咖啡摄入与抗利尿激素系统:一项流行病学和实验研究。

IF 2.8 3区 医学 Q3 ENDOCRINOLOGY & METABOLISM
Endocrine Connections Pub Date : 2025-09-05 Print Date: 2025-09-01 DOI:10.1530/EC-25-0100
Fredrika Schill, Simon Timpka, Sophie Hellstrand, Olle Melander, Sofia Enhörning
{"title":"咖啡摄入与抗利尿激素系统:一项流行病学和实验研究。","authors":"Fredrika Schill, Simon Timpka, Sophie Hellstrand, Olle Melander, Sofia Enhörning","doi":"10.1530/EC-25-0100","DOIUrl":null,"url":null,"abstract":"<p><p>Coffee is epidemiologically linked to health benefits and risks. Coffee is thought to be a diuretic. However, it can still contribute to daily fluid intake. Vasopressin is the most important physiological regulator of body fluid balance and diuresis. This study aimed to map the effects of coffee intake on vasopressin concentration. In the population-based cross-sectional Malmö Offspring Study (n = 3,270, age 18-75 years, 47% males) we performed linear regression analyses to investigate the association between coffee intake and plasma concentration of copeptin (a vasopressin surrogate marker). Coffee intake was assessed using a 4-day food record. Moreover, we compared plasma copeptin concentrations after intake of 4 dL of coffee and 10 mL of water (control) in an experimental study (n = 26, age 35-70 years, 15% males). Results showed that higher coffee intake was associated with lower copeptin concentration after adjusting for co-variables, including total fluid intake. In the coffee experiment, the acute intake of 4 dL of coffee significantly decreased copeptin concentration at all time points (every 30 min for 4 h) compared with baseline concentration. A 27% maximum reduction on average was observed within 150 min. Intake of 10 mL of water also resulted in a slight reduction of copeptin concentration within 2 h. These findings suggest that copeptin concentration is lower among individuals with high coffee intake and can be acutely decreased by coffee intake. The mechanisms behind the coffee-induced reduction in copeptin concentration may involve oral and gut reflexes, volume load, and/or specific effects of coffee compounds.</p>","PeriodicalId":11634,"journal":{"name":"Endocrine Connections","volume":" ","pages":""},"PeriodicalIF":2.8000,"publicationDate":"2025-09-05","publicationTypes":"Journal Article","fieldsOfStudy":null,"isOpenAccess":false,"openAccessPdf":"https://www.ncbi.nlm.nih.gov/pmc/articles/PMC12421983/pdf/","citationCount":"0","resultStr":"{\"title\":\"Coffee intake and the vasopressin system: an epidemiological and experimental study.\",\"authors\":\"Fredrika Schill, Simon Timpka, Sophie Hellstrand, Olle Melander, Sofia Enhörning\",\"doi\":\"10.1530/EC-25-0100\",\"DOIUrl\":null,\"url\":null,\"abstract\":\"<p><p>Coffee is epidemiologically linked to health benefits and risks. Coffee is thought to be a diuretic. However, it can still contribute to daily fluid intake. Vasopressin is the most important physiological regulator of body fluid balance and diuresis. This study aimed to map the effects of coffee intake on vasopressin concentration. In the population-based cross-sectional Malmö Offspring Study (n = 3,270, age 18-75 years, 47% males) we performed linear regression analyses to investigate the association between coffee intake and plasma concentration of copeptin (a vasopressin surrogate marker). Coffee intake was assessed using a 4-day food record. Moreover, we compared plasma copeptin concentrations after intake of 4 dL of coffee and 10 mL of water (control) in an experimental study (n = 26, age 35-70 years, 15% males). Results showed that higher coffee intake was associated with lower copeptin concentration after adjusting for co-variables, including total fluid intake. In the coffee experiment, the acute intake of 4 dL of coffee significantly decreased copeptin concentration at all time points (every 30 min for 4 h) compared with baseline concentration. A 27% maximum reduction on average was observed within 150 min. Intake of 10 mL of water also resulted in a slight reduction of copeptin concentration within 2 h. These findings suggest that copeptin concentration is lower among individuals with high coffee intake and can be acutely decreased by coffee intake. The mechanisms behind the coffee-induced reduction in copeptin concentration may involve oral and gut reflexes, volume load, and/or specific effects of coffee compounds.</p>\",\"PeriodicalId\":11634,\"journal\":{\"name\":\"Endocrine Connections\",\"volume\":\" \",\"pages\":\"\"},\"PeriodicalIF\":2.8000,\"publicationDate\":\"2025-09-05\",\"publicationTypes\":\"Journal Article\",\"fieldsOfStudy\":null,\"isOpenAccess\":false,\"openAccessPdf\":\"https://www.ncbi.nlm.nih.gov/pmc/articles/PMC12421983/pdf/\",\"citationCount\":\"0\",\"resultStr\":null,\"platform\":\"Semanticscholar\",\"paperid\":null,\"PeriodicalName\":\"Endocrine Connections\",\"FirstCategoryId\":\"3\",\"ListUrlMain\":\"https://doi.org/10.1530/EC-25-0100\",\"RegionNum\":3,\"RegionCategory\":\"医学\",\"ArticlePicture\":[],\"TitleCN\":null,\"AbstractTextCN\":null,\"PMCID\":null,\"EPubDate\":\"2025/9/1 0:00:00\",\"PubModel\":\"Print\",\"JCR\":\"Q3\",\"JCRName\":\"ENDOCRINOLOGY & METABOLISM\",\"Score\":null,\"Total\":0}","platform":"Semanticscholar","paperid":null,"PeriodicalName":"Endocrine Connections","FirstCategoryId":"3","ListUrlMain":"https://doi.org/10.1530/EC-25-0100","RegionNum":3,"RegionCategory":"医学","ArticlePicture":[],"TitleCN":null,"AbstractTextCN":null,"PMCID":null,"EPubDate":"2025/9/1 0:00:00","PubModel":"Print","JCR":"Q3","JCRName":"ENDOCRINOLOGY & METABOLISM","Score":null,"Total":0}
引用次数: 0

摘要

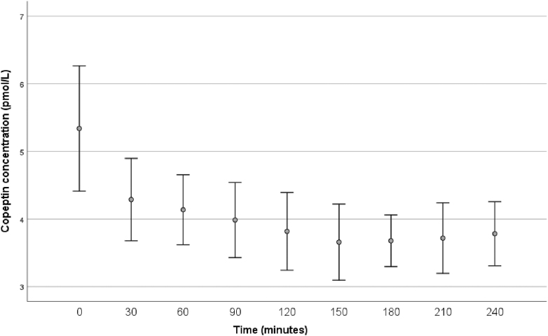
在流行病学上,咖啡与健康益处和风险有关。咖啡被认为是利尿剂。然而,它仍然有助于每天的液体摄入量。加压素是体液平衡和利尿最重要的生理调节剂。这项研究旨在绘制咖啡摄入量对抗利尿激素浓度的影响。在以人群为基础的横断面Malmö后代研究(n = 3270,年龄18-75岁,47%男性)中,我们进行了线性回归分析,以调查咖啡摄入量与copeptin(一种抗利尿激素替代标志物)血浆浓度之间的关系。通过四天的饮食记录来评估咖啡摄入量。此外,在一项实验研究中,我们比较了摄入4 dL咖啡和10 mL水(对照)后的血浆copeptin浓度(n = 26,年龄35-70岁,15%男性)。结果显示,在调整了包括总液体摄入量在内的协变量后,咖啡摄入量越高,copeptin浓度越低。在咖啡实验中,与基线浓度相比,急性摄入4 dL咖啡在所有时间点(每30分钟4小时)显著降低copeptin浓度。在150分钟内观察到27%的平均最大减少。摄入10毫升水也会导致copeptin浓度在2小时内略有下降。这些研究结果表明,copeptin浓度在高咖啡摄入量的个体中较低,并且会因咖啡摄入而急剧下降。咖啡导致copeptin浓度降低的机制可能涉及口腔和肠道反射、体积负荷和/或咖啡化合物的特定作用。
本文章由计算机程序翻译,如有差异,请以英文原文为准。

Coffee intake and the vasopressin system: an epidemiological and experimental study.

Coffee intake and the vasopressin system: an epidemiological and experimental study.

Coffee intake and the vasopressin system: an epidemiological and experimental study.

Coffee intake and the vasopressin system: an epidemiological and experimental study.

Coffee is epidemiologically linked to health benefits and risks. Coffee is thought to be a diuretic. However, it can still contribute to daily fluid intake. Vasopressin is the most important physiological regulator of body fluid balance and diuresis. This study aimed to map the effects of coffee intake on vasopressin concentration. In the population-based cross-sectional Malmö Offspring Study (n = 3,270, age 18-75 years, 47% males) we performed linear regression analyses to investigate the association between coffee intake and plasma concentration of copeptin (a vasopressin surrogate marker). Coffee intake was assessed using a 4-day food record. Moreover, we compared plasma copeptin concentrations after intake of 4 dL of coffee and 10 mL of water (control) in an experimental study (n = 26, age 35-70 years, 15% males). Results showed that higher coffee intake was associated with lower copeptin concentration after adjusting for co-variables, including total fluid intake. In the coffee experiment, the acute intake of 4 dL of coffee significantly decreased copeptin concentration at all time points (every 30 min for 4 h) compared with baseline concentration. A 27% maximum reduction on average was observed within 150 min. Intake of 10 mL of water also resulted in a slight reduction of copeptin concentration within 2 h. These findings suggest that copeptin concentration is lower among individuals with high coffee intake and can be acutely decreased by coffee intake. The mechanisms behind the coffee-induced reduction in copeptin concentration may involve oral and gut reflexes, volume load, and/or specific effects of coffee compounds.

求助全文
通过发布文献求助,成功后即可免费获取论文全文。 去求助
来源期刊
Endocrine Connections
Endocrine Connections Medicine-Internal Medicine
CiteScore
5.00
自引率
3.40%
发文量
361
审稿时长
6 weeks
期刊介绍: Endocrine Connections publishes original quality research and reviews in all areas of endocrinology, including papers that deal with non-classical tissues as source or targets of hormones and endocrine papers that have relevance to endocrine-related and intersecting disciplines and the wider biomedical community.
×
引用
GB/T 7714-2015
复制
MLA
复制
APA
复制
导出至
BibTeX EndNote RefMan NoteFirst NoteExpress
×
提示
您的信息不完整,为了账户安全,请先补充。
现在去补充
×
提示
您因"违规操作"
具体请查看互助需知
我知道了
×
提示
确定
请完成安全验证×
copy
已复制链接
快去分享给好友吧!
我知道了
右上角分享
点击右上角分享
0
联系我们:info@booksci.cn Book学术提供免费学术资源搜索服务,方便国内外学者检索中英文文献。致力于提供最便捷和优质的服务体验。 Copyright © 2023 布克学术 All rights reserved.
京ICP备2023020795号-1
ghs 京公网安备 11010802042870号
Book学术文献互助
Book学术文献互助群
群 号:604180095
Book学术官方微信