口咽癌中hpv相关p16表达的亚位点变异:1986-2020年基于人群的DAHANCA队列的发病率和预后影响

IF 2.7 3区 医学 Q3 ONCOLOGY
Pernille Lassen, Jan Alsner, Hanne Primdahl, Christina Caroline Plaschke, Christian Maare, Jørgen Johansen, Maria Andersen, Mohammad Farhadi, Jens Overgaard
{"title":"口咽癌中hpv相关p16表达的亚位点变异:1986-2020年基于人群的DAHANCA队列的发病率和预后影响","authors":"Pernille Lassen, Jan Alsner, Hanne Primdahl, Christina Caroline Plaschke, Christian Maare, Jørgen Johansen, Maria Andersen, Mohammad Farhadi, Jens Overgaard","doi":"10.2340/1651-226X.2025.44027","DOIUrl":null,"url":null,"abstract":"<p><p>p16-expression are implemented in the TNM8 classification of oropharyngeal cancer (OPSCC). Based on a nationwide cohort, we provide a detailed description of subsite variation in the age-standardised incidence-rates of OPSCC alongside an evaluation of the prognostic impact of p16-expression according to subsite after primary radiotherapy (RT). Patient/material and methods: A total of 8,462 Danish OPSCC patients from 1986 to 2020 were identified in the DAHANCA-database, and tumours were grouped into 'tonsil/base of tongue (BOT)', 'neighbouring subsites' and 'distant subsites'. Subsite-specific age-standardised incidence-rates were calculated, and outcome-analysis (loco-regional control, disease-free survival and overall-survival 5 years after the completion of RT) stratified by p16-status/subsite and restricted to curatively treated patients only (N = 3,387) was performed. Results: A 5-fold increase in the age-standardised incidence of OPSCC was observed and could be ascribed to the rise in p16-positive tumours of tonsil/BOT and neighbouring subsites only as neither the incidence rates nor the proportion of p16-positivity in distant subsites tumours changed over time. The prognostic impact of p16-status for all endpoints differed significantly across tumour subsites with the strongest association found in tonsil/BOT tumours, a diminishing but still significant impact in neighbouring subsite tumours and no significant impact in tumours arising in distant subsites. Interpretation: Our findings suggest that grouping all p16-positive OPSCC as one entity for staging and prognostication, as currently done in TNM8, is too simple as it does not accurately depict the differences in tumour biology and the consequent treatment response.</p>","PeriodicalId":7110,"journal":{"name":"Acta Oncologica","volume":"64 ","pages":"1071-1078"},"PeriodicalIF":2.7000,"publicationDate":"2025-08-14","publicationTypes":"Journal Article","fieldsOfStudy":null,"isOpenAccess":false,"openAccessPdf":"https://www.ncbi.nlm.nih.gov/pmc/articles/PMC12371743/pdf/","citationCount":"0","resultStr":"{\"title\":\"Subsite variation of HPV-related p16-expression in oropharynx cancer: Incidence and prognostic impact in a population-based DAHANCA cohort 1986-2020.\",\"authors\":\"Pernille Lassen, Jan Alsner, Hanne Primdahl, Christina Caroline Plaschke, Christian Maare, Jørgen Johansen, Maria Andersen, Mohammad Farhadi, Jens Overgaard\",\"doi\":\"10.2340/1651-226X.2025.44027\",\"DOIUrl\":null,\"url\":null,\"abstract\":\"<p><p>p16-expression are implemented in the TNM8 classification of oropharyngeal cancer (OPSCC). Based on a nationwide cohort, we provide a detailed description of subsite variation in the age-standardised incidence-rates of OPSCC alongside an evaluation of the prognostic impact of p16-expression according to subsite after primary radiotherapy (RT). Patient/material and methods: A total of 8,462 Danish OPSCC patients from 1986 to 2020 were identified in the DAHANCA-database, and tumours were grouped into 'tonsil/base of tongue (BOT)', 'neighbouring subsites' and 'distant subsites'. Subsite-specific age-standardised incidence-rates were calculated, and outcome-analysis (loco-regional control, disease-free survival and overall-survival 5 years after the completion of RT) stratified by p16-status/subsite and restricted to curatively treated patients only (N = 3,387) was performed. Results: A 5-fold increase in the age-standardised incidence of OPSCC was observed and could be ascribed to the rise in p16-positive tumours of tonsil/BOT and neighbouring subsites only as neither the incidence rates nor the proportion of p16-positivity in distant subsites tumours changed over time. The prognostic impact of p16-status for all endpoints differed significantly across tumour subsites with the strongest association found in tonsil/BOT tumours, a diminishing but still significant impact in neighbouring subsite tumours and no significant impact in tumours arising in distant subsites. Interpretation: Our findings suggest that grouping all p16-positive OPSCC as one entity for staging and prognostication, as currently done in TNM8, is too simple as it does not accurately depict the differences in tumour biology and the consequent treatment response.</p>\",\"PeriodicalId\":7110,\"journal\":{\"name\":\"Acta Oncologica\",\"volume\":\"64 \",\"pages\":\"1071-1078\"},\"PeriodicalIF\":2.7000,\"publicationDate\":\"2025-08-14\",\"publicationTypes\":\"Journal Article\",\"fieldsOfStudy\":null,\"isOpenAccess\":false,\"openAccessPdf\":\"https://www.ncbi.nlm.nih.gov/pmc/articles/PMC12371743/pdf/\",\"citationCount\":\"0\",\"resultStr\":null,\"platform\":\"Semanticscholar\",\"paperid\":null,\"PeriodicalName\":\"Acta Oncologica\",\"FirstCategoryId\":\"3\",\"ListUrlMain\":\"https://doi.org/10.2340/1651-226X.2025.44027\",\"RegionNum\":3,\"RegionCategory\":\"医学\",\"ArticlePicture\":[],\"TitleCN\":null,\"AbstractTextCN\":null,\"PMCID\":null,\"EPubDate\":\"\",\"PubModel\":\"\",\"JCR\":\"Q3\",\"JCRName\":\"ONCOLOGY\",\"Score\":null,\"Total\":0}","platform":"Semanticscholar","paperid":null,"PeriodicalName":"Acta Oncologica","FirstCategoryId":"3","ListUrlMain":"https://doi.org/10.2340/1651-226X.2025.44027","RegionNum":3,"RegionCategory":"医学","ArticlePicture":[],"TitleCN":null,"AbstractTextCN":null,"PMCID":null,"EPubDate":"","PubModel":"","JCR":"Q3","JCRName":"ONCOLOGY","Score":null,"Total":0}
引用次数: 0

摘要

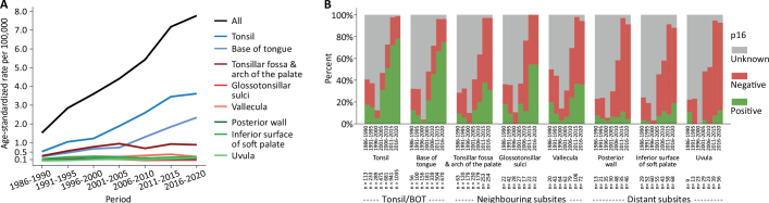
p16的表达在口咽癌(OPSCC)的TNM8分类中实现。基于一项全国性队列研究,我们详细描述了年龄标准化OPSCC发病率的子位点变化,并根据首次放疗(RT)后的子位点评估了p16表达对预后的影响。患者/材料和方法:从1986年到2020年,共有8462名丹麦OPSCC患者在dahanca数据库中被确定,肿瘤被分为“扁桃体/舌基(BOT)”、“邻近亚位点”和“远端亚位点”。计算亚位点特异性年龄标准化发病率,并进行结果分析(局部-区域对照、无病生存期和RT完成后5年总生存期),按p16状态/亚位点分层,仅限于治愈治疗的患者(N = 3,387)。结果:观察到年龄标准化的OPSCC发病率增加了5倍,这可能归因于扁桃体/BOT和邻近亚位点p16阳性肿瘤的增加,因为远处亚位点肿瘤的发病率和p16阳性比例都没有随着时间的推移而改变。p16状态对所有终点的预后影响在肿瘤亚位点之间存在显著差异,在扁桃体/BOT肿瘤中发现了最强的相关性,对邻近亚位点肿瘤的影响逐渐减弱,但仍然显著,对远处亚位点产生的肿瘤没有显著影响。解释:我们的研究结果表明,将所有p16阳性的OPSCC分组为一个实体进行分期和预后,就像目前在TNM8中所做的那样,太简单了,因为它不能准确地描述肿瘤生物学的差异和随后的治疗反应。
本文章由计算机程序翻译,如有差异,请以英文原文为准。

Subsite variation of HPV-related p16-expression in oropharynx cancer: Incidence and prognostic impact in a population-based DAHANCA cohort 1986-2020.

Subsite variation of HPV-related p16-expression in oropharynx cancer: Incidence and prognostic impact in a population-based DAHANCA cohort 1986-2020.

Subsite variation of HPV-related p16-expression in oropharynx cancer: Incidence and prognostic impact in a population-based DAHANCA cohort 1986-2020.

Subsite variation of HPV-related p16-expression in oropharynx cancer: Incidence and prognostic impact in a population-based DAHANCA cohort 1986-2020.

p16-expression are implemented in the TNM8 classification of oropharyngeal cancer (OPSCC). Based on a nationwide cohort, we provide a detailed description of subsite variation in the age-standardised incidence-rates of OPSCC alongside an evaluation of the prognostic impact of p16-expression according to subsite after primary radiotherapy (RT). Patient/material and methods: A total of 8,462 Danish OPSCC patients from 1986 to 2020 were identified in the DAHANCA-database, and tumours were grouped into 'tonsil/base of tongue (BOT)', 'neighbouring subsites' and 'distant subsites'. Subsite-specific age-standardised incidence-rates were calculated, and outcome-analysis (loco-regional control, disease-free survival and overall-survival 5 years after the completion of RT) stratified by p16-status/subsite and restricted to curatively treated patients only (N = 3,387) was performed. Results: A 5-fold increase in the age-standardised incidence of OPSCC was observed and could be ascribed to the rise in p16-positive tumours of tonsil/BOT and neighbouring subsites only as neither the incidence rates nor the proportion of p16-positivity in distant subsites tumours changed over time. The prognostic impact of p16-status for all endpoints differed significantly across tumour subsites with the strongest association found in tonsil/BOT tumours, a diminishing but still significant impact in neighbouring subsite tumours and no significant impact in tumours arising in distant subsites. Interpretation: Our findings suggest that grouping all p16-positive OPSCC as one entity for staging and prognostication, as currently done in TNM8, is too simple as it does not accurately depict the differences in tumour biology and the consequent treatment response.

求助全文
通过发布文献求助,成功后即可免费获取论文全文。 去求助
来源期刊
Acta Oncologica
Acta Oncologica 医学-肿瘤学
CiteScore
4.30
自引率
3.20%
发文量
301
审稿时长
3 months
期刊介绍: Acta Oncologica is a journal for the clinical oncologist and accepts articles within all fields of clinical cancer research. Articles on tumour pathology, experimental oncology, radiobiology, cancer epidemiology and medical radio physics are also welcome, especially if they have a clinical aim or interest. Scientific articles on cancer nursing and psychological or social aspects of cancer are also welcomed. Extensive material may be published as Supplements, for which special conditions apply.
×
引用
GB/T 7714-2015
复制
MLA
复制
APA
复制
导出至
BibTeX EndNote RefMan NoteFirst NoteExpress
×
提示
您的信息不完整,为了账户安全,请先补充。
现在去补充
×
提示
您因"违规操作"
具体请查看互助需知
我知道了
×
提示
确定
请完成安全验证×
copy
已复制链接
快去分享给好友吧!
我知道了
右上角分享
点击右上角分享
0
联系我们:info@booksci.cn Book学术提供免费学术资源搜索服务,方便国内外学者检索中英文文献。致力于提供最便捷和优质的服务体验。 Copyright © 2023 布克学术 All rights reserved.
京ICP备2023020795号-1
ghs 京公网安备 11010802042870号
Book学术文献互助
Book学术文献互助群
群 号:604180095
Book学术官方微信