anrikefon在接受血液透析的瘙痒患者中的疗效和安全性:多中心,双盲,随机安慰剂对照3期试验

IF 42.7 1区 医学 Q1 Medicine
Bi-Cheng Liu, Zuo-Lin Li, Ping Zhang, Ai-Min Zhong, Ya-Ling Bai, Yan Xu, Bi-Hu Gao, Yan-Lin Li, Yu Wang, Ling-Hui Zhou, Li Yao, Jun-Xia Wang, Rui Yan, Liang Wang, Bing Liao, De-Qiong Xie, Xiang-Ming Yi, Tian-Jun Guan, Cai-Li Wang, Gui-Sen Li, Fang-Qiong Li, Jiang-Hua Chen
{"title":"anrikefon在接受血液透析的瘙痒患者中的疗效和安全性:多中心,双盲,随机安慰剂对照3期试验","authors":"Bi-Cheng Liu, Zuo-Lin Li, Ping Zhang, Ai-Min Zhong, Ya-Ling Bai, Yan Xu, Bi-Hu Gao, Yan-Lin Li, Yu Wang, Ling-Hui Zhou, Li Yao, Jun-Xia Wang, Rui Yan, Liang Wang, Bing Liao, De-Qiong Xie, Xiang-Ming Yi, Tian-Jun Guan, Cai-Li Wang, Gui-Sen Li, Fang-Qiong Li, Jiang-Hua Chen","doi":"10.1136/bmj-2025-085208","DOIUrl":null,"url":null,"abstract":"<p><strong>Objective: </strong>To evaluate the efficacy and safety of anrikefon (formerly known as HSK21542), a novel selective peripherally restricted kappa opioid receptor agonist, in patients with chronic kidney disease associated pruritus.</p><p><strong>Design: </strong>Multicentre, double blind, randomised placebo controlled phase 3 trial.</p><p><strong>Setting: </strong>50 centres in China, June 2022 to June 2024.</p><p><strong>Participants: </strong>652 patients with moderate to severe CKD associated pruritus undergoing haemodialysis were screened: 545 were randomly assigned (1:1 ratio) to receive either anrikefon (n=275) or placebo (n=270).</p><p><strong>Interventions: </strong>Intravenous anrikefon (0.3 μg/kg body weight) or placebo three times weekly for 12 weeks, followed by an optional open label extension phase with anrikefon treatment for 40 weeks.</p><p><strong>Main outcome measures: </strong>The primary endpoint was the percentage of patients achieving at least a 4 point reduction in weekly mean 24 hour worst itching intensity numerical rating scale (WI-NRS) score from baseline to week 12. Secondary outcomes were the percentage of patients achieving at least a 3 point reduction in weekly mean WI-NRS score from baseline to week 12, as well as changes in itch related quality of life from baseline using the Skindex-10 and 5-D itch scales. The change in itch related quality of life from baseline to week 40 of open label treatment was also reported using the 5-D itch scale. The safety of anrikefon was evaluated throughout the trial.</p><p><strong>Results: </strong>243/275 (88%) patients in the anrikefon group and 254/270 (94%) in the placebo group completed the 12 week double blind treatment. 443 subsequently entered the 40 week open label extension phase. 37% of patients in the anrikefon group showed at least a 4 point reduction in WI-NRS score at week 12 compared with 15% in the placebo group (P<0.001). The percentage of patients with at least a 3 point reduction in WI-NRS score from baseline to week 12 was 51% in the anrikefon group compared with 24% in the placebo group (P<0.001). The anrikefon group showed significant improvements in itch related quality of life (mean change from baseline in 5-D itch scale -5.3 <i>v</i> -3.1, P<0.001 and in Skindex-10 scale -15.2 <i>v</i> -9.3, P<0.001). Anrikefon also showed sustained long term efficacy during the open label extension phase at week 40, with persistent improvement in quality of life scores on the 5-D itch scale. Mild to moderate dizziness was more common in the anrikefon group than placebo group but without evident clinical consequences.</p><p><strong>Conclusions: </strong>In patients with moderate to severe pruritus undergoing haemodialysis, anrikefon was found to be safe and resulted in a noticeable reduction in itch intensity and an improvement in itch related quality of life.</p><p><strong>Trial registration: </strong>ClinicalTrials.gov NCT05135390.</p>","PeriodicalId":9201,"journal":{"name":"BMJ : British Medical Journal","volume":"390 ","pages":"e085208"},"PeriodicalIF":42.7000,"publicationDate":"2025-08-19","publicationTypes":"Journal Article","fieldsOfStudy":null,"isOpenAccess":false,"openAccessPdf":"https://www.ncbi.nlm.nih.gov/pmc/articles/PMC12362199/pdf/","citationCount":"0","resultStr":"{\"title\":\"Efficacy and safety of anrikefon in patients with pruritus undergoing haemodialysis: multicentre, double blind, randomised placebo controlled phase 3 trial.\",\"authors\":\"Bi-Cheng Liu, Zuo-Lin Li, Ping Zhang, Ai-Min Zhong, Ya-Ling Bai, Yan Xu, Bi-Hu Gao, Yan-Lin Li, Yu Wang, Ling-Hui Zhou, Li Yao, Jun-Xia Wang, Rui Yan, Liang Wang, Bing Liao, De-Qiong Xie, Xiang-Ming Yi, Tian-Jun Guan, Cai-Li Wang, Gui-Sen Li, Fang-Qiong Li, Jiang-Hua Chen\",\"doi\":\"10.1136/bmj-2025-085208\",\"DOIUrl\":null,\"url\":null,\"abstract\":\"<p><strong>Objective: </strong>To evaluate the efficacy and safety of anrikefon (formerly known as HSK21542), a novel selective peripherally restricted kappa opioid receptor agonist, in patients with chronic kidney disease associated pruritus.</p><p><strong>Design: </strong>Multicentre, double blind, randomised placebo controlled phase 3 trial.</p><p><strong>Setting: </strong>50 centres in China, June 2022 to June 2024.</p><p><strong>Participants: </strong>652 patients with moderate to severe CKD associated pruritus undergoing haemodialysis were screened: 545 were randomly assigned (1:1 ratio) to receive either anrikefon (n=275) or placebo (n=270).</p><p><strong>Interventions: </strong>Intravenous anrikefon (0.3 μg/kg body weight) or placebo three times weekly for 12 weeks, followed by an optional open label extension phase with anrikefon treatment for 40 weeks.</p><p><strong>Main outcome measures: </strong>The primary endpoint was the percentage of patients achieving at least a 4 point reduction in weekly mean 24 hour worst itching intensity numerical rating scale (WI-NRS) score from baseline to week 12. Secondary outcomes were the percentage of patients achieving at least a 3 point reduction in weekly mean WI-NRS score from baseline to week 12, as well as changes in itch related quality of life from baseline using the Skindex-10 and 5-D itch scales. The change in itch related quality of life from baseline to week 40 of open label treatment was also reported using the 5-D itch scale. The safety of anrikefon was evaluated throughout the trial.</p><p><strong>Results: </strong>243/275 (88%) patients in the anrikefon group and 254/270 (94%) in the placebo group completed the 12 week double blind treatment. 443 subsequently entered the 40 week open label extension phase. 37% of patients in the anrikefon group showed at least a 4 point reduction in WI-NRS score at week 12 compared with 15% in the placebo group (P<0.001). The percentage of patients with at least a 3 point reduction in WI-NRS score from baseline to week 12 was 51% in the anrikefon group compared with 24% in the placebo group (P<0.001). The anrikefon group showed significant improvements in itch related quality of life (mean change from baseline in 5-D itch scale -5.3 <i>v</i> -3.1, P<0.001 and in Skindex-10 scale -15.2 <i>v</i> -9.3, P<0.001). Anrikefon also showed sustained long term efficacy during the open label extension phase at week 40, with persistent improvement in quality of life scores on the 5-D itch scale. Mild to moderate dizziness was more common in the anrikefon group than placebo group but without evident clinical consequences.</p><p><strong>Conclusions: </strong>In patients with moderate to severe pruritus undergoing haemodialysis, anrikefon was found to be safe and resulted in a noticeable reduction in itch intensity and an improvement in itch related quality of life.</p><p><strong>Trial registration: </strong>ClinicalTrials.gov NCT05135390.</p>\",\"PeriodicalId\":9201,\"journal\":{\"name\":\"BMJ : British Medical Journal\",\"volume\":\"390 \",\"pages\":\"e085208\"},\"PeriodicalIF\":42.7000,\"publicationDate\":\"2025-08-19\",\"publicationTypes\":\"Journal Article\",\"fieldsOfStudy\":null,\"isOpenAccess\":false,\"openAccessPdf\":\"https://www.ncbi.nlm.nih.gov/pmc/articles/PMC12362199/pdf/\",\"citationCount\":\"0\",\"resultStr\":null,\"platform\":\"Semanticscholar\",\"paperid\":null,\"PeriodicalName\":\"BMJ : British Medical Journal\",\"FirstCategoryId\":\"3\",\"ListUrlMain\":\"https://doi.org/10.1136/bmj-2025-085208\",\"RegionNum\":1,\"RegionCategory\":\"医学\",\"ArticlePicture\":[],\"TitleCN\":null,\"AbstractTextCN\":null,\"PMCID\":null,\"EPubDate\":\"\",\"PubModel\":\"\",\"JCR\":\"Q1\",\"JCRName\":\"Medicine\",\"Score\":null,\"Total\":0}","platform":"Semanticscholar","paperid":null,"PeriodicalName":"BMJ : British Medical Journal","FirstCategoryId":"3","ListUrlMain":"https://doi.org/10.1136/bmj-2025-085208","RegionNum":1,"RegionCategory":"医学","ArticlePicture":[],"TitleCN":null,"AbstractTextCN":null,"PMCID":null,"EPubDate":"","PubModel":"","JCR":"Q1","JCRName":"Medicine","Score":null,"Total":0}
引用次数: 0

摘要

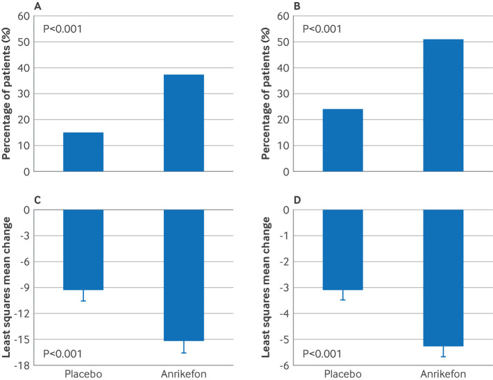
目的:评价新型选择性外周限制性kappa阿片受体激动剂anrikefon(原名HSK21542)治疗慢性肾病相关性瘙痒的疗效和安全性。设计:多中心,双盲,随机安慰剂对照3期试验。设置:2022年6月至2024年6月,在中国设立50个中心。参与者:筛选了652例接受血液透析的中重度CKD相关瘙痒患者:545例被随机分配(1:1比例)接受anrikefon (n=275)或安慰剂(n=270)。干预措施:静脉注射anrikeon (0.3 μg/kg体重)或安慰剂,每周3次,持续12周,随后是anrikeon治疗的开放标签延长期,为期40周。主要结局指标:主要终点是从基线到第12周,每周平均24小时最严重瘙痒强度数值评定量表(WI-NRS)评分至少降低4分的患者百分比。次要结果是从基线到第12周,每周平均WI-NRS评分至少降低3分的患者百分比,以及使用skinindex -10和5-D瘙痒量表从基线到瘙痒相关生活质量的变化。从基线到开放标签治疗的第40周,瘙痒相关生活质量的变化也使用5-D瘙痒量表进行报告。在整个试验过程中对anrikefon的安全性进行了评估。结果:anrikefon组和安慰剂组分别有243/275例(88%)和254/270例(94%)患者完成了12周的双盲治疗。443随后进入40周的开标延长阶段。与安慰剂组的15%相比,anrikefon组中37%的患者在第12周的WI-NRS评分至少降低了4分(Pv -3.1, Pv -9.3, p)。结论:在接受血液透析的中度至重度瘙痒患者中,anrikefon被发现是安全的,并导致瘙痒强度的显著降低和瘙痒相关生活质量的改善。试验注册:ClinicalTrials.gov NCT05135390。
本文章由计算机程序翻译,如有差异,请以英文原文为准。

Efficacy and safety of anrikefon in patients with pruritus undergoing haemodialysis: multicentre, double blind, randomised placebo controlled phase 3 trial.

Efficacy and safety of anrikefon in patients with pruritus undergoing haemodialysis: multicentre, double blind, randomised placebo controlled phase 3 trial.

Efficacy and safety of anrikefon in patients with pruritus undergoing haemodialysis: multicentre, double blind, randomised placebo controlled phase 3 trial.

Efficacy and safety of anrikefon in patients with pruritus undergoing haemodialysis: multicentre, double blind, randomised placebo controlled phase 3 trial.

Objective: To evaluate the efficacy and safety of anrikefon (formerly known as HSK21542), a novel selective peripherally restricted kappa opioid receptor agonist, in patients with chronic kidney disease associated pruritus.

Design: Multicentre, double blind, randomised placebo controlled phase 3 trial.

Setting: 50 centres in China, June 2022 to June 2024.

Participants: 652 patients with moderate to severe CKD associated pruritus undergoing haemodialysis were screened: 545 were randomly assigned (1:1 ratio) to receive either anrikefon (n=275) or placebo (n=270).

Interventions: Intravenous anrikefon (0.3 μg/kg body weight) or placebo three times weekly for 12 weeks, followed by an optional open label extension phase with anrikefon treatment for 40 weeks.

Main outcome measures: The primary endpoint was the percentage of patients achieving at least a 4 point reduction in weekly mean 24 hour worst itching intensity numerical rating scale (WI-NRS) score from baseline to week 12. Secondary outcomes were the percentage of patients achieving at least a 3 point reduction in weekly mean WI-NRS score from baseline to week 12, as well as changes in itch related quality of life from baseline using the Skindex-10 and 5-D itch scales. The change in itch related quality of life from baseline to week 40 of open label treatment was also reported using the 5-D itch scale. The safety of anrikefon was evaluated throughout the trial.

Results: 243/275 (88%) patients in the anrikefon group and 254/270 (94%) in the placebo group completed the 12 week double blind treatment. 443 subsequently entered the 40 week open label extension phase. 37% of patients in the anrikefon group showed at least a 4 point reduction in WI-NRS score at week 12 compared with 15% in the placebo group (P<0.001). The percentage of patients with at least a 3 point reduction in WI-NRS score from baseline to week 12 was 51% in the anrikefon group compared with 24% in the placebo group (P<0.001). The anrikefon group showed significant improvements in itch related quality of life (mean change from baseline in 5-D itch scale -5.3 v -3.1, P<0.001 and in Skindex-10 scale -15.2 v -9.3, P<0.001). Anrikefon also showed sustained long term efficacy during the open label extension phase at week 40, with persistent improvement in quality of life scores on the 5-D itch scale. Mild to moderate dizziness was more common in the anrikefon group than placebo group but without evident clinical consequences.

Conclusions: In patients with moderate to severe pruritus undergoing haemodialysis, anrikefon was found to be safe and resulted in a noticeable reduction in itch intensity and an improvement in itch related quality of life.

Trial registration: ClinicalTrials.gov NCT05135390.

求助全文
通过发布文献求助,成功后即可免费获取论文全文。 去求助
来源期刊
BMJ : British Medical Journal
BMJ : British Medical Journal Medicine-General Medicine
CiteScore
19.90
自引率
1.80%
发文量
2997
审稿时长
2-4 weeks
期刊介绍: The BMJ (British Medical Journal) is an international peer-reviewed medical journal with a "continuous publication" model, where articles are published on bmj.com before appearing in the print journal. The website is updated daily with the latest original research, education, news, and comment articles, along with podcasts, videos, and blogs. The BMJ's editorial team is primarily located in London, with additional editors in Europe, the US, and India.
×
引用
GB/T 7714-2015
复制
MLA
复制
APA
复制
导出至
BibTeX EndNote RefMan NoteFirst NoteExpress
×
提示
您的信息不完整,为了账户安全,请先补充。
现在去补充
×
提示
您因"违规操作"
具体请查看互助需知
我知道了
×
提示
确定
请完成安全验证×
copy
已复制链接
快去分享给好友吧!
我知道了
右上角分享
点击右上角分享
0
联系我们:info@booksci.cn Book学术提供免费学术资源搜索服务,方便国内外学者检索中英文文献。致力于提供最便捷和优质的服务体验。 Copyright © 2023 布克学术 All rights reserved.
京ICP备2023020795号-1
ghs 京公网安备 11010802042870号
Book学术文献互助
Book学术文献互助群
群 号:604180095
Book学术官方微信