非洲南部结核病患者的精神、身体和呼吸系统健康:多国队列分析

IF 8.3 1区 医学 Q1 MEDICINE, GENERAL & INTERNAL
Nicolas Banholzer, Guy Muula, Fiona Mureithi, Denise Evans, Jacqueline Huwa, Idiovino Rafael, Cordelia Kunzekwenyika, Nelly Jinga, Amina Fernando, Agness Thawani, Remo Schmutz, Carolyn Bolton, Gunar Günther, Matthias Egger, Andreas D Haas, Annika C Sweetland, Marie Ballif, Lukas Fenner
{"title":"非洲南部结核病患者的精神、身体和呼吸系统健康:多国队列分析","authors":"Nicolas Banholzer, Guy Muula, Fiona Mureithi, Denise Evans, Jacqueline Huwa, Idiovino Rafael, Cordelia Kunzekwenyika, Nelly Jinga, Amina Fernando, Agness Thawani, Remo Schmutz, Carolyn Bolton, Gunar Günther, Matthias Egger, Andreas D Haas, Annika C Sweetland, Marie Ballif, Lukas Fenner","doi":"10.1186/s12916-025-04321-6","DOIUrl":null,"url":null,"abstract":"<p><strong>Background: </strong>Tuberculosis (TB) affects people's quality of life (QoL). We prospectively monitored physical and mental health-related QoL over time in people with TB in the Southern African region with a high HIV and TB burden.</p><p><strong>Methods: </strong>Adults aged ≥ 15 years with pulmonary TB were enrolled in five cohorts in Malawi, Mozambique, South Africa, Zambia, and Zimbabwe from October 2022 to September 2024. We assessed six QoL outcomes using validated instruments at the start (baseline), end of treatment, and 6 months post-treatment: symptoms of depression (PHQ-9), mental and physical health (SF-12 mental, SF12-MC, SF-12 physical component, SF12-PC), physical fitness (6-Minute Walk Test, 6MWT; 1-min Sit-To-Stand Test, STST), and respiratory health (Saint-George-Respiratory-Questionnaire, SGRQ). Missing QoL scores were imputed with multivariate imputation by chained equations. We compared the proportion of participants with impaired QoL, defining impairment based on outcome-specific cut-off values. We also estimated changes in QoL scores and examined their associations with baseline characteristics using Bayesian multivariable regression models.</p><p><strong>Results: </strong>We included 1438 participants with a median follow-up of 344 days (interquartile range [IQR] 183-373). The median age was 39 years (IQR 30-50); 67% were male, and 39% living with HIV. At baseline, 49% had symptoms of depression, 73% had impaired mental health and 92% impaired physical health-related QoL, 68-74% had reduced physical fitness (68%: 6MWT, 74%: STST), and 78% impaired respiratory health. All QoL outcomes improved by the end of treatment, notably depressive symptoms (48% to 5%), mental health-related QoL (73% to 28%), and respiratory health (78% to 11%). Most QoL impairments continued to decrease post-treatment, especially physical and respiratory health; depressive symptoms remained below 5%. Across QoL domains and study visits, better outcomes were associated with age < 30 (83% probability), and worse outcomes with female gender (86%) and a prior TB history (89%). Living with HIV and alcohol drinking were associated with worse QoL only at baseline (88% and 87%).</p><p><strong>Conclusions: </strong>TB negatively impacts QoL across physical, mental, and social domains, including post-treatment. The study highlights the need for integrated mental and physical healthcare and rehabilitation during TB treatment and beyond, especially for high-risk populations, to address the long-term impact of TB on QoL.</p>","PeriodicalId":9188,"journal":{"name":"BMC Medicine","volume":"23 1","pages":"485"},"PeriodicalIF":8.3000,"publicationDate":"2025-08-20","publicationTypes":"Journal Article","fieldsOfStudy":null,"isOpenAccess":false,"openAccessPdf":"https://www.ncbi.nlm.nih.gov/pmc/articles/PMC12366195/pdf/","citationCount":"0","resultStr":"{\"title\":\"Mental, physical, and respiratory health in people with tuberculosis in Southern Africa: a multi-country cohort analysis.\",\"authors\":\"Nicolas Banholzer, Guy Muula, Fiona Mureithi, Denise Evans, Jacqueline Huwa, Idiovino Rafael, Cordelia Kunzekwenyika, Nelly Jinga, Amina Fernando, Agness Thawani, Remo Schmutz, Carolyn Bolton, Gunar Günther, Matthias Egger, Andreas D Haas, Annika C Sweetland, Marie Ballif, Lukas Fenner\",\"doi\":\"10.1186/s12916-025-04321-6\",\"DOIUrl\":null,\"url\":null,\"abstract\":\"<p><strong>Background: </strong>Tuberculosis (TB) affects people's quality of life (QoL). We prospectively monitored physical and mental health-related QoL over time in people with TB in the Southern African region with a high HIV and TB burden.</p><p><strong>Methods: </strong>Adults aged ≥ 15 years with pulmonary TB were enrolled in five cohorts in Malawi, Mozambique, South Africa, Zambia, and Zimbabwe from October 2022 to September 2024. We assessed six QoL outcomes using validated instruments at the start (baseline), end of treatment, and 6 months post-treatment: symptoms of depression (PHQ-9), mental and physical health (SF-12 mental, SF12-MC, SF-12 physical component, SF12-PC), physical fitness (6-Minute Walk Test, 6MWT; 1-min Sit-To-Stand Test, STST), and respiratory health (Saint-George-Respiratory-Questionnaire, SGRQ). Missing QoL scores were imputed with multivariate imputation by chained equations. We compared the proportion of participants with impaired QoL, defining impairment based on outcome-specific cut-off values. We also estimated changes in QoL scores and examined their associations with baseline characteristics using Bayesian multivariable regression models.</p><p><strong>Results: </strong>We included 1438 participants with a median follow-up of 344 days (interquartile range [IQR] 183-373). The median age was 39 years (IQR 30-50); 67% were male, and 39% living with HIV. At baseline, 49% had symptoms of depression, 73% had impaired mental health and 92% impaired physical health-related QoL, 68-74% had reduced physical fitness (68%: 6MWT, 74%: STST), and 78% impaired respiratory health. All QoL outcomes improved by the end of treatment, notably depressive symptoms (48% to 5%), mental health-related QoL (73% to 28%), and respiratory health (78% to 11%). Most QoL impairments continued to decrease post-treatment, especially physical and respiratory health; depressive symptoms remained below 5%. Across QoL domains and study visits, better outcomes were associated with age < 30 (83% probability), and worse outcomes with female gender (86%) and a prior TB history (89%). Living with HIV and alcohol drinking were associated with worse QoL only at baseline (88% and 87%).</p><p><strong>Conclusions: </strong>TB negatively impacts QoL across physical, mental, and social domains, including post-treatment. The study highlights the need for integrated mental and physical healthcare and rehabilitation during TB treatment and beyond, especially for high-risk populations, to address the long-term impact of TB on QoL.</p>\",\"PeriodicalId\":9188,\"journal\":{\"name\":\"BMC Medicine\",\"volume\":\"23 1\",\"pages\":\"485\"},\"PeriodicalIF\":8.3000,\"publicationDate\":\"2025-08-20\",\"publicationTypes\":\"Journal Article\",\"fieldsOfStudy\":null,\"isOpenAccess\":false,\"openAccessPdf\":\"https://www.ncbi.nlm.nih.gov/pmc/articles/PMC12366195/pdf/\",\"citationCount\":\"0\",\"resultStr\":null,\"platform\":\"Semanticscholar\",\"paperid\":null,\"PeriodicalName\":\"BMC Medicine\",\"FirstCategoryId\":\"3\",\"ListUrlMain\":\"https://doi.org/10.1186/s12916-025-04321-6\",\"RegionNum\":1,\"RegionCategory\":\"医学\",\"ArticlePicture\":[],\"TitleCN\":null,\"AbstractTextCN\":null,\"PMCID\":null,\"EPubDate\":\"\",\"PubModel\":\"\",\"JCR\":\"Q1\",\"JCRName\":\"MEDICINE, GENERAL & INTERNAL\",\"Score\":null,\"Total\":0}","platform":"Semanticscholar","paperid":null,"PeriodicalName":"BMC Medicine","FirstCategoryId":"3","ListUrlMain":"https://doi.org/10.1186/s12916-025-04321-6","RegionNum":1,"RegionCategory":"医学","ArticlePicture":[],"TitleCN":null,"AbstractTextCN":null,"PMCID":null,"EPubDate":"","PubModel":"","JCR":"Q1","JCRName":"MEDICINE, GENERAL & INTERNAL","Score":null,"Total":0}
引用次数: 0

摘要

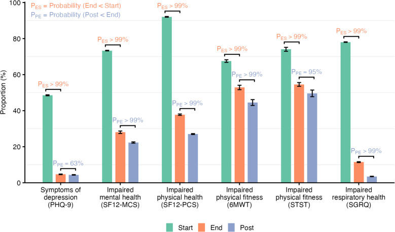
背景:结核病(TB)影响人们的生活质量(QoL)。我们对艾滋病毒和结核病负担高的南部非洲地区结核病患者的身体和精神健康相关生活质量进行了长期的前瞻性监测。方法:从2022年10月至2024年9月,在马拉维、莫桑比克、南非、赞比亚和津巴布韦的5个队列中招募年龄≥15岁的肺结核成年人。我们在治疗开始(基线)、治疗结束和治疗后6个月使用经过验证的仪器评估了6项生活质量指标:抑郁症状(PHQ-9)、精神和身体健康(SF-12精神、SF12-MC、SF-12身体成分、SF12-PC)、身体健康(6分钟步行测试,6MWT; 1分钟坐立测试,STST)和呼吸健康(圣乔治呼吸问卷,SGRQ)。缺失的生活质量评分通过链式方程进行多元归因。我们比较了生活质量受损的参与者的比例,根据结果特定的临界值来定义损害。我们还估计了生活质量评分的变化,并使用贝叶斯多变量回归模型检查了它们与基线特征的关联。结果:我们纳入1438名参与者,中位随访344天(四分位数间距[IQR] 183-373)。中位年龄39岁(IQR 30-50岁);67%为男性,39%为艾滋病毒携带者。在基线时,49%的人有抑郁症状,73%的人精神健康受损,92%的人身体健康相关生活质量受损,68-74%的人身体健康下降(68%:6MWT, 74%: STST), 78%的人呼吸健康受损。到治疗结束时,所有的生活质量结果都有所改善,特别是抑郁症状(48%至5%)、精神健康相关生活质量(73%至28%)和呼吸健康(78%至11%)。大多数生活质量受损在治疗后继续下降,尤其是身体和呼吸健康;抑郁症状仍低于5%。在生活质量领域和研究访问中,更好的结果与年龄相关。结论:结核病对身体、心理和社会领域的生活质量产生负面影响,包括治疗后。该研究强调需要在结核病治疗期间及之后,特别是对高危人群进行综合身心保健和康复,以解决结核病对生活质量的长期影响。
本文章由计算机程序翻译,如有差异,请以英文原文为准。

Mental, physical, and respiratory health in people with tuberculosis in Southern Africa: a multi-country cohort analysis.

Mental, physical, and respiratory health in people with tuberculosis in Southern Africa: a multi-country cohort analysis.

Mental, physical, and respiratory health in people with tuberculosis in Southern Africa: a multi-country cohort analysis.

Mental, physical, and respiratory health in people with tuberculosis in Southern Africa: a multi-country cohort analysis.

Background: Tuberculosis (TB) affects people's quality of life (QoL). We prospectively monitored physical and mental health-related QoL over time in people with TB in the Southern African region with a high HIV and TB burden.

Methods: Adults aged ≥ 15 years with pulmonary TB were enrolled in five cohorts in Malawi, Mozambique, South Africa, Zambia, and Zimbabwe from October 2022 to September 2024. We assessed six QoL outcomes using validated instruments at the start (baseline), end of treatment, and 6 months post-treatment: symptoms of depression (PHQ-9), mental and physical health (SF-12 mental, SF12-MC, SF-12 physical component, SF12-PC), physical fitness (6-Minute Walk Test, 6MWT; 1-min Sit-To-Stand Test, STST), and respiratory health (Saint-George-Respiratory-Questionnaire, SGRQ). Missing QoL scores were imputed with multivariate imputation by chained equations. We compared the proportion of participants with impaired QoL, defining impairment based on outcome-specific cut-off values. We also estimated changes in QoL scores and examined their associations with baseline characteristics using Bayesian multivariable regression models.

Results: We included 1438 participants with a median follow-up of 344 days (interquartile range [IQR] 183-373). The median age was 39 years (IQR 30-50); 67% were male, and 39% living with HIV. At baseline, 49% had symptoms of depression, 73% had impaired mental health and 92% impaired physical health-related QoL, 68-74% had reduced physical fitness (68%: 6MWT, 74%: STST), and 78% impaired respiratory health. All QoL outcomes improved by the end of treatment, notably depressive symptoms (48% to 5%), mental health-related QoL (73% to 28%), and respiratory health (78% to 11%). Most QoL impairments continued to decrease post-treatment, especially physical and respiratory health; depressive symptoms remained below 5%. Across QoL domains and study visits, better outcomes were associated with age < 30 (83% probability), and worse outcomes with female gender (86%) and a prior TB history (89%). Living with HIV and alcohol drinking were associated with worse QoL only at baseline (88% and 87%).

Conclusions: TB negatively impacts QoL across physical, mental, and social domains, including post-treatment. The study highlights the need for integrated mental and physical healthcare and rehabilitation during TB treatment and beyond, especially for high-risk populations, to address the long-term impact of TB on QoL.

求助全文
通过发布文献求助,成功后即可免费获取论文全文。 去求助
来源期刊
BMC Medicine
BMC Medicine 医学-医学:内科
CiteScore
13.10
自引率
1.10%
发文量
435
审稿时长
4-8 weeks
期刊介绍: BMC Medicine is an open access, transparent peer-reviewed general medical journal. It is the flagship journal of the BMC series and publishes outstanding and influential research in various areas including clinical practice, translational medicine, medical and health advances, public health, global health, policy, and general topics of interest to the biomedical and sociomedical professional communities. In addition to research articles, the journal also publishes stimulating debates, reviews, unique forum articles, and concise tutorials. All articles published in BMC Medicine are included in various databases such as Biological Abstracts, BIOSIS, CAS, Citebase, Current contents, DOAJ, Embase, MEDLINE, PubMed, Science Citation Index Expanded, OAIster, SCImago, Scopus, SOCOLAR, and Zetoc.
×
引用
GB/T 7714-2015
复制
MLA
复制
APA
复制
导出至
BibTeX EndNote RefMan NoteFirst NoteExpress
×
提示
您的信息不完整,为了账户安全,请先补充。
现在去补充
×
提示
您因"违规操作"
具体请查看互助需知
我知道了
×
提示
确定
请完成安全验证×
copy
已复制链接
快去分享给好友吧!
我知道了
右上角分享
点击右上角分享
0
联系我们:info@booksci.cn Book学术提供免费学术资源搜索服务,方便国内外学者检索中英文文献。致力于提供最便捷和优质的服务体验。 Copyright © 2023 布克学术 All rights reserved.
京ICP备2023020795号-1
ghs 京公网安备 11010802042870号
Book学术文献互助
Book学术文献互助群
群 号:604180095
Book学术官方微信