扩大疫苗惠益风险评估工具包,以评估欧洲联盟的社区和Spikevax疫苗接种。

IF 3.9 3区 医学 Q1 PUBLIC, ENVIRONMENTAL & OCCUPATIONAL HEALTH
Neilshan Loedy, Hector G Dorta, Steven Abrams, Jonas Crèvecoeur, Daniel R Morales, Catherine Cohet, Lander Willem, Geert Molenberghs, Niel Hens, Xavier Kurz, Chantal Quinten, Johan Verbeeck
{"title":"扩大疫苗惠益风险评估工具包,以评估欧洲联盟的社区和Spikevax疫苗接种。","authors":"Neilshan Loedy, Hector G Dorta, Steven Abrams, Jonas Crèvecoeur, Daniel R Morales, Catherine Cohet, Lander Willem, Geert Molenberghs, Niel Hens, Xavier Kurz, Chantal Quinten, Johan Verbeeck","doi":"10.1093/eurpub/ckaf135","DOIUrl":null,"url":null,"abstract":"<p><p>Amid the global COVID-19 pandemic, vaccines were conditionally authorized for human use to protect against severe infection. The Benefit Risk Assessment of VaccinEs (BRAVE) toolkit, a user-friendly R Shiny application, was developed retrospectively together with the European Medicine Agency (EMA) with the aim of fulfilling the need for flexible tools to assess vaccine benefits and risks during and outside a pandemic situation. This study employed BRAVE to evaluate the impact of COVID-19 mRNA vaccines across 30 European Union (EU)/EEA countries by quantifying the number of prevented clinical events [i.e. confirmed infections, hospitalizations, intensive care unit (ICU) admissions, and deaths], using a probabilistic model informed by real-time incidence data and vaccine effectiveness estimates. The analysis assumes fixed population dynamics and behaviour. Additionally, BRAVE assesses risks associated with mRNA-based vaccines (myocarditis or pericarditis) by comparing observed incidence rates in vaccinated individuals with background incidence rates. mRNA vaccines were estimated to directly prevent 11.150 million [95% confidence interval (CI): 10.876-11.345] confirmed COVID-19 infections, 0.739 million (95% CI: 0.727-0.744) COVID-19 hospitalizations, 0.107 million (95% CI: 0.104-0.109) ICU admissions, and 0.187 million (95% CI: 0.182-0.189) COVID-19-related deaths in the EU/EEA between 13 December 2020 and 31 December 2021. Despite increased vaccination-associated myocarditis or pericarditis observed in younger men, the benefits of vaccination still outweigh these risks. Our study supports the benefit/risk profile of COVID-19 vaccines and emphasizes the utility of employing a flexible toolkit to assess risks and benefits of vaccination. This user-friendly and adaptable toolkit can serve as a blueprint for similar tools, enhancing preparedness for future public health crises.</p>","PeriodicalId":12059,"journal":{"name":"European Journal of Public Health","volume":" ","pages":"1007-1013"},"PeriodicalIF":3.9000,"publicationDate":"2025-10-01","publicationTypes":"Journal Article","fieldsOfStudy":null,"isOpenAccess":false,"openAccessPdf":"https://www.ncbi.nlm.nih.gov/pmc/articles/PMC12529280/pdf/","citationCount":"0","resultStr":"{\"title\":\"An extension of the Benefit Risk Assessment of VaccinEs toolkit to evaluate Comirnaty and Spikevax vaccination in the European Union.\",\"authors\":\"Neilshan Loedy, Hector G Dorta, Steven Abrams, Jonas Crèvecoeur, Daniel R Morales, Catherine Cohet, Lander Willem, Geert Molenberghs, Niel Hens, Xavier Kurz, Chantal Quinten, Johan Verbeeck\",\"doi\":\"10.1093/eurpub/ckaf135\",\"DOIUrl\":null,\"url\":null,\"abstract\":\"<p><p>Amid the global COVID-19 pandemic, vaccines were conditionally authorized for human use to protect against severe infection. The Benefit Risk Assessment of VaccinEs (BRAVE) toolkit, a user-friendly R Shiny application, was developed retrospectively together with the European Medicine Agency (EMA) with the aim of fulfilling the need for flexible tools to assess vaccine benefits and risks during and outside a pandemic situation. This study employed BRAVE to evaluate the impact of COVID-19 mRNA vaccines across 30 European Union (EU)/EEA countries by quantifying the number of prevented clinical events [i.e. confirmed infections, hospitalizations, intensive care unit (ICU) admissions, and deaths], using a probabilistic model informed by real-time incidence data and vaccine effectiveness estimates. The analysis assumes fixed population dynamics and behaviour. Additionally, BRAVE assesses risks associated with mRNA-based vaccines (myocarditis or pericarditis) by comparing observed incidence rates in vaccinated individuals with background incidence rates. mRNA vaccines were estimated to directly prevent 11.150 million [95% confidence interval (CI): 10.876-11.345] confirmed COVID-19 infections, 0.739 million (95% CI: 0.727-0.744) COVID-19 hospitalizations, 0.107 million (95% CI: 0.104-0.109) ICU admissions, and 0.187 million (95% CI: 0.182-0.189) COVID-19-related deaths in the EU/EEA between 13 December 2020 and 31 December 2021. Despite increased vaccination-associated myocarditis or pericarditis observed in younger men, the benefits of vaccination still outweigh these risks. Our study supports the benefit/risk profile of COVID-19 vaccines and emphasizes the utility of employing a flexible toolkit to assess risks and benefits of vaccination. This user-friendly and adaptable toolkit can serve as a blueprint for similar tools, enhancing preparedness for future public health crises.</p>\",\"PeriodicalId\":12059,\"journal\":{\"name\":\"European Journal of Public Health\",\"volume\":\" \",\"pages\":\"1007-1013\"},\"PeriodicalIF\":3.9000,\"publicationDate\":\"2025-10-01\",\"publicationTypes\":\"Journal Article\",\"fieldsOfStudy\":null,\"isOpenAccess\":false,\"openAccessPdf\":\"https://www.ncbi.nlm.nih.gov/pmc/articles/PMC12529280/pdf/\",\"citationCount\":\"0\",\"resultStr\":null,\"platform\":\"Semanticscholar\",\"paperid\":null,\"PeriodicalName\":\"European Journal of Public Health\",\"FirstCategoryId\":\"3\",\"ListUrlMain\":\"https://doi.org/10.1093/eurpub/ckaf135\",\"RegionNum\":3,\"RegionCategory\":\"医学\",\"ArticlePicture\":[],\"TitleCN\":null,\"AbstractTextCN\":null,\"PMCID\":null,\"EPubDate\":\"\",\"PubModel\":\"\",\"JCR\":\"Q1\",\"JCRName\":\"PUBLIC, ENVIRONMENTAL & OCCUPATIONAL HEALTH\",\"Score\":null,\"Total\":0}","platform":"Semanticscholar","paperid":null,"PeriodicalName":"European Journal of Public Health","FirstCategoryId":"3","ListUrlMain":"https://doi.org/10.1093/eurpub/ckaf135","RegionNum":3,"RegionCategory":"医学","ArticlePicture":[],"TitleCN":null,"AbstractTextCN":null,"PMCID":null,"EPubDate":"","PubModel":"","JCR":"Q1","JCRName":"PUBLIC, ENVIRONMENTAL & OCCUPATIONAL HEALTH","Score":null,"Total":0}
引用次数: 0

摘要

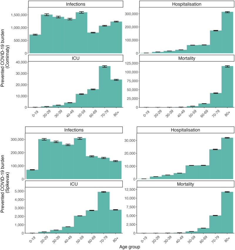
在全球COVID-19大流行期间,疫苗被有条件地批准用于人类,以防止严重感染。疫苗获益风险评估工具包(BRAVE)是一个用户友好的R Shiny应用程序,是与欧洲药品管理局(EMA)一起回顾性开发的,目的是满足对大流行期间和以外评估疫苗获益和风险的灵活工具的需求。本研究使用基于实时发病率数据和疫苗有效性估计的概率模型,通过量化预防临床事件(即确诊感染、住院、重症监护病房(ICU)入院和死亡)的数量,采用BRAVE评估了30个欧盟/欧洲经济区国家COVID-19 mRNA疫苗的影响。该分析假定人口动态和行为是固定的。此外,BRAVE通过比较接种疫苗个体中观察到的发病率与背景发病率,评估与mrna疫苗(心肌炎或心包炎)相关的风险。据估计,mRNA疫苗在2020年12月13日至2021年12月31日期间,在欧盟/欧洲经济区直接预防了111.5万例[95%置信区间(CI): 10.876-11.345]新冠肺炎确诊感染,73.9万例(95% CI: 0.727-0.744)新冠肺炎住院,10.7万例(95% CI: 0.104-0.109)重症监护室住院,18.7万例(95% CI: 0.182-0.189)新冠肺炎相关死亡。尽管在年轻男性中观察到疫苗相关心肌炎或心包炎的增加,但疫苗接种的益处仍然大于这些风险。我们的研究支持COVID-19疫苗的收益/风险概况,并强调使用灵活的工具包来评估疫苗接种的风险和收益的效用。这一用户友好且适应性强的工具包可作为类似工具的蓝图,加强对未来公共卫生危机的防范。
本文章由计算机程序翻译,如有差异,请以英文原文为准。

An extension of the Benefit Risk Assessment of VaccinEs toolkit to evaluate Comirnaty and Spikevax vaccination in the European Union.

An extension of the Benefit Risk Assessment of VaccinEs toolkit to evaluate Comirnaty and Spikevax vaccination in the European Union.

An extension of the Benefit Risk Assessment of VaccinEs toolkit to evaluate Comirnaty and Spikevax vaccination in the European Union.

An extension of the Benefit Risk Assessment of VaccinEs toolkit to evaluate Comirnaty and Spikevax vaccination in the European Union.

Amid the global COVID-19 pandemic, vaccines were conditionally authorized for human use to protect against severe infection. The Benefit Risk Assessment of VaccinEs (BRAVE) toolkit, a user-friendly R Shiny application, was developed retrospectively together with the European Medicine Agency (EMA) with the aim of fulfilling the need for flexible tools to assess vaccine benefits and risks during and outside a pandemic situation. This study employed BRAVE to evaluate the impact of COVID-19 mRNA vaccines across 30 European Union (EU)/EEA countries by quantifying the number of prevented clinical events [i.e. confirmed infections, hospitalizations, intensive care unit (ICU) admissions, and deaths], using a probabilistic model informed by real-time incidence data and vaccine effectiveness estimates. The analysis assumes fixed population dynamics and behaviour. Additionally, BRAVE assesses risks associated with mRNA-based vaccines (myocarditis or pericarditis) by comparing observed incidence rates in vaccinated individuals with background incidence rates. mRNA vaccines were estimated to directly prevent 11.150 million [95% confidence interval (CI): 10.876-11.345] confirmed COVID-19 infections, 0.739 million (95% CI: 0.727-0.744) COVID-19 hospitalizations, 0.107 million (95% CI: 0.104-0.109) ICU admissions, and 0.187 million (95% CI: 0.182-0.189) COVID-19-related deaths in the EU/EEA between 13 December 2020 and 31 December 2021. Despite increased vaccination-associated myocarditis or pericarditis observed in younger men, the benefits of vaccination still outweigh these risks. Our study supports the benefit/risk profile of COVID-19 vaccines and emphasizes the utility of employing a flexible toolkit to assess risks and benefits of vaccination. This user-friendly and adaptable toolkit can serve as a blueprint for similar tools, enhancing preparedness for future public health crises.

求助全文
通过发布文献求助,成功后即可免费获取论文全文。 去求助
来源期刊
European Journal of Public Health
European Journal of Public Health 医学-公共卫生、环境卫生与职业卫生
CiteScore
5.60
自引率
2.30%
发文量
2039
审稿时长
3-8 weeks
期刊介绍: The European Journal of Public Health (EJPH) is a multidisciplinary journal aimed at attracting contributions from epidemiology, health services research, health economics, social sciences, management sciences, ethics and law, environmental health sciences, and other disciplines of relevance to public health. The journal provides a forum for discussion and debate of current international public health issues, with a focus on the European Region. Bi-monthly issues contain peer-reviewed original articles, editorials, commentaries, book reviews, news, letters to the editor, announcements of events, and various other features.
×
引用
GB/T 7714-2015
复制
MLA
复制
APA
复制
导出至
BibTeX EndNote RefMan NoteFirst NoteExpress
×
提示
您的信息不完整,为了账户安全,请先补充。
现在去补充
×
提示
您因"违规操作"
具体请查看互助需知
我知道了
×
提示
确定
请完成安全验证×
copy
已复制链接
快去分享给好友吧!
我知道了
右上角分享
点击右上角分享
0
联系我们:info@booksci.cn Book学术提供免费学术资源搜索服务,方便国内外学者检索中英文文献。致力于提供最便捷和优质的服务体验。 Copyright © 2023 布克学术 All rights reserved.
京ICP备2023020795号-1
ghs 京公网安备 11010802042870号
Book学术文献互助
Book学术文献互助群
群 号:604180095
Book学术官方微信