临床医生处方不足和患者不遵守临床实践指南推荐的外周动脉疾病药物:系统回顾和荟萃分析。

IF 10 1区 医学 Q1 MEDICINE, GENERAL & INTERNAL
EClinicalMedicine Pub Date : 2025-07-31 eCollection Date: 2025-08-01 DOI:10.1016/j.eclinm.2025.103391
Aidan M Kirkham, Maude Paquet, Dean A Fergusson, Ian D Graham, Justin Presseau, Daniel I McIsaac, Sudhir K Nagpal, David de Launay, Sami Aftab Abdul, Risa Shorr, Jeremy M Grimshaw, Derek J Roberts
{"title":"临床医生处方不足和患者不遵守临床实践指南推荐的外周动脉疾病药物:系统回顾和荟萃分析。","authors":"Aidan M Kirkham, Maude Paquet, Dean A Fergusson, Ian D Graham, Justin Presseau, Daniel I McIsaac, Sudhir K Nagpal, David de Launay, Sami Aftab Abdul, Risa Shorr, Jeremy M Grimshaw, Derek J Roberts","doi":"10.1016/j.eclinm.2025.103391","DOIUrl":null,"url":null,"abstract":"<p><strong>Background: </strong>Guidelines recommend that adults with peripheral artery disease (PAD) take antiplatelets, statins, and antihypertensives. However, it is unclear how frequently clinicians do not prescribe these medications (ie, underprescription), how often patients fail to fill/refill their prescriptions (ie, nonadherence), which factors increase underprescription/nonadherence risk, and whether underprescription/nonadherence are associated with outcomes.</p><p><strong>Methods: </strong>We searched MEDLINE, EMBASE, CENTRAL, and Evidence-Based Medicine Reviews (January 1, 2006-to-February 18th, 2025) for studies reporting cumulative incidences/point prevalences of clinician underprescription and/or patient nonadherence to antiplatelets, statins, and/or antihypertensives; adjusted-risk factors for underprescription/nonadherence; and adjusted-outcomes associated with underprescription/nonadherence among adults with PAD. Two investigators independently screened citations, extracted data, and assessed risk of bias. Data were pooled using random-effects models. Estimate certainty was communicated using GRADE. The study was registered on PROSPERO (CRD42022362801).</p><p><strong>Findings: </strong>Among 4206 citations identified, 125 studies (n = 14,681,801 participants; 37% female) were included. The pooled cumulative incidence of antiplatelet, statin, and antihypertensive (among those with PAD and hypertension) underprescription was 28% (95% confidence interval [CI] = 21-36%; moderate-certainty), 34% (95% CI = 31-38%; high-certainty), and 43% (95% CI = 33-53%; moderate-certainty), respectively. The cumulative incidence of antiplatelet, statin, and antihypertensive nonadherence was 27% (95% CI = 20-35%; moderate-certainty), 28% (95% CI = 24-33%; high-certainty), and 23% (95% CI = 22-24%; low-certainty), respectively. Underprescription was more common in population-based studies and those enrolling more females and past/current smokers while nonadherence was more common in studies enrolling more patients with diabetes. Underprescription risk factors included female sex, advanced age, malignancy history, and chronic limb-threatening ischemia (all moderate-certainty). Nonadherence risk factors included advanced age, comorbidity burden, and receiving specialist mental health care (all moderate-certainty). Underprescription was associated with increased major adverse cardiac events, all-cause mortality, and decreased amputation-free time (all moderate-certainty).</p><p><strong>Interpretation: </strong>One-quarter-to-one-half of adults with PAD are not prescribed antiplatelets, statins, and antihypertensives. Further, approximately one-quarter of these patients do not adhere to these medications after prescription.</p><p><strong>Funding: </strong>This research was supported by a 2024 Vanier Canada Graduate Scholarship (awarded to AMK and supervised by DJR), a Graham Farquharson Physician Services Incorporated Knowledge Translation Fellowship (awarded to DJR), and a Research Program Award, University of OttawaDepartment of Surgery Annual Competition (awarded to DJR).</p>","PeriodicalId":11393,"journal":{"name":"EClinicalMedicine","volume":"86 ","pages":"103391"},"PeriodicalIF":10.0000,"publicationDate":"2025-07-31","publicationTypes":"Journal Article","fieldsOfStudy":null,"isOpenAccess":false,"openAccessPdf":"https://www.ncbi.nlm.nih.gov/pmc/articles/PMC12337023/pdf/","citationCount":"0","resultStr":"{\"title\":\"Clinician underprescription of and patient nonadherence to clinical practice guideline-recommended medications for peripheral artery disease: a systematic review and meta-analysis.\",\"authors\":\"Aidan M Kirkham, Maude Paquet, Dean A Fergusson, Ian D Graham, Justin Presseau, Daniel I McIsaac, Sudhir K Nagpal, David de Launay, Sami Aftab Abdul, Risa Shorr, Jeremy M Grimshaw, Derek J Roberts\",\"doi\":\"10.1016/j.eclinm.2025.103391\",\"DOIUrl\":null,\"url\":null,\"abstract\":\"<p><strong>Background: </strong>Guidelines recommend that adults with peripheral artery disease (PAD) take antiplatelets, statins, and antihypertensives. However, it is unclear how frequently clinicians do not prescribe these medications (ie, underprescription), how often patients fail to fill/refill their prescriptions (ie, nonadherence), which factors increase underprescription/nonadherence risk, and whether underprescription/nonadherence are associated with outcomes.</p><p><strong>Methods: </strong>We searched MEDLINE, EMBASE, CENTRAL, and Evidence-Based Medicine Reviews (January 1, 2006-to-February 18th, 2025) for studies reporting cumulative incidences/point prevalences of clinician underprescription and/or patient nonadherence to antiplatelets, statins, and/or antihypertensives; adjusted-risk factors for underprescription/nonadherence; and adjusted-outcomes associated with underprescription/nonadherence among adults with PAD. Two investigators independently screened citations, extracted data, and assessed risk of bias. Data were pooled using random-effects models. Estimate certainty was communicated using GRADE. The study was registered on PROSPERO (CRD42022362801).</p><p><strong>Findings: </strong>Among 4206 citations identified, 125 studies (n = 14,681,801 participants; 37% female) were included. The pooled cumulative incidence of antiplatelet, statin, and antihypertensive (among those with PAD and hypertension) underprescription was 28% (95% confidence interval [CI] = 21-36%; moderate-certainty), 34% (95% CI = 31-38%; high-certainty), and 43% (95% CI = 33-53%; moderate-certainty), respectively. The cumulative incidence of antiplatelet, statin, and antihypertensive nonadherence was 27% (95% CI = 20-35%; moderate-certainty), 28% (95% CI = 24-33%; high-certainty), and 23% (95% CI = 22-24%; low-certainty), respectively. Underprescription was more common in population-based studies and those enrolling more females and past/current smokers while nonadherence was more common in studies enrolling more patients with diabetes. Underprescription risk factors included female sex, advanced age, malignancy history, and chronic limb-threatening ischemia (all moderate-certainty). Nonadherence risk factors included advanced age, comorbidity burden, and receiving specialist mental health care (all moderate-certainty). Underprescription was associated with increased major adverse cardiac events, all-cause mortality, and decreased amputation-free time (all moderate-certainty).</p><p><strong>Interpretation: </strong>One-quarter-to-one-half of adults with PAD are not prescribed antiplatelets, statins, and antihypertensives. Further, approximately one-quarter of these patients do not adhere to these medications after prescription.</p><p><strong>Funding: </strong>This research was supported by a 2024 Vanier Canada Graduate Scholarship (awarded to AMK and supervised by DJR), a Graham Farquharson Physician Services Incorporated Knowledge Translation Fellowship (awarded to DJR), and a Research Program Award, University of OttawaDepartment of Surgery Annual Competition (awarded to DJR).</p>\",\"PeriodicalId\":11393,\"journal\":{\"name\":\"EClinicalMedicine\",\"volume\":\"86 \",\"pages\":\"103391\"},\"PeriodicalIF\":10.0000,\"publicationDate\":\"2025-07-31\",\"publicationTypes\":\"Journal Article\",\"fieldsOfStudy\":null,\"isOpenAccess\":false,\"openAccessPdf\":\"https://www.ncbi.nlm.nih.gov/pmc/articles/PMC12337023/pdf/\",\"citationCount\":\"0\",\"resultStr\":null,\"platform\":\"Semanticscholar\",\"paperid\":null,\"PeriodicalName\":\"EClinicalMedicine\",\"FirstCategoryId\":\"3\",\"ListUrlMain\":\"https://doi.org/10.1016/j.eclinm.2025.103391\",\"RegionNum\":1,\"RegionCategory\":\"医学\",\"ArticlePicture\":[],\"TitleCN\":null,\"AbstractTextCN\":null,\"PMCID\":null,\"EPubDate\":\"2025/8/1 0:00:00\",\"PubModel\":\"eCollection\",\"JCR\":\"Q1\",\"JCRName\":\"MEDICINE, GENERAL & INTERNAL\",\"Score\":null,\"Total\":0}","platform":"Semanticscholar","paperid":null,"PeriodicalName":"EClinicalMedicine","FirstCategoryId":"3","ListUrlMain":"https://doi.org/10.1016/j.eclinm.2025.103391","RegionNum":1,"RegionCategory":"医学","ArticlePicture":[],"TitleCN":null,"AbstractTextCN":null,"PMCID":null,"EPubDate":"2025/8/1 0:00:00","PubModel":"eCollection","JCR":"Q1","JCRName":"MEDICINE, GENERAL & INTERNAL","Score":null,"Total":0}
引用次数: 0

摘要

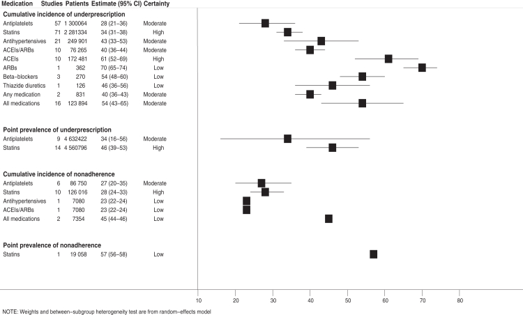
背景:指南推荐患有外周动脉疾病(PAD)的成年人服用抗血小板、他汀类药物和抗高血压药物。然而,目前尚不清楚临床医生不开这些药物的频率(即处方不足),患者不开处方的频率(即不依从),哪些因素增加了处方不足/不依从的风险,以及处方不足/不依从是否与结果有关。方法:我们检索MEDLINE、EMBASE、CENTRAL和循证医学综述(2006年1月1日至2025年2月18日),查找临床医生处方不足和/或患者不坚持使用抗血小板、他汀类药物和/或抗高血压药物的累积发生率/点患病率的研究;处方不足/不依从的调整风险因素;以及与成年PAD患者处方不足/不依从相关的调整结果。两名研究者独立筛选引文、提取数据并评估偏倚风险。使用随机效应模型汇总数据。估计确定性使用GRADE进行沟通。该研究已在PROSPERO注册(CRD42022362801)。结果:在4206篇引文中,125篇研究(n = 14,681,801名受试者;37%为女性)。抗血小板、他汀类药物和抗高血压药物(伴有PAD和高血压的患者)处方不足的累计累计发生率为28%(95%可信区间[CI] = 21-36%;中等确定性),34% (95% CI = 31-38%;高确定性),43% (95% CI = 33-53%;分别moderate-certainty)。抗血小板、他汀类药物和抗高血压药物不依从的累积发生率为27% (95% CI = 20-35%;中等确定性),28% (95% CI = 24-33%;高确定性)和23% (95% CI = 22-24%;确定性),分别。处方不足在以人群为基础的研究中更常见,那些纳入更多女性和过去/现在吸烟者的研究中更常见,而不依从性在纳入更多糖尿病患者的研究中更常见。处方不足的危险因素包括女性、高龄、恶性肿瘤史和慢性肢体威胁缺血(均为中等确定性)。不依从性风险因素包括高龄、合并症负担和接受专业精神卫生保健(均为中等确定性)。处方不足与主要心脏不良事件、全因死亡率增加和无截肢时间缩短(均为中等确定性)相关。解释:1 / 4到1 / 2的PAD患者没有服用抗血小板药物、他汀类药物和抗高血压药物。此外,大约四分之一的患者在处方后没有坚持服用这些药物。资助:本研究得到了2024年Vanier加拿大研究生奖学金(授予AMK并由DJR监督),Graham Farquharson医师服务公司知识翻译奖学金(授予DJR)和渥太华大学外科年度竞赛研究项目奖(授予DJR)的支持。
本文章由计算机程序翻译,如有差异,请以英文原文为准。

Clinician underprescription of and patient nonadherence to clinical practice guideline-recommended medications for peripheral artery disease: a systematic review and meta-analysis.

Clinician underprescription of and patient nonadherence to clinical practice guideline-recommended medications for peripheral artery disease: a systematic review and meta-analysis.

Clinician underprescription of and patient nonadherence to clinical practice guideline-recommended medications for peripheral artery disease: a systematic review and meta-analysis.

Clinician underprescription of and patient nonadherence to clinical practice guideline-recommended medications for peripheral artery disease: a systematic review and meta-analysis.

Background: Guidelines recommend that adults with peripheral artery disease (PAD) take antiplatelets, statins, and antihypertensives. However, it is unclear how frequently clinicians do not prescribe these medications (ie, underprescription), how often patients fail to fill/refill their prescriptions (ie, nonadherence), which factors increase underprescription/nonadherence risk, and whether underprescription/nonadherence are associated with outcomes.

Methods: We searched MEDLINE, EMBASE, CENTRAL, and Evidence-Based Medicine Reviews (January 1, 2006-to-February 18th, 2025) for studies reporting cumulative incidences/point prevalences of clinician underprescription and/or patient nonadherence to antiplatelets, statins, and/or antihypertensives; adjusted-risk factors for underprescription/nonadherence; and adjusted-outcomes associated with underprescription/nonadherence among adults with PAD. Two investigators independently screened citations, extracted data, and assessed risk of bias. Data were pooled using random-effects models. Estimate certainty was communicated using GRADE. The study was registered on PROSPERO (CRD42022362801).

Findings: Among 4206 citations identified, 125 studies (n = 14,681,801 participants; 37% female) were included. The pooled cumulative incidence of antiplatelet, statin, and antihypertensive (among those with PAD and hypertension) underprescription was 28% (95% confidence interval [CI] = 21-36%; moderate-certainty), 34% (95% CI = 31-38%; high-certainty), and 43% (95% CI = 33-53%; moderate-certainty), respectively. The cumulative incidence of antiplatelet, statin, and antihypertensive nonadherence was 27% (95% CI = 20-35%; moderate-certainty), 28% (95% CI = 24-33%; high-certainty), and 23% (95% CI = 22-24%; low-certainty), respectively. Underprescription was more common in population-based studies and those enrolling more females and past/current smokers while nonadherence was more common in studies enrolling more patients with diabetes. Underprescription risk factors included female sex, advanced age, malignancy history, and chronic limb-threatening ischemia (all moderate-certainty). Nonadherence risk factors included advanced age, comorbidity burden, and receiving specialist mental health care (all moderate-certainty). Underprescription was associated with increased major adverse cardiac events, all-cause mortality, and decreased amputation-free time (all moderate-certainty).

Interpretation: One-quarter-to-one-half of adults with PAD are not prescribed antiplatelets, statins, and antihypertensives. Further, approximately one-quarter of these patients do not adhere to these medications after prescription.

Funding: This research was supported by a 2024 Vanier Canada Graduate Scholarship (awarded to AMK and supervised by DJR), a Graham Farquharson Physician Services Incorporated Knowledge Translation Fellowship (awarded to DJR), and a Research Program Award, University of OttawaDepartment of Surgery Annual Competition (awarded to DJR).

求助全文
通过发布文献求助,成功后即可免费获取论文全文。 去求助
来源期刊
EClinicalMedicine
EClinicalMedicine Medicine-Medicine (all)
CiteScore
18.90
自引率
1.30%
发文量
506
审稿时长
22 days
期刊介绍: eClinicalMedicine is a gold open-access clinical journal designed to support frontline health professionals in addressing the complex and rapid health transitions affecting societies globally. The journal aims to assist practitioners in overcoming healthcare challenges across diverse communities, spanning diagnosis, treatment, prevention, and health promotion. Integrating disciplines from various specialties and life stages, it seeks to enhance health systems as fundamental institutions within societies. With a forward-thinking approach, eClinicalMedicine aims to redefine the future of healthcare.
×
引用
GB/T 7714-2015
复制
MLA
复制
APA
复制
导出至
BibTeX EndNote RefMan NoteFirst NoteExpress
×
提示
您的信息不完整,为了账户安全,请先补充。
现在去补充
×
提示
您因"违规操作"
具体请查看互助需知
我知道了
×
提示
确定
请完成安全验证×
copy
已复制链接
快去分享给好友吧!
我知道了
右上角分享
点击右上角分享
0
联系我们:info@booksci.cn Book学术提供免费学术资源搜索服务,方便国内外学者检索中英文文献。致力于提供最便捷和优质的服务体验。 Copyright © 2023 布克学术 All rights reserved.
京ICP备2023020795号-1
ghs 京公网安备 11010802042870号
Book学术文献互助
Book学术文献互助群
群 号:604180095
Book学术官方微信