2010-2019年英格兰抗抑郁药和阿片类药物联合处方治疗非癌性疼痛:一项使用CPRD初级保健电子健康记录的描述性研究

IF 2.6 Q2 MEDICINE, GENERAL & INTERNAL
Jake Butler, Rebecca M Joseph, Carol Coupland, Roger David Knaggs, Anthony J Avery, Richard Morriss, Debbie Butler, Louisa Gerrard, Dave Waldram, Ruth H Jack
{"title":"2010-2019年英格兰抗抑郁药和阿片类药物联合处方治疗非癌性疼痛:一项使用CPRD初级保健电子健康记录的描述性研究","authors":"Jake Butler, Rebecca M Joseph, Carol Coupland, Roger David Knaggs, Anthony J Avery, Richard Morriss, Debbie Butler, Louisa Gerrard, Dave Waldram, Ruth H Jack","doi":"10.1186/s12875-025-02956-1","DOIUrl":null,"url":null,"abstract":"<p><strong>Background: </strong>There is a complex relationship between pain and mood disorders, and interactions between opioids and antidepressants can affect the effectiveness and adverse effects of these medicines when taken together. However, little is known about the scale of co-prescription for these medicines.</p><p><strong>Methods: </strong>We used routinely collected primary care data from the Clinical Practice Research Datalink to describe the extent of opioid and antidepressant co-prescribing in over 4.3 million adults in England. Linked data included deprivation information and hospital episode statistics admitted patient care data to improve completeness of ethnicity information. We identified all primary care prescriptions of opioids and antidepressants between 2010 and 2019 and counted if an opioid and antidepressant prescription overlapped, and if so, for how long. People were censored at the first date of a record of cancer, terminal illness, heart failure or opioid misuse.</p><p><strong>Results: </strong>There were 4,355,694 people included in the study population. Of these, 304,029 (7.0%) had an opioid and antidepressant co-prescribed at least once during the study period. The prevalence of co-prescribing increased from 35.8 per 1000 person-years in 2010 to 44.1 in 2015 and then decreased to 39.2 in 2019. Co-prescribing rates were higher in females, older age groups, people living in more deprived areas and the White ethnic group. The overall median length of the opioid and antidepressant co-prescriptions was 29 days (interquartile range: 17 to 51 days). The most commonly co-prescribed medicines were codeine and amitriptyline, co-prescribed 235,017 times to 87,274 people. The second most commonly co-prescribed combination was codeine and citalopram, co-prescribed 55,792 times to 158,812 people. Combinations of opioids and antidepressants both metabolised by CYP2D6 were also common.</p><p><strong>Conclusions: </strong>There is a substantial group of people co-prescribed opioids and antidepressants in England, including combinations that may be less effective. This information will be useful to help GPs, dispensing professionals, policymakers and others understand how many people in the UK may be at risk of harm from using both types of medicines at the same time, and which groups are particularly affected. Future research should determine whether there are higher risks of adverse events in these co-prescribed groups.</p>","PeriodicalId":72428,"journal":{"name":"BMC primary care","volume":"26 1","pages":"254"},"PeriodicalIF":2.6000,"publicationDate":"2025-08-16","publicationTypes":"Journal Article","fieldsOfStudy":null,"isOpenAccess":false,"openAccessPdf":"https://www.ncbi.nlm.nih.gov/pmc/articles/PMC12357414/pdf/","citationCount":"0","resultStr":"{\"title\":\"Co-prescribing of antidepressants and opioids for non-cancer pain in England, 2010-2019: a descriptive study using CPRD primary care electronic health records.\",\"authors\":\"Jake Butler, Rebecca M Joseph, Carol Coupland, Roger David Knaggs, Anthony J Avery, Richard Morriss, Debbie Butler, Louisa Gerrard, Dave Waldram, Ruth H Jack\",\"doi\":\"10.1186/s12875-025-02956-1\",\"DOIUrl\":null,\"url\":null,\"abstract\":\"<p><strong>Background: </strong>There is a complex relationship between pain and mood disorders, and interactions between opioids and antidepressants can affect the effectiveness and adverse effects of these medicines when taken together. However, little is known about the scale of co-prescription for these medicines.</p><p><strong>Methods: </strong>We used routinely collected primary care data from the Clinical Practice Research Datalink to describe the extent of opioid and antidepressant co-prescribing in over 4.3 million adults in England. Linked data included deprivation information and hospital episode statistics admitted patient care data to improve completeness of ethnicity information. We identified all primary care prescriptions of opioids and antidepressants between 2010 and 2019 and counted if an opioid and antidepressant prescription overlapped, and if so, for how long. People were censored at the first date of a record of cancer, terminal illness, heart failure or opioid misuse.</p><p><strong>Results: </strong>There were 4,355,694 people included in the study population. Of these, 304,029 (7.0%) had an opioid and antidepressant co-prescribed at least once during the study period. The prevalence of co-prescribing increased from 35.8 per 1000 person-years in 2010 to 44.1 in 2015 and then decreased to 39.2 in 2019. Co-prescribing rates were higher in females, older age groups, people living in more deprived areas and the White ethnic group. The overall median length of the opioid and antidepressant co-prescriptions was 29 days (interquartile range: 17 to 51 days). The most commonly co-prescribed medicines were codeine and amitriptyline, co-prescribed 235,017 times to 87,274 people. The second most commonly co-prescribed combination was codeine and citalopram, co-prescribed 55,792 times to 158,812 people. Combinations of opioids and antidepressants both metabolised by CYP2D6 were also common.</p><p><strong>Conclusions: </strong>There is a substantial group of people co-prescribed opioids and antidepressants in England, including combinations that may be less effective. This information will be useful to help GPs, dispensing professionals, policymakers and others understand how many people in the UK may be at risk of harm from using both types of medicines at the same time, and which groups are particularly affected. Future research should determine whether there are higher risks of adverse events in these co-prescribed groups.</p>\",\"PeriodicalId\":72428,\"journal\":{\"name\":\"BMC primary care\",\"volume\":\"26 1\",\"pages\":\"254\"},\"PeriodicalIF\":2.6000,\"publicationDate\":\"2025-08-16\",\"publicationTypes\":\"Journal Article\",\"fieldsOfStudy\":null,\"isOpenAccess\":false,\"openAccessPdf\":\"https://www.ncbi.nlm.nih.gov/pmc/articles/PMC12357414/pdf/\",\"citationCount\":\"0\",\"resultStr\":null,\"platform\":\"Semanticscholar\",\"paperid\":null,\"PeriodicalName\":\"BMC primary care\",\"FirstCategoryId\":\"1085\",\"ListUrlMain\":\"https://doi.org/10.1186/s12875-025-02956-1\",\"RegionNum\":0,\"RegionCategory\":null,\"ArticlePicture\":[],\"TitleCN\":null,\"AbstractTextCN\":null,\"PMCID\":null,\"EPubDate\":\"\",\"PubModel\":\"\",\"JCR\":\"Q2\",\"JCRName\":\"MEDICINE, GENERAL & INTERNAL\",\"Score\":null,\"Total\":0}","platform":"Semanticscholar","paperid":null,"PeriodicalName":"BMC primary care","FirstCategoryId":"1085","ListUrlMain":"https://doi.org/10.1186/s12875-025-02956-1","RegionNum":0,"RegionCategory":null,"ArticlePicture":[],"TitleCN":null,"AbstractTextCN":null,"PMCID":null,"EPubDate":"","PubModel":"","JCR":"Q2","JCRName":"MEDICINE, GENERAL & INTERNAL","Score":null,"Total":0}
引用次数: 0

摘要

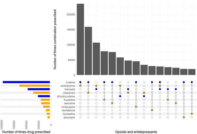
背景:疼痛与情绪障碍之间存在复杂的关系,阿片类药物与抗抑郁药物之间的相互作用会影响这些药物一起服用时的有效性和不良反应。然而,人们对这些药物的共同处方规模知之甚少。方法:我们使用临床实践研究数据链常规收集的初级保健数据来描述英格兰430多万成年人阿片类药物和抗抑郁药物联合处方的程度。关联数据包括剥夺信息和入院患者护理数据统计,以提高种族信息的完整性。我们确定了2010年至2019年间阿片类药物和抗抑郁药的所有初级保健处方,并计算了阿片类药物和抗抑郁药的处方是否重叠,如果重叠,持续了多长时间。人们在癌症、绝症、心力衰竭或滥用阿片类药物的记录的第一天就会被审查。结果:共有4,355,694人纳入研究人群。其中,304029人(7.0%)在研究期间至少服用过一次阿片类药物和抗抑郁药。共同处方的患病率从2010年的每1000人年35.8人上升到2015年的44.1人,然后下降到2019年的39.2人。共同处方率在女性、老年群体、生活在更贫困地区的人和白人群体中更高。阿片类药物和抗抑郁药物联合处方的总中位数长度为29天(四分位数范围:17至51天)。最常见的合用药物是可待因和阿米替林,共合用235,017次,87,274人。第二常见的联合用药是可待因和西酞普兰,共用药55,792次,共158,812人。由CYP2D6代谢的阿片类药物和抗抑郁药的组合也很常见。结论:在英国,有相当多的人同时服用阿片类药物和抗抑郁药,包括可能效果较差的组合。这些信息将有助于全科医生、配药专业人员、政策制定者和其他人了解英国有多少人可能因同时使用这两种药物而面临伤害的风险,以及哪些群体受到的影响特别大。未来的研究应该确定这些联合处方组是否有更高的不良事件风险。
本文章由计算机程序翻译,如有差异,请以英文原文为准。

Co-prescribing of antidepressants and opioids for non-cancer pain in England, 2010-2019: a descriptive study using CPRD primary care electronic health records.

Co-prescribing of antidepressants and opioids for non-cancer pain in England, 2010-2019: a descriptive study using CPRD primary care electronic health records.

Co-prescribing of antidepressants and opioids for non-cancer pain in England, 2010-2019: a descriptive study using CPRD primary care electronic health records.

Co-prescribing of antidepressants and opioids for non-cancer pain in England, 2010-2019: a descriptive study using CPRD primary care electronic health records.

Background: There is a complex relationship between pain and mood disorders, and interactions between opioids and antidepressants can affect the effectiveness and adverse effects of these medicines when taken together. However, little is known about the scale of co-prescription for these medicines.

Methods: We used routinely collected primary care data from the Clinical Practice Research Datalink to describe the extent of opioid and antidepressant co-prescribing in over 4.3 million adults in England. Linked data included deprivation information and hospital episode statistics admitted patient care data to improve completeness of ethnicity information. We identified all primary care prescriptions of opioids and antidepressants between 2010 and 2019 and counted if an opioid and antidepressant prescription overlapped, and if so, for how long. People were censored at the first date of a record of cancer, terminal illness, heart failure or opioid misuse.

Results: There were 4,355,694 people included in the study population. Of these, 304,029 (7.0%) had an opioid and antidepressant co-prescribed at least once during the study period. The prevalence of co-prescribing increased from 35.8 per 1000 person-years in 2010 to 44.1 in 2015 and then decreased to 39.2 in 2019. Co-prescribing rates were higher in females, older age groups, people living in more deprived areas and the White ethnic group. The overall median length of the opioid and antidepressant co-prescriptions was 29 days (interquartile range: 17 to 51 days). The most commonly co-prescribed medicines were codeine and amitriptyline, co-prescribed 235,017 times to 87,274 people. The second most commonly co-prescribed combination was codeine and citalopram, co-prescribed 55,792 times to 158,812 people. Combinations of opioids and antidepressants both metabolised by CYP2D6 were also common.

Conclusions: There is a substantial group of people co-prescribed opioids and antidepressants in England, including combinations that may be less effective. This information will be useful to help GPs, dispensing professionals, policymakers and others understand how many people in the UK may be at risk of harm from using both types of medicines at the same time, and which groups are particularly affected. Future research should determine whether there are higher risks of adverse events in these co-prescribed groups.

求助全文
通过发布文献求助,成功后即可免费获取论文全文。 去求助
来源期刊
CiteScore
4.40
自引率
0.00%
发文量
0
×
引用
GB/T 7714-2015
复制
MLA
复制
APA
复制
导出至
BibTeX EndNote RefMan NoteFirst NoteExpress
×
提示
您的信息不完整,为了账户安全,请先补充。
现在去补充
×
提示
您因"违规操作"
具体请查看互助需知
我知道了
×
提示
确定
请完成安全验证×
copy
已复制链接
快去分享给好友吧!
我知道了
右上角分享
点击右上角分享
0
联系我们:info@booksci.cn Book学术提供免费学术资源搜索服务,方便国内外学者检索中英文文献。致力于提供最便捷和优质的服务体验。 Copyright © 2023 布克学术 All rights reserved.
京ICP备2023020795号-1
ghs 京公网安备 11010802042870号
Book学术文献互助
Book学术文献互助群
群 号:604180095
Book学术官方微信