设计对通信损失具有鲁棒性的独立于转换的多智能体系统策略

IF 2.6 3区 计算机科学 Q3 AUTOMATION & CONTROL SYSTEMS
Mustafa O. Karabag, Cyrus Neary, Ufuk Topcu
{"title":"设计对通信损失具有鲁棒性的独立于转换的多智能体系统策略","authors":"Mustafa O. Karabag,&nbsp;Cyrus Neary,&nbsp;Ufuk Topcu","doi":"10.1007/s10458-025-09721-9","DOIUrl":null,"url":null,"abstract":"<div><p>In a cooperative multiagent system, a collection of agents executes a joint policy in order to achieve some common objective. The successful deployment of such systems hinges on the availability of reliable inter-agent communication. However, many sources of potential disruption to communication exist in practice, such as radio interference, hardware failure, and adversarial attacks. In this work, we develop joint policies for cooperative multiagent systems that are robust to potential losses in communication. More specifically, we develop joint policies for cooperative Markov games with independent transitions and joint reach-avoid objectives. First, we propose an algorithm for the decentralized execution of joint policies during periods of communication loss. This algorithm is designed to work under arbitrary communication partitions between the agents. Next, we use the total correlation of the state-action process induced by a joint policy as a measure of the intrinsic dependencies between the agents. We then use this measure to lower-bound the performance of a joint policy under randomly intermittent or adversarial communication loss scenarios. We show the existence of a multiagent decision-making environment in which this bound is tight—the highest performance under intermittent communication loss, for any policy execution mechanism, is of the same order as the bound. We then present an algorithm that maximizes a proxy to this lower bound in order to synthesize minimum-dependency joint policies that remain performant under communication loss. Through two-agent and three-agent numerical experiments, we show that the proposed minimum-dependency policies require minimal coordination between the agents while incurring little to no loss in performance; the total correlation value of the synthesized policy is significantly lower than the total correlation value of the baseline policy which does not take potential communication losses into account. As a result, the performance of the minimum-dependency policies remains consistently high regardless of whether or not communication is available. By contrast, the performance of the baseline policy decreases drastically when communication is lost.</p></div>","PeriodicalId":55586,"journal":{"name":"Autonomous Agents and Multi-Agent Systems","volume":"39 2","pages":""},"PeriodicalIF":2.6000,"publicationDate":"2025-08-21","publicationTypes":"Journal Article","fieldsOfStudy":null,"isOpenAccess":false,"openAccessPdf":"","citationCount":"0","resultStr":"{\"title\":\"Designing policies for transition-independent multiagent systems that are robust to communication loss\",\"authors\":\"Mustafa O. Karabag,&nbsp;Cyrus Neary,&nbsp;Ufuk Topcu\",\"doi\":\"10.1007/s10458-025-09721-9\",\"DOIUrl\":null,\"url\":null,\"abstract\":\"<div><p>In a cooperative multiagent system, a collection of agents executes a joint policy in order to achieve some common objective. The successful deployment of such systems hinges on the availability of reliable inter-agent communication. However, many sources of potential disruption to communication exist in practice, such as radio interference, hardware failure, and adversarial attacks. In this work, we develop joint policies for cooperative multiagent systems that are robust to potential losses in communication. More specifically, we develop joint policies for cooperative Markov games with independent transitions and joint reach-avoid objectives. First, we propose an algorithm for the decentralized execution of joint policies during periods of communication loss. This algorithm is designed to work under arbitrary communication partitions between the agents. Next, we use the total correlation of the state-action process induced by a joint policy as a measure of the intrinsic dependencies between the agents. We then use this measure to lower-bound the performance of a joint policy under randomly intermittent or adversarial communication loss scenarios. We show the existence of a multiagent decision-making environment in which this bound is tight—the highest performance under intermittent communication loss, for any policy execution mechanism, is of the same order as the bound. We then present an algorithm that maximizes a proxy to this lower bound in order to synthesize minimum-dependency joint policies that remain performant under communication loss. Through two-agent and three-agent numerical experiments, we show that the proposed minimum-dependency policies require minimal coordination between the agents while incurring little to no loss in performance; the total correlation value of the synthesized policy is significantly lower than the total correlation value of the baseline policy which does not take potential communication losses into account. As a result, the performance of the minimum-dependency policies remains consistently high regardless of whether or not communication is available. By contrast, the performance of the baseline policy decreases drastically when communication is lost.</p></div>\",\"PeriodicalId\":55586,\"journal\":{\"name\":\"Autonomous Agents and Multi-Agent Systems\",\"volume\":\"39 2\",\"pages\":\"\"},\"PeriodicalIF\":2.6000,\"publicationDate\":\"2025-08-21\",\"publicationTypes\":\"Journal Article\",\"fieldsOfStudy\":null,\"isOpenAccess\":false,\"openAccessPdf\":\"\",\"citationCount\":\"0\",\"resultStr\":null,\"platform\":\"Semanticscholar\",\"paperid\":null,\"PeriodicalName\":\"Autonomous Agents and Multi-Agent Systems\",\"FirstCategoryId\":\"94\",\"ListUrlMain\":\"https://link.springer.com/article/10.1007/s10458-025-09721-9\",\"RegionNum\":3,\"RegionCategory\":\"计算机科学\",\"ArticlePicture\":[],\"TitleCN\":null,\"AbstractTextCN\":null,\"PMCID\":null,\"EPubDate\":\"\",\"PubModel\":\"\",\"JCR\":\"Q3\",\"JCRName\":\"AUTOMATION & CONTROL SYSTEMS\",\"Score\":null,\"Total\":0}","platform":"Semanticscholar","paperid":null,"PeriodicalName":"Autonomous Agents and Multi-Agent Systems","FirstCategoryId":"94","ListUrlMain":"https://link.springer.com/article/10.1007/s10458-025-09721-9","RegionNum":3,"RegionCategory":"计算机科学","ArticlePicture":[],"TitleCN":null,"AbstractTextCN":null,"PMCID":null,"EPubDate":"","PubModel":"","JCR":"Q3","JCRName":"AUTOMATION & CONTROL SYSTEMS","Score":null,"Total":0}
引用次数: 0

摘要

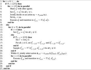
在协作式多智能体系统中,一组智能体为了达到某种共同目标而执行一个联合策略。这种系统的成功部署取决于能否获得可靠的代理间通信。然而,在实践中存在许多潜在的通信中断来源,例如无线电干扰、硬件故障和对抗性攻击。在这项工作中,我们为协作多智能体系统开发了联合策略,该策略对通信中的潜在损失具有鲁棒性。更具体地说,我们开发了具有独立过渡和联合到达-避免目标的合作马尔可夫博弈的联合策略。首先,我们提出了一种在通信丢失期间分散执行联合策略的算法。该算法可以在代理之间的任意通信分区下工作。接下来,我们使用由联合策略诱导的状态-行为过程的总相关性作为代理之间内在依赖关系的度量。然后,我们使用该度量来下限联合策略在随机间歇或对抗性通信丢失场景下的性能。我们证明了一个多智能体决策环境的存在,在这个环境中,这个边界是紧密的——对于任何策略执行机制,在间歇性通信损失下的最高性能都与该边界具有相同的顺序。然后,我们提出了一种算法,该算法将代理最大化到这个下界,以便合成在通信丢失下保持性能的最小依赖联合策略。通过双智能体和三智能体的数值实验,我们表明所提出的最小依赖策略需要最小的智能体之间的协调,而不会造成性能损失;综合策略的总相关值明显低于不考虑潜在通信损失的基线策略的总相关值。因此,无论通信是否可用,最小依赖项策略的性能始终保持高水平。相比之下,当通信丢失时,基线策略的性能会急剧下降。
本文章由计算机程序翻译,如有差异,请以英文原文为准。

Designing policies for transition-independent multiagent systems that are robust to communication loss

Designing policies for transition-independent multiagent systems that are robust to communication loss

Designing policies for transition-independent multiagent systems that are robust to communication loss

In a cooperative multiagent system, a collection of agents executes a joint policy in order to achieve some common objective. The successful deployment of such systems hinges on the availability of reliable inter-agent communication. However, many sources of potential disruption to communication exist in practice, such as radio interference, hardware failure, and adversarial attacks. In this work, we develop joint policies for cooperative multiagent systems that are robust to potential losses in communication. More specifically, we develop joint policies for cooperative Markov games with independent transitions and joint reach-avoid objectives. First, we propose an algorithm for the decentralized execution of joint policies during periods of communication loss. This algorithm is designed to work under arbitrary communication partitions between the agents. Next, we use the total correlation of the state-action process induced by a joint policy as a measure of the intrinsic dependencies between the agents. We then use this measure to lower-bound the performance of a joint policy under randomly intermittent or adversarial communication loss scenarios. We show the existence of a multiagent decision-making environment in which this bound is tight—the highest performance under intermittent communication loss, for any policy execution mechanism, is of the same order as the bound. We then present an algorithm that maximizes a proxy to this lower bound in order to synthesize minimum-dependency joint policies that remain performant under communication loss. Through two-agent and three-agent numerical experiments, we show that the proposed minimum-dependency policies require minimal coordination between the agents while incurring little to no loss in performance; the total correlation value of the synthesized policy is significantly lower than the total correlation value of the baseline policy which does not take potential communication losses into account. As a result, the performance of the minimum-dependency policies remains consistently high regardless of whether or not communication is available. By contrast, the performance of the baseline policy decreases drastically when communication is lost.

求助全文
通过发布文献求助,成功后即可免费获取论文全文。 去求助
来源期刊
Autonomous Agents and Multi-Agent Systems
Autonomous Agents and Multi-Agent Systems 工程技术-计算机:人工智能
CiteScore
6.00
自引率
5.30%
发文量
48
审稿时长
>12 weeks
期刊介绍: This is the official journal of the International Foundation for Autonomous Agents and Multi-Agent Systems. It provides a leading forum for disseminating significant original research results in the foundations, theory, development, analysis, and applications of autonomous agents and multi-agent systems. Coverage in Autonomous Agents and Multi-Agent Systems includes, but is not limited to: Agent decision-making architectures and their evaluation, including: cognitive models; knowledge representation; logics for agency; ontological reasoning; planning (single and multi-agent); reasoning (single and multi-agent) Cooperation and teamwork, including: distributed problem solving; human-robot/agent interaction; multi-user/multi-virtual-agent interaction; coalition formation; coordination Agent communication languages, including: their semantics, pragmatics, and implementation; agent communication protocols and conversations; agent commitments; speech act theory Ontologies for agent systems, agents and the semantic web, agents and semantic web services, Grid-based systems, and service-oriented computing Agent societies and societal issues, including: artificial social systems; environments, organizations and institutions; ethical and legal issues; privacy, safety and security; trust, reliability and reputation Agent-based system development, including: agent development techniques, tools and environments; agent programming languages; agent specification or validation languages Agent-based simulation, including: emergent behavior; participatory simulation; simulation techniques, tools and environments; social simulation Agreement technologies, including: argumentation; collective decision making; judgment aggregation and belief merging; negotiation; norms Economic paradigms, including: auction and mechanism design; bargaining and negotiation; economically-motivated agents; game theory (cooperative and non-cooperative); social choice and voting Learning agents, including: computational architectures for learning agents; evolution, adaptation; multi-agent learning. Robotic agents, including: integrated perception, cognition, and action; cognitive robotics; robot planning (including action and motion planning); multi-robot systems. Virtual agents, including: agents in games and virtual environments; companion and coaching agents; modeling personality, emotions; multimodal interaction; verbal and non-verbal expressiveness Significant, novel applications of agent technology Comprehensive reviews and authoritative tutorials of research and practice in agent systems Comprehensive and authoritative reviews of books dealing with agents and multi-agent systems.
×
引用
GB/T 7714-2015
复制
MLA
复制
APA
复制
导出至
BibTeX EndNote RefMan NoteFirst NoteExpress
×
提示
您的信息不完整,为了账户安全,请先补充。
现在去补充
×
提示
您因"违规操作"
具体请查看互助需知
我知道了
×
提示
确定
请完成安全验证×
copy
已复制链接
快去分享给好友吧!
我知道了
右上角分享
点击右上角分享
0
联系我们:info@booksci.cn Book学术提供免费学术资源搜索服务,方便国内外学者检索中英文文献。致力于提供最便捷和优质的服务体验。 Copyright © 2023 布克学术 All rights reserved.
京ICP备2023020795号-1
ghs 京公网安备 11010802042870号
Book学术文献互助
Book学术文献互助群
群 号:604180095
Book学术官方微信