不同剂量乌洛他仑治疗精神分裂症的疗效和安全性轨迹:一项系统评价和剂量-反应荟萃分析。

IF 3.7 2区 医学 Q1 CLINICAL NEUROLOGY
Yu-Chia Hsu, Tzu-Yen Hung, Yang-Chieh Brian Chen, Kuo-Chuan Hung, Chih-Sung Liang, Ping-Tao Tseng, Yu-Kang Tu, Christoph U Correll, Chih-Wei Hsu, Marco Solmi
{"title":"不同剂量乌洛他仑治疗精神分裂症的疗效和安全性轨迹:一项系统评价和剂量-反应荟萃分析。","authors":"Yu-Chia Hsu, Tzu-Yen Hung, Yang-Chieh Brian Chen, Kuo-Chuan Hung, Chih-Sung Liang, Ping-Tao Tseng, Yu-Kang Tu, Christoph U Correll, Chih-Wei Hsu, Marco Solmi","doi":"10.1093/ijnp/pyaf059","DOIUrl":null,"url":null,"abstract":"<p><strong>Background: </strong>Ulotaront is an experimental antipsychotic for schizophrenia, but its optimal dose is unclear. This study aimed to evaluate dose-response relationships for efficacy and safety in people with schizophrenia.</p><p><strong>Methods: </strong>A systematic review of four databases (until January 22, 2025; INPLASY202510091) identified randomized clinical trials assessing ulotaront. Outcomes included efficacy, measured by changes in the Positive and Negative Syndrome Scale (PANSS) total score (primary outcome), positive and negative subdomains, and the Clinical Global Impression Scale-Severity, and safety, assessed by all-cause dropout (co-primary outcome, dropout due to adverse event, serious, non-serious, and specific adverse events). We employed one-stage dose-response meta-analysis (random-effects model) calculating standardized mean differences (SMDs) and risk ratios (RRs) with 95% confidence intervals (CIs).</p><p><strong>Results: </strong>Analysis of three randomized clinical trials (n = 1144) indicated that the 100 mg dose of ulotaront provided the greatest improvement in PANSS total score (standardized mean difference = -0.23 [95% CI: -0.43, -0.02]), PANSS positive symptom score (-0.30 [-0.70, 0.10]), and PANSS negative symptom score (-0.28 [-0.48, -0.08]). However, Clinical Global Impression Scale-Severity scores did not exhibit a clear dose-response relationship. Regarding safety, all-cause dropout (RR at 100 mg = 1.10 [95% CI: 0.57, 2.12]), adverse event-related dropout, serious, non-serious, and most specific adverse events showed no significant dose-response relationship. The risk of anxiety-related adverse events was significantly higher than placebo at 50 and 75 mg doses (RR at 75 mg = 2.06 [95% CI: 1.11, 3.80]).</p><p><strong>Conclusion: </strong>Ulotaront 100 mg appears greatest efficacy with favorable safety for acute schizophrenia. However, effect sizes were small, and higher ulotaront doses should be tested. Significance Statement Ulotaront is a new medication being tested for treating schizophrenia. Unlike most existing antipsychotic drugs that block dopamine receptors in the brain, ulotaront works through a different mechanism by activating trace amine-associated receptor 1 and serotonin 1A receptors. These novel targets may help reduce both hallucinations and negative symptoms like social withdrawal and lack of motivation, with fewer side effects. In this study, we analyzed data from several clinical trials to understand how different doses of ulotaront affect patients. We found that higher doses-especially around 100 mg-can improve schizophrenia symptoms without increasing safety concerns. These findings are important because they suggest that ulotaront may offer a new and safer treatment option for people with schizophrenia, and they help guide doctors toward the most effective dose.</p>","PeriodicalId":14134,"journal":{"name":"International Journal of Neuropsychopharmacology","volume":" ","pages":""},"PeriodicalIF":3.7000,"publicationDate":"2025-09-01","publicationTypes":"Journal Article","fieldsOfStudy":null,"isOpenAccess":false,"openAccessPdf":"https://www.ncbi.nlm.nih.gov/pmc/articles/PMC12421877/pdf/","citationCount":"0","resultStr":"{\"title\":\"Trajectory of efficacy and safety across ulotaront dose levels in schizophrenia: a systematic review and dose-response meta-analysis.\",\"authors\":\"Yu-Chia Hsu, Tzu-Yen Hung, Yang-Chieh Brian Chen, Kuo-Chuan Hung, Chih-Sung Liang, Ping-Tao Tseng, Yu-Kang Tu, Christoph U Correll, Chih-Wei Hsu, Marco Solmi\",\"doi\":\"10.1093/ijnp/pyaf059\",\"DOIUrl\":null,\"url\":null,\"abstract\":\"<p><strong>Background: </strong>Ulotaront is an experimental antipsychotic for schizophrenia, but its optimal dose is unclear. This study aimed to evaluate dose-response relationships for efficacy and safety in people with schizophrenia.</p><p><strong>Methods: </strong>A systematic review of four databases (until January 22, 2025; INPLASY202510091) identified randomized clinical trials assessing ulotaront. Outcomes included efficacy, measured by changes in the Positive and Negative Syndrome Scale (PANSS) total score (primary outcome), positive and negative subdomains, and the Clinical Global Impression Scale-Severity, and safety, assessed by all-cause dropout (co-primary outcome, dropout due to adverse event, serious, non-serious, and specific adverse events). We employed one-stage dose-response meta-analysis (random-effects model) calculating standardized mean differences (SMDs) and risk ratios (RRs) with 95% confidence intervals (CIs).</p><p><strong>Results: </strong>Analysis of three randomized clinical trials (n = 1144) indicated that the 100 mg dose of ulotaront provided the greatest improvement in PANSS total score (standardized mean difference = -0.23 [95% CI: -0.43, -0.02]), PANSS positive symptom score (-0.30 [-0.70, 0.10]), and PANSS negative symptom score (-0.28 [-0.48, -0.08]). However, Clinical Global Impression Scale-Severity scores did not exhibit a clear dose-response relationship. Regarding safety, all-cause dropout (RR at 100 mg = 1.10 [95% CI: 0.57, 2.12]), adverse event-related dropout, serious, non-serious, and most specific adverse events showed no significant dose-response relationship. The risk of anxiety-related adverse events was significantly higher than placebo at 50 and 75 mg doses (RR at 75 mg = 2.06 [95% CI: 1.11, 3.80]).</p><p><strong>Conclusion: </strong>Ulotaront 100 mg appears greatest efficacy with favorable safety for acute schizophrenia. However, effect sizes were small, and higher ulotaront doses should be tested. Significance Statement Ulotaront is a new medication being tested for treating schizophrenia. Unlike most existing antipsychotic drugs that block dopamine receptors in the brain, ulotaront works through a different mechanism by activating trace amine-associated receptor 1 and serotonin 1A receptors. These novel targets may help reduce both hallucinations and negative symptoms like social withdrawal and lack of motivation, with fewer side effects. In this study, we analyzed data from several clinical trials to understand how different doses of ulotaront affect patients. We found that higher doses-especially around 100 mg-can improve schizophrenia symptoms without increasing safety concerns. These findings are important because they suggest that ulotaront may offer a new and safer treatment option for people with schizophrenia, and they help guide doctors toward the most effective dose.</p>\",\"PeriodicalId\":14134,\"journal\":{\"name\":\"International Journal of Neuropsychopharmacology\",\"volume\":\" \",\"pages\":\"\"},\"PeriodicalIF\":3.7000,\"publicationDate\":\"2025-09-01\",\"publicationTypes\":\"Journal Article\",\"fieldsOfStudy\":null,\"isOpenAccess\":false,\"openAccessPdf\":\"https://www.ncbi.nlm.nih.gov/pmc/articles/PMC12421877/pdf/\",\"citationCount\":\"0\",\"resultStr\":null,\"platform\":\"Semanticscholar\",\"paperid\":null,\"PeriodicalName\":\"International Journal of Neuropsychopharmacology\",\"FirstCategoryId\":\"3\",\"ListUrlMain\":\"https://doi.org/10.1093/ijnp/pyaf059\",\"RegionNum\":2,\"RegionCategory\":\"医学\",\"ArticlePicture\":[],\"TitleCN\":null,\"AbstractTextCN\":null,\"PMCID\":null,\"EPubDate\":\"\",\"PubModel\":\"\",\"JCR\":\"Q1\",\"JCRName\":\"CLINICAL NEUROLOGY\",\"Score\":null,\"Total\":0}","platform":"Semanticscholar","paperid":null,"PeriodicalName":"International Journal of Neuropsychopharmacology","FirstCategoryId":"3","ListUrlMain":"https://doi.org/10.1093/ijnp/pyaf059","RegionNum":2,"RegionCategory":"医学","ArticlePicture":[],"TitleCN":null,"AbstractTextCN":null,"PMCID":null,"EPubDate":"","PubModel":"","JCR":"Q1","JCRName":"CLINICAL NEUROLOGY","Score":null,"Total":0}
引用次数: 0

摘要

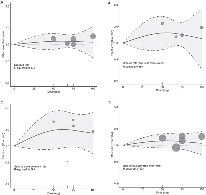
背景:Ulotaront是一种用于精神分裂症的实验性抗精神病药物,但其最佳剂量尚不清楚。本研究旨在评估精神分裂症患者的疗效和安全性的剂量-反应关系。方法:对4个数据库进行系统综述(截止2025年1月22日;INPLASY202510091)确定了评估尿道前列的随机临床试验。结果包括疗效,通过阳性和阴性症状量表(PANSS)总分(主要结果)、阳性和阴性子域以及临床总体印象量表-严重程度(CGI-S)的变化来衡量,以及安全性,通过全因退学(共同主要结果、不良事件导致的退学、严重、非严重和特定不良事件)来评估。我们采用一期剂量-反应荟萃分析(随机效应模型)计算标准化平均差异(SMDs)和95%置信区间(ci)的风险比(rr)。结果:3项随机临床试验(n= 1144)分析显示,100 mg剂量的乌洛他伦对PANSS总分(SMD = -0.23 [95% CI: -0.43, -0.02])、PANSS阳性症状评分(-0.30[-0.70,0.10])和PANSS阴性症状评分(-0.28[-0.48,-0.08])的改善效果最大。然而,CGI-S评分没有表现出明确的剂量-反应关系。在安全性方面,全因退出(100mg时RR =1.10 [95% CI: 0.57, 2.12])、不良事件相关退出、严重、非严重和大多数特异性不良事件均无显著的剂量-反应关系。50mg和75mg剂量组出现焦虑相关不良事件的风险显著高于安慰剂组(75mg剂量组RR =2.06 [95% CI: 1.11, 3.80])。结论:乌洛他仑100 mg治疗急性精神分裂症疗效最好,安全性较好。然而,效应量很小,应该测试更高剂量的ulotaront。
本文章由计算机程序翻译,如有差异,请以英文原文为准。

Trajectory of efficacy and safety across ulotaront dose levels in schizophrenia: a systematic review and dose-response meta-analysis.

Trajectory of efficacy and safety across ulotaront dose levels in schizophrenia: a systematic review and dose-response meta-analysis.

Trajectory of efficacy and safety across ulotaront dose levels in schizophrenia: a systematic review and dose-response meta-analysis.

Background: Ulotaront is an experimental antipsychotic for schizophrenia, but its optimal dose is unclear. This study aimed to evaluate dose-response relationships for efficacy and safety in people with schizophrenia.

Methods: A systematic review of four databases (until January 22, 2025; INPLASY202510091) identified randomized clinical trials assessing ulotaront. Outcomes included efficacy, measured by changes in the Positive and Negative Syndrome Scale (PANSS) total score (primary outcome), positive and negative subdomains, and the Clinical Global Impression Scale-Severity, and safety, assessed by all-cause dropout (co-primary outcome, dropout due to adverse event, serious, non-serious, and specific adverse events). We employed one-stage dose-response meta-analysis (random-effects model) calculating standardized mean differences (SMDs) and risk ratios (RRs) with 95% confidence intervals (CIs).

Results: Analysis of three randomized clinical trials (n = 1144) indicated that the 100 mg dose of ulotaront provided the greatest improvement in PANSS total score (standardized mean difference = -0.23 [95% CI: -0.43, -0.02]), PANSS positive symptom score (-0.30 [-0.70, 0.10]), and PANSS negative symptom score (-0.28 [-0.48, -0.08]). However, Clinical Global Impression Scale-Severity scores did not exhibit a clear dose-response relationship. Regarding safety, all-cause dropout (RR at 100 mg = 1.10 [95% CI: 0.57, 2.12]), adverse event-related dropout, serious, non-serious, and most specific adverse events showed no significant dose-response relationship. The risk of anxiety-related adverse events was significantly higher than placebo at 50 and 75 mg doses (RR at 75 mg = 2.06 [95% CI: 1.11, 3.80]).

Conclusion: Ulotaront 100 mg appears greatest efficacy with favorable safety for acute schizophrenia. However, effect sizes were small, and higher ulotaront doses should be tested. Significance Statement Ulotaront is a new medication being tested for treating schizophrenia. Unlike most existing antipsychotic drugs that block dopamine receptors in the brain, ulotaront works through a different mechanism by activating trace amine-associated receptor 1 and serotonin 1A receptors. These novel targets may help reduce both hallucinations and negative symptoms like social withdrawal and lack of motivation, with fewer side effects. In this study, we analyzed data from several clinical trials to understand how different doses of ulotaront affect patients. We found that higher doses-especially around 100 mg-can improve schizophrenia symptoms without increasing safety concerns. These findings are important because they suggest that ulotaront may offer a new and safer treatment option for people with schizophrenia, and they help guide doctors toward the most effective dose.

求助全文
通过发布文献求助,成功后即可免费获取论文全文。 去求助
来源期刊
CiteScore
8.40
自引率
2.10%
发文量
230
审稿时长
4-8 weeks
期刊介绍: The central focus of the journal is on research that advances understanding of existing and new neuropsychopharmacological agents including their mode of action and clinical application or provides insights into the biological basis of psychiatric disorders and thereby advances their pharmacological treatment. Such research may derive from the full spectrum of biological and psychological fields of inquiry encompassing classical and novel techniques in neuropsychopharmacology as well as strategies such as neuroimaging, genetics, psychoneuroendocrinology and neuropsychology.
×
引用
GB/T 7714-2015
复制
MLA
复制
APA
复制
导出至
BibTeX EndNote RefMan NoteFirst NoteExpress
×
提示
您的信息不完整,为了账户安全,请先补充。
现在去补充
×
提示
您因"违规操作"
具体请查看互助需知
我知道了
×
提示
确定
请完成安全验证×
copy
已复制链接
快去分享给好友吧!
我知道了
右上角分享
点击右上角分享
0
联系我们:info@booksci.cn Book学术提供免费学术资源搜索服务,方便国内外学者检索中英文文献。致力于提供最便捷和优质的服务体验。 Copyright © 2023 布克学术 All rights reserved.
京ICP备2023020795号-1
ghs 京公网安备 11010802042870号
Book学术文献互助
Book学术文献互助群
群 号:604180095
Book学术官方微信