ‘‘period–luminosity’’ and ‘‘period–radius’’ relations for T2 Cepheids with a period of <span>\\\\(P_{\\\\textrm{pls}}\\\\approx 6.1662\\\\)</span> days; TX Del is approximately <span>\\\\(2\\\\overset{\\\\textrm{m}}{.}2\\\\)</span> fainter than classical Cepheids with the same period. It is shown that for orbital plane inclination angles <span>\\\\(20^{\\\\circ}&lt;i&lt;(30{-}35)^{\\\\circ}\\\\)</span> the satellite can be more massive than the main component, which leads to an evolutionary scenario with mass exchange. The current Roche sphere filling degree is <span>\\\\(37{-}55\\\\%\\\\)</span>. The orbit of the binary system TX Del calculated based on astrometric data from Gaia DR3 and radial velocity is limited by a <span>\\\\(|z|&lt;0.42\\\\)</span> kpc torus with the inner and outer radii equal to 7.2 and 8.3 kpc, respectively, while the vertical velocity is <span>\\\\(|V_{z}|\\\\leq 38\\\\)</span> km s<span>\\\\({}^{-1}\\\\)</span>; the period of galactovertical oscillations is about 77 Myrs. The tangential velocity is 220–255 km s<span>\\\\({}^{-1}\\\\)</span>. The high metallicity and kinematic characteristics allow us to refer TX Del to the population of the old disk of the Milky Way with a vertical scale <span>\\\\(H_{z}\\\\approx 0.3\\\\)</span> kpc (or to a thick disk with <span>\\\\(H_{z}\\\\approx 0.85\\\\)</span> kpc). At the same time, in terms of pulsation characteristics (period, luminosity, and position in the instability strip), TX Del is close to Population II Cepheids with <span>\\\\(\\\\textrm{[Fe/H]}&lt;{-}1\\\\)</span> (including globular cluster Cepheids) that are at the evolutionary stage after the horizontal branch. To finally clarify the evolutionary status of such variables, additional evolutionary and pulsation calculations are required over a wider range of periods and luminosities.</p>\",\"PeriodicalId\":478,\"journal\":{\"name\":\"Astrophysical Bulletin\",\"volume\":\"80 2\",\"pages\":\"242 - 253\"},\"PeriodicalIF\":1.4000,\"publicationDate\":\"2025-08-21\",\"publicationTypes\":\"Journal Article\",\"fieldsOfStudy\":null,\"isOpenAccess\":false,\"openAccessPdf\":\"\",\"citationCount\":\"0\",\"resultStr\":null,\"platform\":\"Semanticscholar\",\"paperid\":null,\"PeriodicalName\":\"Astrophysical Bulletin\",\"FirstCategoryId\":\"101\",\"ListUrlMain\":\"https://link.springer.com/article/10.1134/S1990341325600103\",\"RegionNum\":4,\"RegionCategory\":\"物理与天体物理\",\"ArticlePicture\":[],\"TitleCN\":null,\"AbstractTextCN\":null,\"PMCID\":null,\"EPubDate\":\"\",\"PubModel\":\"\",\"JCR\":\"Q3\",\"JCRName\":\"ASTRONOMY & ASTROPHYSICS\",\"Score\":null,\"Total\":0}","platform":"Semanticscholar","paperid":null,"PeriodicalName":"Astrophysical Bulletin","FirstCategoryId":"101","ListUrlMain":"https://link.springer.com/article/10.1134/S1990341325600103","RegionNum":4,"RegionCategory":"物理与天体物理","ArticlePicture":[],"TitleCN":null,"AbstractTextCN":null,"PMCID":null,"EPubDate":"","PubModel":"","JCR":"Q3","JCRName":"ASTRONOMY & ASTROPHYSICS","Score":null,"Total":0}
引用次数: 0

摘要

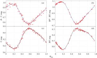
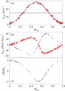
对光谱双星造父变星TX Del的轨道参数进行了修正,造父变星通常被归类为T2变星的BL - Her亚型。脉动半径是由两个系列的光度观测确定的,包括盖亚DR3: (\(B,V\))波段的\(\langle R\rangle\approx 22.4\pm 0.8\,R_{\odot}\)和(\(BP,RP\))波段的\(\langle R\rangle\approx 20.6\pm 0.6\,R_{\odot}\)。半径变化幅度约为\(2\,R_{\odot}\)。新的估计半径比以前的估计要小得多,以前的估计范围在37到60 \(R_{\odot}\)。利用贝叶斯距离\(\langle D\rangle\approx 1064\pm 25\) pc,估计TX Del的绝对值分别为\(\langle M_{V}\rangle_{I}\approx{-}1.31\pm 0.04\) mag和\(\langle M_{G}\rangle_{I}\approx{-}1.40\pm 0.03\) mag。TX Del的绝对星等和平均半径与对周期为\(P_{\textrm{pls}}\approx 6.1662\)天的造父变星T2的“周期-光度”和“周期-半径”关系的预测非常吻合;TX Del大约\(2\overset{\textrm{m}}{.}2\)比同时期的经典造父变星暗淡。结果表明,在轨道平面倾角\(20^{\circ}<i<(30{-}35)^{\circ}\)下,卫星的质量可能大于主部件的质量,从而导致质量交换的演化情景。目前罗氏球填充度为\(37{-}55\%\)。基于Gaia DR3的天体测量数据和径向速度计算的双星系统TX Del的轨道受\(|z|<0.42\) kpc环面限制,其内外半径分别为7.2和8.3 kpc,而垂直速度为\(|V_{z}|\leq 38\) km s \({}^{-1}\);银河系垂直振荡的周期约为77迈。切向速度为220 ~ 255 km s \({}^{-1}\)。高金属丰度和运动学特征使我们能够将TX Del与银河系旧盘的人口以垂直尺度\(H_{z}\approx 0.3\) kpc(或以\(H_{z}\approx 0.85\) kpc表示厚盘)联系起来。同时,在脉动特征(周期、光度、不稳定带位置)方面,TX Del与处于水平分支后进化阶段的造父变星族II相近,\(\textrm{[Fe/H]}<{-}1\)(包括球状星团造父变星)也接近。为了最终阐明这些变量的演化状态,需要在更大的周期和光度范围内进行额外的演化和脉动计算。
本文章由计算机程序翻译,如有差异,请以英文原文为准。

Orbital Parameters, Radius and Classification of the Spectroscopic Binary Cepheid TX Del Based on Gaia DR3 Data

Orbital Parameters, Radius and Classification of the Spectroscopic Binary Cepheid TX Del Based on Gaia DR3 Data

Orbital Parameters, Radius and Classification of the Spectroscopic Binary Cepheid TX Del Based on Gaia DR3 Data

A revision of the orbital parameters of the spectroscopic binary Cepheid TX Del, often classified as a BL Her subtype of T2 variables, has been carried out. The pulsation radius is determined from two series of photometric observations, including Gaia DR3: \(\langle R\rangle\approx 22.4\pm 0.8\,R_{\odot}\) for the (\(B,V\)) bands and \(\langle R\rangle\approx 20.6\pm 0.6\,R_{\odot}\) for the (\(BP,RP\)) bands, respectively. The amplitude of the radius variations is about \(2\,R_{\odot}\). The new radius estimates are significantly smaller than the previous estimates, which were in the range of 37 to 60 \(R_{\odot}\). Using the Bayesian distance, \(\langle D\rangle\approx 1064\pm 25\) pc, the absolute values of TX Del are estimated to be \(\langle M_{V}\rangle_{I}\approx{-}1.31\pm 0.04\) mag and \(\langle M_{G}\rangle_{I}\approx{-}1.40\pm 0.03\) mag, respectively. The absolute magnitude and mean radius of TX Del are in excellent agreement with the predictions of the ‘‘period–luminosity’’ and ‘‘period–radius’’ relations for T2 Cepheids with a period of \(P_{\textrm{pls}}\approx 6.1662\) days; TX Del is approximately \(2\overset{\textrm{m}}{.}2\) fainter than classical Cepheids with the same period. It is shown that for orbital plane inclination angles \(20^{\circ}<i<(30{-}35)^{\circ}\) the satellite can be more massive than the main component, which leads to an evolutionary scenario with mass exchange. The current Roche sphere filling degree is \(37{-}55\%\). The orbit of the binary system TX Del calculated based on astrometric data from Gaia DR3 and radial velocity is limited by a \(|z|<0.42\) kpc torus with the inner and outer radii equal to 7.2 and 8.3 kpc, respectively, while the vertical velocity is \(|V_{z}|\leq 38\) km s\({}^{-1}\); the period of galactovertical oscillations is about 77 Myrs. The tangential velocity is 220–255 km s\({}^{-1}\). The high metallicity and kinematic characteristics allow us to refer TX Del to the population of the old disk of the Milky Way with a vertical scale \(H_{z}\approx 0.3\) kpc (or to a thick disk with \(H_{z}\approx 0.85\) kpc). At the same time, in terms of pulsation characteristics (period, luminosity, and position in the instability strip), TX Del is close to Population II Cepheids with \(\textrm{[Fe/H]}<{-}1\) (including globular cluster Cepheids) that are at the evolutionary stage after the horizontal branch. To finally clarify the evolutionary status of such variables, additional evolutionary and pulsation calculations are required over a wider range of periods and luminosities.

求助全文
通过发布文献求助,成功后即可免费获取论文全文。 去求助
来源期刊
Astrophysical Bulletin
Astrophysical Bulletin 地学天文-天文与天体物理
CiteScore
2.00
自引率
33.30%
发文量
31
审稿时长
>12 weeks
期刊介绍: Astrophysical Bulletin is an international peer reviewed journal that publishes the results of original research in various areas of modern astronomy and astrophysics, including observational and theoretical astrophysics, physics of the Sun, radio astronomy, stellar astronomy, extragalactic astronomy, cosmology, and astronomy methods and instrumentation.
×
引用
GB/T 7714-2015
复制
MLA
复制
APA
复制
导出至
BibTeX EndNote RefMan NoteFirst NoteExpress
×
提示
您的信息不完整,为了账户安全,请先补充。
现在去补充
×
提示
您因"违规操作"
具体请查看互助需知
我知道了
×
提示
确定
请完成安全验证×
copy
已复制链接
快去分享给好友吧!
我知道了
右上角分享
点击右上角分享
0
联系我们:info@booksci.cn Book学术提供免费学术资源搜索服务,方便国内外学者检索中英文文献。致力于提供最便捷和优质的服务体验。 Copyright © 2023 布克学术 All rights reserved.
京ICP备2023020795号-1
ghs 京公网安备 11010802042870号
Book学术文献互助
Book学术文献互助群
群 号:604180095
Book学术官方微信