达格列净联合双歧杆菌三联活菌片对超重/肥胖2型糖尿病患者代谢综合征和肠道微生物群的长期疗效

IF 2.8 3区 医学 Q3 ENDOCRINOLOGY & METABOLISM
Endocrine Connections Pub Date : 2025-09-04 Print Date: 2025-09-01 DOI:10.1530/EC-25-0219
Kunyi Li, Zhi Li, Lifeng Liu
{"title":"达格列净联合双歧杆菌三联活菌片对超重/肥胖2型糖尿病患者代谢综合征和肠道微生物群的长期疗效","authors":"Kunyi Li, Zhi Li, Lifeng Liu","doi":"10.1530/EC-25-0219","DOIUrl":null,"url":null,"abstract":"<p><strong>Background: </strong>The rising global prevalence of type 2 diabetes (T2D) necessitates innovative therapies targeting glycemic control and metabolic complications. SGLT2 inhibitors improve cardiorenal outcomes and may modulate gut microbiota, while specific probiotics demonstrate glycemic and lipid benefits. However, synergistic effects of combining SGLT2 inhibitors with probiotics remain unexplored.</p><p><strong>Methods: </strong>This 24-week randomized controlled trial enrolled 120 overweight/obese T2D patients (BMI ≥ 24 kg/m2, HbA1c ≥ 7.0%). Participants were randomized to dapagliflozin (10 mg/day) alone (control, n = 60) or dapagliflozin plus triple viable tablets, containing Bifidobacterium longum, Lactobacillus acidophilus and Enterococcus faecalis (six tablets/day, ≥1.0 × 107 CFU/g/strain; experimental, n = 60). The primary outcome was HbA1c change; secondary outcomes included weight, lipid profiles, blood pressure, gut microbiota (qPCR quantification), and safety. Analyses used mixed-effects models (completers: 57 control, 58 experimental) and Spearman correlations.</p><p><strong>Results: </strong>The experimental group showed superior improvements in weight (-5.2 kg vs -3.1 kg), HbA1c (-1.8% vs -0.8%), LDL-C (-0.5 vs -0.3 mmol/L), HDL-C (+0.17 vs +0.07 mmol/L), and HOMA-IR (-1.2 vs -0.6) compared to controls (all P < 0.05). Gut microbiota analysis revealed increased Bifidobacterium (7.3 vs 5.5 log CFU/g, P < 0.001), reduced Enterobacteriaceae (4.5 vs 6.5 log CFU/g, P = 0.003), and a higher gram-positive/negative ratio (1.12 vs 0.70, P = 0.001). Bifidobacterium abundance correlated with HbA1c reduction (r = -0.42, P = 0.008), while gram-positive/negative ratio was linked to improved HDL-C (r = 0.26, P = 0.041). Adverse events were comparable between groups (28.3 vs 25.0%, P = 0.672).</p><p><strong>Conclusions: </strong>Combining dapagliflozin with Bifidobacterium probiotics enhances metabolic outcomes and favorably modulates gut microbiota in T2D patients. These findings support microbiota-targeted adjunctive therapy to optimize SGLT2 inhibitor efficacy.</p>","PeriodicalId":11634,"journal":{"name":"Endocrine Connections","volume":" ","pages":""},"PeriodicalIF":2.8000,"publicationDate":"2025-09-04","publicationTypes":"Journal Article","fieldsOfStudy":null,"isOpenAccess":false,"openAccessPdf":"https://www.ncbi.nlm.nih.gov/pmc/articles/PMC12412283/pdf/","citationCount":"0","resultStr":"{\"title\":\"Long-term efficacy of dapagliflozin combined with Bifidobacterium triple viable tablets on metabolic syndrome and gut microbiota in overweight/obese patients with type 2 diabetes.\",\"authors\":\"Kunyi Li, Zhi Li, Lifeng Liu\",\"doi\":\"10.1530/EC-25-0219\",\"DOIUrl\":null,\"url\":null,\"abstract\":\"<p><strong>Background: </strong>The rising global prevalence of type 2 diabetes (T2D) necessitates innovative therapies targeting glycemic control and metabolic complications. SGLT2 inhibitors improve cardiorenal outcomes and may modulate gut microbiota, while specific probiotics demonstrate glycemic and lipid benefits. However, synergistic effects of combining SGLT2 inhibitors with probiotics remain unexplored.</p><p><strong>Methods: </strong>This 24-week randomized controlled trial enrolled 120 overweight/obese T2D patients (BMI ≥ 24 kg/m2, HbA1c ≥ 7.0%). Participants were randomized to dapagliflozin (10 mg/day) alone (control, n = 60) or dapagliflozin plus triple viable tablets, containing Bifidobacterium longum, Lactobacillus acidophilus and Enterococcus faecalis (six tablets/day, ≥1.0 × 107 CFU/g/strain; experimental, n = 60). The primary outcome was HbA1c change; secondary outcomes included weight, lipid profiles, blood pressure, gut microbiota (qPCR quantification), and safety. Analyses used mixed-effects models (completers: 57 control, 58 experimental) and Spearman correlations.</p><p><strong>Results: </strong>The experimental group showed superior improvements in weight (-5.2 kg vs -3.1 kg), HbA1c (-1.8% vs -0.8%), LDL-C (-0.5 vs -0.3 mmol/L), HDL-C (+0.17 vs +0.07 mmol/L), and HOMA-IR (-1.2 vs -0.6) compared to controls (all P < 0.05). Gut microbiota analysis revealed increased Bifidobacterium (7.3 vs 5.5 log CFU/g, P < 0.001), reduced Enterobacteriaceae (4.5 vs 6.5 log CFU/g, P = 0.003), and a higher gram-positive/negative ratio (1.12 vs 0.70, P = 0.001). Bifidobacterium abundance correlated with HbA1c reduction (r = -0.42, P = 0.008), while gram-positive/negative ratio was linked to improved HDL-C (r = 0.26, P = 0.041). Adverse events were comparable between groups (28.3 vs 25.0%, P = 0.672).</p><p><strong>Conclusions: </strong>Combining dapagliflozin with Bifidobacterium probiotics enhances metabolic outcomes and favorably modulates gut microbiota in T2D patients. These findings support microbiota-targeted adjunctive therapy to optimize SGLT2 inhibitor efficacy.</p>\",\"PeriodicalId\":11634,\"journal\":{\"name\":\"Endocrine Connections\",\"volume\":\" \",\"pages\":\"\"},\"PeriodicalIF\":2.8000,\"publicationDate\":\"2025-09-04\",\"publicationTypes\":\"Journal Article\",\"fieldsOfStudy\":null,\"isOpenAccess\":false,\"openAccessPdf\":\"https://www.ncbi.nlm.nih.gov/pmc/articles/PMC12412283/pdf/\",\"citationCount\":\"0\",\"resultStr\":null,\"platform\":\"Semanticscholar\",\"paperid\":null,\"PeriodicalName\":\"Endocrine Connections\",\"FirstCategoryId\":\"3\",\"ListUrlMain\":\"https://doi.org/10.1530/EC-25-0219\",\"RegionNum\":3,\"RegionCategory\":\"医学\",\"ArticlePicture\":[],\"TitleCN\":null,\"AbstractTextCN\":null,\"PMCID\":null,\"EPubDate\":\"2025/9/1 0:00:00\",\"PubModel\":\"Print\",\"JCR\":\"Q3\",\"JCRName\":\"ENDOCRINOLOGY & METABOLISM\",\"Score\":null,\"Total\":0}","platform":"Semanticscholar","paperid":null,"PeriodicalName":"Endocrine Connections","FirstCategoryId":"3","ListUrlMain":"https://doi.org/10.1530/EC-25-0219","RegionNum":3,"RegionCategory":"医学","ArticlePicture":[],"TitleCN":null,"AbstractTextCN":null,"PMCID":null,"EPubDate":"2025/9/1 0:00:00","PubModel":"Print","JCR":"Q3","JCRName":"ENDOCRINOLOGY & METABOLISM","Score":null,"Total":0}
引用次数: 0

摘要

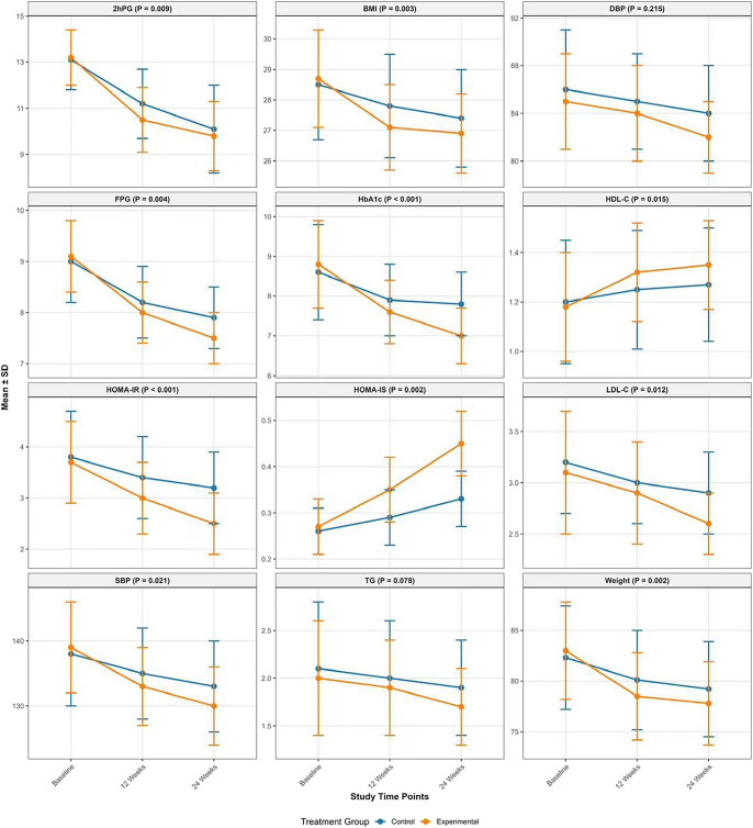
背景:全球2型糖尿病(T2D)患病率的上升需要针对血糖控制和代谢并发症的创新疗法。SGLT2抑制剂改善心肾预后,可能调节肠道微生物群,而特定益生菌显示血糖和脂质益处。然而,SGLT2抑制剂与益生菌联合使用的协同效应仍未被探索。方法:这项为期24周的随机对照试验纳入了120例超重/肥胖T2D患者(BMI≥24 kg/m2, HbA1c≥7.0%)。参与者被随机分为单药达格列净(10 mg/天)组(对照组,n=60)或达格列净联合长双歧杆菌、嗜酸乳杆菌和粪肠球菌组(6片/天,≥1.0×10^7 CFU/g/株;试验组,n=60)。主要结局为HbA1c改变;次要结局包括体重、血脂、血压、肠道微生物群(qPCR定量)和安全性。分析使用混合效应模型(完成者:57例对照,58例实验)和Spearman相关性。结果:实验组在体重(-5.2 kg vs. -3.1 kg)、糖化血红蛋白(-1.8% vs. -0.8%)、LDL-C (-0.5 vs. -0.3 mmol/L)、HDL-C (+0.17 vs. +0.07 mmol/L)和HOMA-IR (-1.2 vs. -0.6)方面均优于对照组(均P < 0.05)。肠道菌群分析显示双歧杆菌增加(7.3 vs. 5.5 log CFU/g, P < 0.001),肠杆菌科减少(4.5 vs. 6.5 log CFU/g, P = 0.003),革兰氏阳性/阴性比增加(1.12 vs. 0.70, P = 0.001)。双歧杆菌丰度与HbA1c降低相关(r = -0.42, P = 0.008),革兰氏阳性/阴性比值与HDL-C改善相关(r = 0.26, P = 0.041)。两组间不良事件具有可比性(28.3% vs. 25.0%, P = 0.672)。结论:达格列净联合双歧杆菌益生菌可改善t2dm患者的代谢结果,并有利于调节肠道微生物群。这些发现支持以微生物群为目标的辅助治疗来优化SGLT2抑制剂的疗效。
本文章由计算机程序翻译,如有差异,请以英文原文为准。

Long-term efficacy of dapagliflozin combined with Bifidobacterium triple viable tablets on metabolic syndrome and gut microbiota in overweight/obese patients with type 2 diabetes.

Long-term efficacy of dapagliflozin combined with Bifidobacterium triple viable tablets on metabolic syndrome and gut microbiota in overweight/obese patients with type 2 diabetes.

Long-term efficacy of dapagliflozin combined with Bifidobacterium triple viable tablets on metabolic syndrome and gut microbiota in overweight/obese patients with type 2 diabetes.

Long-term efficacy of dapagliflozin combined with Bifidobacterium triple viable tablets on metabolic syndrome and gut microbiota in overweight/obese patients with type 2 diabetes.

Background: The rising global prevalence of type 2 diabetes (T2D) necessitates innovative therapies targeting glycemic control and metabolic complications. SGLT2 inhibitors improve cardiorenal outcomes and may modulate gut microbiota, while specific probiotics demonstrate glycemic and lipid benefits. However, synergistic effects of combining SGLT2 inhibitors with probiotics remain unexplored.

Methods: This 24-week randomized controlled trial enrolled 120 overweight/obese T2D patients (BMI ≥ 24 kg/m2, HbA1c ≥ 7.0%). Participants were randomized to dapagliflozin (10 mg/day) alone (control, n = 60) or dapagliflozin plus triple viable tablets, containing Bifidobacterium longum, Lactobacillus acidophilus and Enterococcus faecalis (six tablets/day, ≥1.0 × 107 CFU/g/strain; experimental, n = 60). The primary outcome was HbA1c change; secondary outcomes included weight, lipid profiles, blood pressure, gut microbiota (qPCR quantification), and safety. Analyses used mixed-effects models (completers: 57 control, 58 experimental) and Spearman correlations.

Results: The experimental group showed superior improvements in weight (-5.2 kg vs -3.1 kg), HbA1c (-1.8% vs -0.8%), LDL-C (-0.5 vs -0.3 mmol/L), HDL-C (+0.17 vs +0.07 mmol/L), and HOMA-IR (-1.2 vs -0.6) compared to controls (all P < 0.05). Gut microbiota analysis revealed increased Bifidobacterium (7.3 vs 5.5 log CFU/g, P < 0.001), reduced Enterobacteriaceae (4.5 vs 6.5 log CFU/g, P = 0.003), and a higher gram-positive/negative ratio (1.12 vs 0.70, P = 0.001). Bifidobacterium abundance correlated with HbA1c reduction (r = -0.42, P = 0.008), while gram-positive/negative ratio was linked to improved HDL-C (r = 0.26, P = 0.041). Adverse events were comparable between groups (28.3 vs 25.0%, P = 0.672).

Conclusions: Combining dapagliflozin with Bifidobacterium probiotics enhances metabolic outcomes and favorably modulates gut microbiota in T2D patients. These findings support microbiota-targeted adjunctive therapy to optimize SGLT2 inhibitor efficacy.

求助全文
通过发布文献求助,成功后即可免费获取论文全文。 去求助
来源期刊
Endocrine Connections
Endocrine Connections Medicine-Internal Medicine
CiteScore
5.00
自引率
3.40%
发文量
361
审稿时长
6 weeks
期刊介绍: Endocrine Connections publishes original quality research and reviews in all areas of endocrinology, including papers that deal with non-classical tissues as source or targets of hormones and endocrine papers that have relevance to endocrine-related and intersecting disciplines and the wider biomedical community.
×
引用
GB/T 7714-2015
复制
MLA
复制
APA
复制
导出至
BibTeX EndNote RefMan NoteFirst NoteExpress
×
提示
您的信息不完整,为了账户安全,请先补充。
现在去补充
×
提示
您因"违规操作"
具体请查看互助需知
我知道了
×
提示
确定
请完成安全验证×
copy
已复制链接
快去分享给好友吧!
我知道了
右上角分享
点击右上角分享
0
联系我们:info@booksci.cn Book学术提供免费学术资源搜索服务,方便国内外学者检索中英文文献。致力于提供最便捷和优质的服务体验。 Copyright © 2023 布克学术 All rights reserved.
京ICP备2023020795号-1
ghs 京公网安备 11010802042870号
Book学术文献互助
Book学术文献互助群
群 号:604180095
Book学术官方微信