2型糖尿病患者血清I-309升高与肾功能损害和糖尿病肾病的关系

IF 2.8 3区 医学 Q3 ENDOCRINOLOGY & METABOLISM
Endocrine Connections Pub Date : 2025-08-29 Print Date: 2025-08-01 DOI:10.1530/EC-25-0252
Bing Zhao, Miaomiao Zhang, Zhiyu Zhang, Yan Liang, Zaixing Yang
{"title":"2型糖尿病患者血清I-309升高与肾功能损害和糖尿病肾病的关系","authors":"Bing Zhao, Miaomiao Zhang, Zhiyu Zhang, Yan Liang, Zaixing Yang","doi":"10.1530/EC-25-0252","DOIUrl":null,"url":null,"abstract":"<p><strong>Objective: </strong>The aim of this study was to determine serum I-309 levels in type 2 diabetes mellitus (T2DM) patients, as well as the association with clinical/laboratory phenotypes and disease complications.</p><p><strong>Methods: </strong>A total of 155 T2DM patients and 30 healthy controls (HC) were enrolled. The concentrations of serum I-309, interleukin-4 (IL-4), IL-6, IL-10, IL-12, IL-17, IL-23, tumor necrosis factor-α (TNF-α), and interferon (IFN)-γ were measured. The relationships between I-309 and various clinical and laboratory variables were analyzed.</p><p><strong>Results: </strong>The serum concentrations of I-309 were significantly higher in T2DM patients than in HC (P < 0.001). The serum I-309 levels were significantly elevated in T2DM patients with diabetic kidney disease (DKD), hypertension, coronary artery disease, peripheral neuropathy, peripheral artery disease, and diabetic ketosis (all P < 0.05), but reduced in drinkers (P = 0.018). The Spearman analysis showed that serum I-309 correlated positively with age, disease duration, CKD stages, urea, creatinine, urinary albumin-to-creatinine ratio, C-reactive protein, red blood cell distribution width, neutrophil-to-lymphocyte ratio, platelet-to-lymphocyte ratio, IL-6, IL-12, and IFN-γ, but negatively with estimated glomerular filtration rate (eGFR), fasting blood glucose, total bilirubin, albumin, lymphocyte count, red blood cell count, and hemoglobin. The multiple linear regression analysis indicated that serum I-309 was independently correlated only with eGFR and IFN-γ. The multivariate logistic regression analysis demonstrated that serum I-30 and IL-17A remained independently associated with DKD.</p><p><strong>Conclusion: </strong>Serum I-309 is markedly elevated in T2DM patients and is associated with increased DKD risk, suggesting its potential role as both a promising biomarker and a pathogenic mediator in the progression of T2DM, particularly DKD.</p>","PeriodicalId":11634,"journal":{"name":"Endocrine Connections","volume":" ","pages":""},"PeriodicalIF":2.8000,"publicationDate":"2025-08-29","publicationTypes":"Journal Article","fieldsOfStudy":null,"isOpenAccess":false,"openAccessPdf":"https://www.ncbi.nlm.nih.gov/pmc/articles/PMC12400501/pdf/","citationCount":"0","resultStr":"{\"title\":\"Association of increased serum I-309 with renal function impairment and diabetic kidney disease in type 2 diabetes mellitus.\",\"authors\":\"Bing Zhao, Miaomiao Zhang, Zhiyu Zhang, Yan Liang, Zaixing Yang\",\"doi\":\"10.1530/EC-25-0252\",\"DOIUrl\":null,\"url\":null,\"abstract\":\"<p><strong>Objective: </strong>The aim of this study was to determine serum I-309 levels in type 2 diabetes mellitus (T2DM) patients, as well as the association with clinical/laboratory phenotypes and disease complications.</p><p><strong>Methods: </strong>A total of 155 T2DM patients and 30 healthy controls (HC) were enrolled. The concentrations of serum I-309, interleukin-4 (IL-4), IL-6, IL-10, IL-12, IL-17, IL-23, tumor necrosis factor-α (TNF-α), and interferon (IFN)-γ were measured. The relationships between I-309 and various clinical and laboratory variables were analyzed.</p><p><strong>Results: </strong>The serum concentrations of I-309 were significantly higher in T2DM patients than in HC (P < 0.001). The serum I-309 levels were significantly elevated in T2DM patients with diabetic kidney disease (DKD), hypertension, coronary artery disease, peripheral neuropathy, peripheral artery disease, and diabetic ketosis (all P < 0.05), but reduced in drinkers (P = 0.018). The Spearman analysis showed that serum I-309 correlated positively with age, disease duration, CKD stages, urea, creatinine, urinary albumin-to-creatinine ratio, C-reactive protein, red blood cell distribution width, neutrophil-to-lymphocyte ratio, platelet-to-lymphocyte ratio, IL-6, IL-12, and IFN-γ, but negatively with estimated glomerular filtration rate (eGFR), fasting blood glucose, total bilirubin, albumin, lymphocyte count, red blood cell count, and hemoglobin. The multiple linear regression analysis indicated that serum I-309 was independently correlated only with eGFR and IFN-γ. The multivariate logistic regression analysis demonstrated that serum I-30 and IL-17A remained independently associated with DKD.</p><p><strong>Conclusion: </strong>Serum I-309 is markedly elevated in T2DM patients and is associated with increased DKD risk, suggesting its potential role as both a promising biomarker and a pathogenic mediator in the progression of T2DM, particularly DKD.</p>\",\"PeriodicalId\":11634,\"journal\":{\"name\":\"Endocrine Connections\",\"volume\":\" \",\"pages\":\"\"},\"PeriodicalIF\":2.8000,\"publicationDate\":\"2025-08-29\",\"publicationTypes\":\"Journal Article\",\"fieldsOfStudy\":null,\"isOpenAccess\":false,\"openAccessPdf\":\"https://www.ncbi.nlm.nih.gov/pmc/articles/PMC12400501/pdf/\",\"citationCount\":\"0\",\"resultStr\":null,\"platform\":\"Semanticscholar\",\"paperid\":null,\"PeriodicalName\":\"Endocrine Connections\",\"FirstCategoryId\":\"3\",\"ListUrlMain\":\"https://doi.org/10.1530/EC-25-0252\",\"RegionNum\":3,\"RegionCategory\":\"医学\",\"ArticlePicture\":[],\"TitleCN\":null,\"AbstractTextCN\":null,\"PMCID\":null,\"EPubDate\":\"2025/8/1 0:00:00\",\"PubModel\":\"Print\",\"JCR\":\"Q3\",\"JCRName\":\"ENDOCRINOLOGY & METABOLISM\",\"Score\":null,\"Total\":0}","platform":"Semanticscholar","paperid":null,"PeriodicalName":"Endocrine Connections","FirstCategoryId":"3","ListUrlMain":"https://doi.org/10.1530/EC-25-0252","RegionNum":3,"RegionCategory":"医学","ArticlePicture":[],"TitleCN":null,"AbstractTextCN":null,"PMCID":null,"EPubDate":"2025/8/1 0:00:00","PubModel":"Print","JCR":"Q3","JCRName":"ENDOCRINOLOGY & METABOLISM","Score":null,"Total":0}
引用次数: 0

摘要

目的:本研究的目的是确定2型糖尿病(T2DM)患者血清I-309水平,以及与临床/实验室表型和疾病并发症的关系。方法:选取T2DM患者155例,健康对照30例。测定血清I-309、白细胞介素-4 (IL-4)、IL-6、IL-10、IL-12、IL-17、IL-23、肿瘤坏死因子-α (TNF-α)、干扰素(IFN)-γ的浓度。分析I-309与各种临床和实验室变量之间的关系。结论:血清I-309在T2DM患者中显著升高,并与DKD风险增加相关,提示其在T2DM(尤其是DKD)进展中作为一种有前景的生物标志物和致病介质的潜在作用。
本文章由计算机程序翻译,如有差异,请以英文原文为准。

Association of increased serum I-309 with renal function impairment and diabetic kidney disease in type 2 diabetes mellitus.

Association of increased serum I-309 with renal function impairment and diabetic kidney disease in type 2 diabetes mellitus.

Association of increased serum I-309 with renal function impairment and diabetic kidney disease in type 2 diabetes mellitus.

Association of increased serum I-309 with renal function impairment and diabetic kidney disease in type 2 diabetes mellitus.

Objective: The aim of this study was to determine serum I-309 levels in type 2 diabetes mellitus (T2DM) patients, as well as the association with clinical/laboratory phenotypes and disease complications.

Methods: A total of 155 T2DM patients and 30 healthy controls (HC) were enrolled. The concentrations of serum I-309, interleukin-4 (IL-4), IL-6, IL-10, IL-12, IL-17, IL-23, tumor necrosis factor-α (TNF-α), and interferon (IFN)-γ were measured. The relationships between I-309 and various clinical and laboratory variables were analyzed.

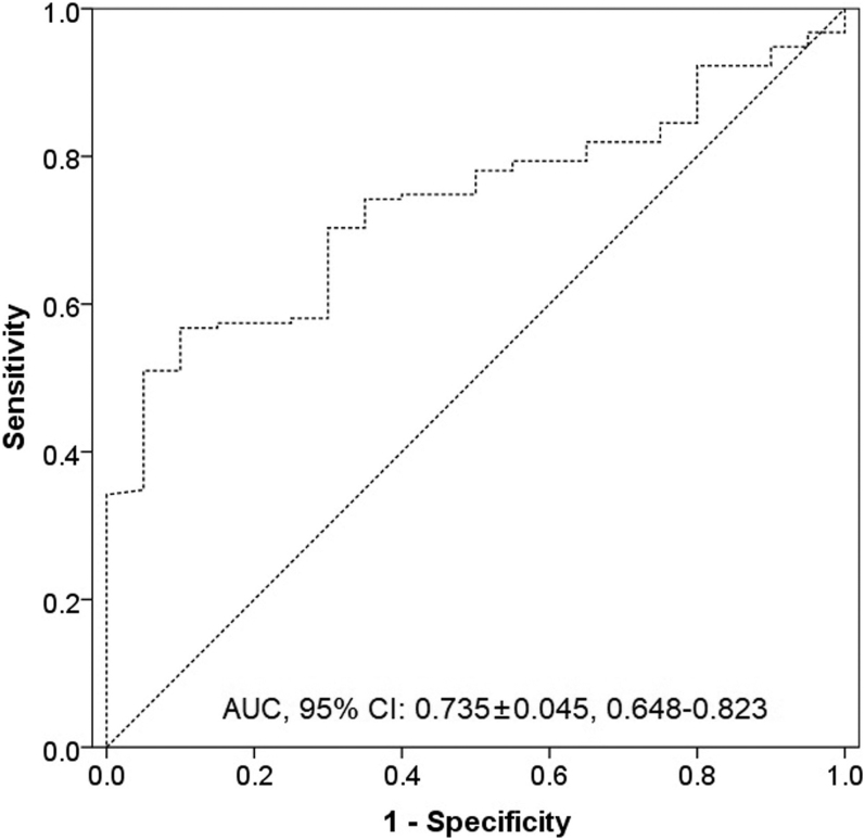
Results: The serum concentrations of I-309 were significantly higher in T2DM patients than in HC (P < 0.001). The serum I-309 levels were significantly elevated in T2DM patients with diabetic kidney disease (DKD), hypertension, coronary artery disease, peripheral neuropathy, peripheral artery disease, and diabetic ketosis (all P < 0.05), but reduced in drinkers (P = 0.018). The Spearman analysis showed that serum I-309 correlated positively with age, disease duration, CKD stages, urea, creatinine, urinary albumin-to-creatinine ratio, C-reactive protein, red blood cell distribution width, neutrophil-to-lymphocyte ratio, platelet-to-lymphocyte ratio, IL-6, IL-12, and IFN-γ, but negatively with estimated glomerular filtration rate (eGFR), fasting blood glucose, total bilirubin, albumin, lymphocyte count, red blood cell count, and hemoglobin. The multiple linear regression analysis indicated that serum I-309 was independently correlated only with eGFR and IFN-γ. The multivariate logistic regression analysis demonstrated that serum I-30 and IL-17A remained independently associated with DKD.

Conclusion: Serum I-309 is markedly elevated in T2DM patients and is associated with increased DKD risk, suggesting its potential role as both a promising biomarker and a pathogenic mediator in the progression of T2DM, particularly DKD.

求助全文
通过发布文献求助,成功后即可免费获取论文全文。 去求助
来源期刊
Endocrine Connections
Endocrine Connections Medicine-Internal Medicine
CiteScore
5.00
自引率
3.40%
发文量
361
审稿时长
6 weeks
期刊介绍: Endocrine Connections publishes original quality research and reviews in all areas of endocrinology, including papers that deal with non-classical tissues as source or targets of hormones and endocrine papers that have relevance to endocrine-related and intersecting disciplines and the wider biomedical community.
×
引用
GB/T 7714-2015
复制
MLA
复制
APA
复制
导出至
BibTeX EndNote RefMan NoteFirst NoteExpress
×
提示
您的信息不完整,为了账户安全,请先补充。
现在去补充
×
提示
您因"违规操作"
具体请查看互助需知
我知道了
×
提示
确定
请完成安全验证×
copy
已复制链接
快去分享给好友吧!
我知道了
右上角分享
点击右上角分享
0
联系我们:info@booksci.cn Book学术提供免费学术资源搜索服务,方便国内外学者检索中英文文献。致力于提供最便捷和优质的服务体验。 Copyright © 2023 布克学术 All rights reserved.
京ICP备2023020795号-1
ghs 京公网安备 11010802042870号
Book学术文献互助
Book学术文献互助群
群 号:604180095
Book学术官方微信