美国和西欧扩张型心肌病的患病率和发病率:一项系统综述。

IF 1.4 Q3 CARDIAC & CARDIOVASCULAR SYSTEMS
Cardiology Research Pub Date : 2025-07-08 eCollection Date: 2025-08-01 DOI:10.14740/cr2071
Michael C Myers, Amanda Berge, Yue Zhong, Sonomi Maruyama, Cindy Bueno, Arnaud Bastien, Kimberly Hofer, Ramandeep Kaur, Mir Sohail Fazeli, Negar Golchin
{"title":"美国和西欧扩张型心肌病的患病率和发病率:一项系统综述。","authors":"Michael C Myers, Amanda Berge, Yue Zhong, Sonomi Maruyama, Cindy Bueno, Arnaud Bastien, Kimberly Hofer, Ramandeep Kaur, Mir Sohail Fazeli, Negar Golchin","doi":"10.14740/cr2071","DOIUrl":null,"url":null,"abstract":"<p><strong>Background: </strong>Dilated cardiomyopathy (DCM) is a major contributing factor for heart failure and cardiac transplantation worldwide. Estimating the prevalence and incidence of DCM is critical for understanding the burden of illness in these patients and improving the landscape of preventative treatments. Previous reviews have shown substantial prevalence and incidence estimates for DCM within key regions such as the United States and several European countries. This review aimed to describe the published evidence on the prevalence and incidence of DCM within the United States, France, Germany, Italy, Spain, and the United Kingdom.</p><p><strong>Methods: </strong>MEDLINE<sup>®</sup> and Embase were searched from database inception to May 9, 2023 for English-language studies reporting the prevalence or incidence of DCM within general populations of adults or children in countries of interest. Manual searches of relevant conferences and bibliographies of previous literature reviews were also conducted.</p><p><strong>Results: </strong>Of 6,145 identified articles, 10 unique studies were included in the review. Six studies reported prevalence, and five studies reported incidence of DCM in various populations. Prevalence estimates of DCM, including idiopathic and non-idiopathic causes, within adults (≥ 18 years) and/or heterogeneous (all ages) populations ranged from 42.8 to 118.3 per 100,000 persons; idiopathic DCM estimates ranged from 8.3 to 59.2 per 100,000 persons. Prevalence of adolescent (about 11 - 18 years) DCM, including idiopathic and non-idiopathic causes, ranged from 2.6 to 212.8 per 100,000 persons. Annual incidence rates of idiopathic DCM in adult/heterogeneous populations ranged from 6.0 to 7.0 per 100,000 persons. Annual incidence of DCM due to idiopathic/non-idiopathic causes among pediatric populations was reported as 0.6 per 100,000 persons. Reported prevalence and incidence rates by sex showed male preponderance, and estimates were higher in Black persons compared with White and Hispanic persons; higher DCM prevalence estimates were observed in studies utilizing newer DCM definitions using ICD coding compared with older definitions.</p><p><strong>Conclusion: </strong>This study highlights the varied prevalence and incidence rates of DCM reported across different geographic locations, time periods, sexes, races, and disease definitions. When comparing these rates, it is crucial to consider factors such as data sources, case definitions, case-finding methodologies, and study populations.</p>","PeriodicalId":9424,"journal":{"name":"Cardiology Research","volume":"16 4","pages":"295-305"},"PeriodicalIF":1.4000,"publicationDate":"2025-07-08","publicationTypes":"Journal Article","fieldsOfStudy":null,"isOpenAccess":false,"openAccessPdf":"https://www.ncbi.nlm.nih.gov/pmc/articles/PMC12339252/pdf/","citationCount":"0","resultStr":"{\"title\":\"Prevalence and Incidence of Dilated Cardiomyopathy in the United States and Western Europe: A Systematic Review.\",\"authors\":\"Michael C Myers, Amanda Berge, Yue Zhong, Sonomi Maruyama, Cindy Bueno, Arnaud Bastien, Kimberly Hofer, Ramandeep Kaur, Mir Sohail Fazeli, Negar Golchin\",\"doi\":\"10.14740/cr2071\",\"DOIUrl\":null,\"url\":null,\"abstract\":\"<p><strong>Background: </strong>Dilated cardiomyopathy (DCM) is a major contributing factor for heart failure and cardiac transplantation worldwide. Estimating the prevalence and incidence of DCM is critical for understanding the burden of illness in these patients and improving the landscape of preventative treatments. Previous reviews have shown substantial prevalence and incidence estimates for DCM within key regions such as the United States and several European countries. This review aimed to describe the published evidence on the prevalence and incidence of DCM within the United States, France, Germany, Italy, Spain, and the United Kingdom.</p><p><strong>Methods: </strong>MEDLINE<sup>®</sup> and Embase were searched from database inception to May 9, 2023 for English-language studies reporting the prevalence or incidence of DCM within general populations of adults or children in countries of interest. Manual searches of relevant conferences and bibliographies of previous literature reviews were also conducted.</p><p><strong>Results: </strong>Of 6,145 identified articles, 10 unique studies were included in the review. Six studies reported prevalence, and five studies reported incidence of DCM in various populations. Prevalence estimates of DCM, including idiopathic and non-idiopathic causes, within adults (≥ 18 years) and/or heterogeneous (all ages) populations ranged from 42.8 to 118.3 per 100,000 persons; idiopathic DCM estimates ranged from 8.3 to 59.2 per 100,000 persons. Prevalence of adolescent (about 11 - 18 years) DCM, including idiopathic and non-idiopathic causes, ranged from 2.6 to 212.8 per 100,000 persons. Annual incidence rates of idiopathic DCM in adult/heterogeneous populations ranged from 6.0 to 7.0 per 100,000 persons. Annual incidence of DCM due to idiopathic/non-idiopathic causes among pediatric populations was reported as 0.6 per 100,000 persons. Reported prevalence and incidence rates by sex showed male preponderance, and estimates were higher in Black persons compared with White and Hispanic persons; higher DCM prevalence estimates were observed in studies utilizing newer DCM definitions using ICD coding compared with older definitions.</p><p><strong>Conclusion: </strong>This study highlights the varied prevalence and incidence rates of DCM reported across different geographic locations, time periods, sexes, races, and disease definitions. When comparing these rates, it is crucial to consider factors such as data sources, case definitions, case-finding methodologies, and study populations.</p>\",\"PeriodicalId\":9424,\"journal\":{\"name\":\"Cardiology Research\",\"volume\":\"16 4\",\"pages\":\"295-305\"},\"PeriodicalIF\":1.4000,\"publicationDate\":\"2025-07-08\",\"publicationTypes\":\"Journal Article\",\"fieldsOfStudy\":null,\"isOpenAccess\":false,\"openAccessPdf\":\"https://www.ncbi.nlm.nih.gov/pmc/articles/PMC12339252/pdf/\",\"citationCount\":\"0\",\"resultStr\":null,\"platform\":\"Semanticscholar\",\"paperid\":null,\"PeriodicalName\":\"Cardiology Research\",\"FirstCategoryId\":\"1085\",\"ListUrlMain\":\"https://doi.org/10.14740/cr2071\",\"RegionNum\":0,\"RegionCategory\":null,\"ArticlePicture\":[],\"TitleCN\":null,\"AbstractTextCN\":null,\"PMCID\":null,\"EPubDate\":\"2025/8/1 0:00:00\",\"PubModel\":\"eCollection\",\"JCR\":\"Q3\",\"JCRName\":\"CARDIAC & CARDIOVASCULAR SYSTEMS\",\"Score\":null,\"Total\":0}","platform":"Semanticscholar","paperid":null,"PeriodicalName":"Cardiology Research","FirstCategoryId":"1085","ListUrlMain":"https://doi.org/10.14740/cr2071","RegionNum":0,"RegionCategory":null,"ArticlePicture":[],"TitleCN":null,"AbstractTextCN":null,"PMCID":null,"EPubDate":"2025/8/1 0:00:00","PubModel":"eCollection","JCR":"Q3","JCRName":"CARDIAC & CARDIOVASCULAR SYSTEMS","Score":null,"Total":0}
引用次数: 0

摘要

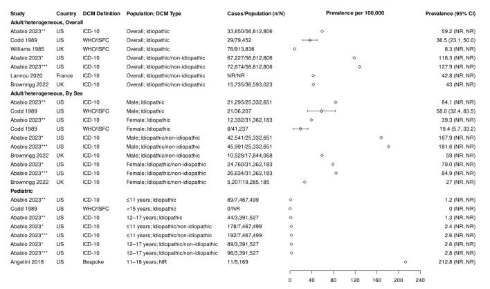
背景:扩张型心肌病(DCM)是全球范围内导致心力衰竭和心脏移植的主要因素。估计DCM的患病率和发病率对于了解这些患者的疾病负担和改善预防性治疗的前景至关重要。以前的审查表明,在美国和几个欧洲国家等关键地区,DCM的流行率和发病率估计很高。本综述旨在描述美国、法国、德国、意大利、西班牙和英国关于DCM患病率和发病率的已发表证据。方法:检索MEDLINE®和Embase从数据库建立到2023年5月9日的英语研究,报告DCM在感兴趣国家的一般成人或儿童人群中的患病率或发病率。人工检索相关会议和文献综述的参考书目。结果:在6145篇确定的文章中,有10篇独特的研究被纳入综述。6项研究报告了DCM的患病率,5项研究报告了DCM在不同人群中的发病率。在成人(≥18岁)和/或异质性(所有年龄)人群中,包括特发性和非特发性原因的DCM患病率估计范围为每10万人42.8至118.3人;特发性DCM估计为每10万人8.3至59.2人。青少年(约11 - 18岁)DCM的患病率,包括特发性和非特发性原因,从每10万人2.6到212.8不等。成人/异种人群中特发性DCM的年发病率为每10万人6.0 - 7.0例。据报道,在儿科人群中,由于特发性/非特发性原因导致的DCM年发病率为每10万人0.6例。报告的患病率和发病率按性别划分显示男性占优势,黑人的估计值高于白人和西班牙裔;在使用ICD编码的新DCM定义的研究中,与旧定义相比,观察到更高的DCM患病率估计。结论:本研究强调了不同地理位置、时间段、性别、种族和疾病定义的DCM患病率和发病率的差异。在比较这些比率时,必须考虑数据来源、病例定义、病例发现方法和研究人群等因素。
本文章由计算机程序翻译,如有差异,请以英文原文为准。

Prevalence and Incidence of Dilated Cardiomyopathy in the United States and Western Europe: A Systematic Review.

Prevalence and Incidence of Dilated Cardiomyopathy in the United States and Western Europe: A Systematic Review.

Prevalence and Incidence of Dilated Cardiomyopathy in the United States and Western Europe: A Systematic Review.

Prevalence and Incidence of Dilated Cardiomyopathy in the United States and Western Europe: A Systematic Review.

Background: Dilated cardiomyopathy (DCM) is a major contributing factor for heart failure and cardiac transplantation worldwide. Estimating the prevalence and incidence of DCM is critical for understanding the burden of illness in these patients and improving the landscape of preventative treatments. Previous reviews have shown substantial prevalence and incidence estimates for DCM within key regions such as the United States and several European countries. This review aimed to describe the published evidence on the prevalence and incidence of DCM within the United States, France, Germany, Italy, Spain, and the United Kingdom.

Methods: MEDLINE® and Embase were searched from database inception to May 9, 2023 for English-language studies reporting the prevalence or incidence of DCM within general populations of adults or children in countries of interest. Manual searches of relevant conferences and bibliographies of previous literature reviews were also conducted.

Results: Of 6,145 identified articles, 10 unique studies were included in the review. Six studies reported prevalence, and five studies reported incidence of DCM in various populations. Prevalence estimates of DCM, including idiopathic and non-idiopathic causes, within adults (≥ 18 years) and/or heterogeneous (all ages) populations ranged from 42.8 to 118.3 per 100,000 persons; idiopathic DCM estimates ranged from 8.3 to 59.2 per 100,000 persons. Prevalence of adolescent (about 11 - 18 years) DCM, including idiopathic and non-idiopathic causes, ranged from 2.6 to 212.8 per 100,000 persons. Annual incidence rates of idiopathic DCM in adult/heterogeneous populations ranged from 6.0 to 7.0 per 100,000 persons. Annual incidence of DCM due to idiopathic/non-idiopathic causes among pediatric populations was reported as 0.6 per 100,000 persons. Reported prevalence and incidence rates by sex showed male preponderance, and estimates were higher in Black persons compared with White and Hispanic persons; higher DCM prevalence estimates were observed in studies utilizing newer DCM definitions using ICD coding compared with older definitions.

Conclusion: This study highlights the varied prevalence and incidence rates of DCM reported across different geographic locations, time periods, sexes, races, and disease definitions. When comparing these rates, it is crucial to consider factors such as data sources, case definitions, case-finding methodologies, and study populations.

求助全文
通过发布文献求助,成功后即可免费获取论文全文。 去求助
来源期刊
Cardiology Research
Cardiology Research CARDIAC & CARDIOVASCULAR SYSTEMS-
CiteScore
2.50
自引率
0.00%
发文量
42
期刊介绍: Cardiology Research is an open access, peer-reviewed, international journal. All submissions relating to basic research and clinical practice of cardiology and cardiovascular medicine are in this journal''s scope. This journal focuses on publishing original research and observations in all cardiovascular medicine aspects. Manuscript types include original article, review, case report, short communication, book review, letter to the editor.
×
引用
GB/T 7714-2015
复制
MLA
复制
APA
复制
导出至
BibTeX EndNote RefMan NoteFirst NoteExpress
×
提示
您的信息不完整,为了账户安全,请先补充。
现在去补充
×
提示
您因"违规操作"
具体请查看互助需知
我知道了
×
提示
确定
请完成安全验证×
copy
已复制链接
快去分享给好友吧!
我知道了
右上角分享
点击右上角分享
0
联系我们:info@booksci.cn Book学术提供免费学术资源搜索服务,方便国内外学者检索中英文文献。致力于提供最便捷和优质的服务体验。 Copyright © 2023 布克学术 All rights reserved.
京ICP备2023020795号-1
ghs 京公网安备 11010802042870号
Book学术文献互助
Book学术文献互助群
群 号:604180095
Book学术官方微信