在小麦酵母模拟培养基中,壳状芽胞杆菌LMG 23699和异常Wickerhamomyces IMDO 010110共培养发酵过程反映了它们在酵母和酵母面包生产中的竞争力和理想特性。

IF 3.7 2区 生物学 Q2 BIOTECHNOLOGY & APPLIED MICROBIOLOGY
Applied and Environmental Microbiology Pub Date : 2025-09-17 Epub Date: 2025-08-12 DOI:10.1128/aem.01325-25
Inés Pradal, Jasper Kaesemans, Thomas Gettemans, Víctor González-Alonso, Luc De Vuyst
{"title":"在小麦酵母模拟培养基中,壳状芽胞杆菌LMG 23699和异常Wickerhamomyces IMDO 010110共培养发酵过程反映了它们在酵母和酵母面包生产中的竞争力和理想特性。","authors":"Inés Pradal, Jasper Kaesemans, Thomas Gettemans, Víctor González-Alonso, Luc De Vuyst","doi":"10.1128/aem.01325-25","DOIUrl":null,"url":null,"abstract":"<p><p>Mixed-strain starter cultures can be used to steer sourdough production and yield sourdoughs containing different volatile organic compounds (VOCs), such as esters with fruity notes. The present study aimed to characterize the fermentation dynamics, including ester production capacity, and investigate the involvement of the latter during potential interactions between a novel lactic acid bacteria (LAB)-yeast consortium composed of <i>Companilactobacillus crustorum</i> LMG 23699 and <i>Wickerhamomyces anomalus</i> IMDO 010110. Therefore, mono- and co-culture fermentation processes were carried out in a wheat sourdough simulation medium (WSSM) and a modified WSSM that contained ester precursor molecules (mWSSM). The coculture fermentation (CF) processes carried out in WSSM resulted in a faster pH drop and a higher lactic acid production compared with the monoculture ones, which could be of interest in view of the competitive advantage of the LAB-yeast consortium toward background microorganisms. Moreover, these CF processes resulted in higher carbon dioxide production and different VOC profiles, which could be of interest for the production of sourdough breads with desirable specific volumes and flavorful crumbs. Fermentation processes carried out in mWSSM confirmed ethyl lactate biosynthesis by <i>Coml. crustorum</i> LMG 23699 and showed a change in the ester profile of the yeast strain. However, the CF processes carried out in this medium showed the vulnerability of the yeast strain toward acidic stress. To conclude, the laboratory fermentation processes of the present study showed the ester production and competitiveness of <i>Coml. crustorum</i> LMG 23699 and <i>W. anomalus</i> IMDO 010110 as a mixed-strain starter culture for the production of novel sourdoughs and sourdough bread.IMPORTANCEStrains of specific species of yeasts and lactic acid bacteria (LAB) often form a stable consortium during sourdough production. Hence, the intentional use of mixed-strain starter cultures composed of such strains can steer sourdough production to obtain, for instance, sourdoughs containing esters with fruity notes. The present study valorized a novel LAB-yeast consortium composed of <i>Companilactobacillus crustorum</i> LMG 23699 and <i>Wickerhamomyces anomalus</i> IMDO 010110 for the production of such sourdoughs. The application of coculture fermentation processes in wheat sourdough simulation media showed their ester biosynthesis potential and competitiveness. These data will allow the valorization of mixed-strain starter cultures composed of the strains examined.</p>","PeriodicalId":8002,"journal":{"name":"Applied and Environmental Microbiology","volume":" ","pages":"e0132525"},"PeriodicalIF":3.7000,"publicationDate":"2025-09-17","publicationTypes":"Journal Article","fieldsOfStudy":null,"isOpenAccess":false,"openAccessPdf":"https://www.ncbi.nlm.nih.gov/pmc/articles/PMC12442410/pdf/","citationCount":"0","resultStr":"{\"title\":\"Coculture fermentation processes in wheat sourdough simulation media with <i>Companilactobacillus crustorum</i> LMG 23699 and <i>Wickerhamomyces anomalus</i> IMDO 010110 reflect their competitiveness and desirable traits for sourdough and sourdough bread production.\",\"authors\":\"Inés Pradal, Jasper Kaesemans, Thomas Gettemans, Víctor González-Alonso, Luc De Vuyst\",\"doi\":\"10.1128/aem.01325-25\",\"DOIUrl\":null,\"url\":null,\"abstract\":\"<p><p>Mixed-strain starter cultures can be used to steer sourdough production and yield sourdoughs containing different volatile organic compounds (VOCs), such as esters with fruity notes. The present study aimed to characterize the fermentation dynamics, including ester production capacity, and investigate the involvement of the latter during potential interactions between a novel lactic acid bacteria (LAB)-yeast consortium composed of <i>Companilactobacillus crustorum</i> LMG 23699 and <i>Wickerhamomyces anomalus</i> IMDO 010110. Therefore, mono- and co-culture fermentation processes were carried out in a wheat sourdough simulation medium (WSSM) and a modified WSSM that contained ester precursor molecules (mWSSM). The coculture fermentation (CF) processes carried out in WSSM resulted in a faster pH drop and a higher lactic acid production compared with the monoculture ones, which could be of interest in view of the competitive advantage of the LAB-yeast consortium toward background microorganisms. Moreover, these CF processes resulted in higher carbon dioxide production and different VOC profiles, which could be of interest for the production of sourdough breads with desirable specific volumes and flavorful crumbs. Fermentation processes carried out in mWSSM confirmed ethyl lactate biosynthesis by <i>Coml. crustorum</i> LMG 23699 and showed a change in the ester profile of the yeast strain. However, the CF processes carried out in this medium showed the vulnerability of the yeast strain toward acidic stress. To conclude, the laboratory fermentation processes of the present study showed the ester production and competitiveness of <i>Coml. crustorum</i> LMG 23699 and <i>W. anomalus</i> IMDO 010110 as a mixed-strain starter culture for the production of novel sourdoughs and sourdough bread.IMPORTANCEStrains of specific species of yeasts and lactic acid bacteria (LAB) often form a stable consortium during sourdough production. Hence, the intentional use of mixed-strain starter cultures composed of such strains can steer sourdough production to obtain, for instance, sourdoughs containing esters with fruity notes. The present study valorized a novel LAB-yeast consortium composed of <i>Companilactobacillus crustorum</i> LMG 23699 and <i>Wickerhamomyces anomalus</i> IMDO 010110 for the production of such sourdoughs. The application of coculture fermentation processes in wheat sourdough simulation media showed their ester biosynthesis potential and competitiveness. These data will allow the valorization of mixed-strain starter cultures composed of the strains examined.</p>\",\"PeriodicalId\":8002,\"journal\":{\"name\":\"Applied and Environmental Microbiology\",\"volume\":\" \",\"pages\":\"e0132525\"},\"PeriodicalIF\":3.7000,\"publicationDate\":\"2025-09-17\",\"publicationTypes\":\"Journal Article\",\"fieldsOfStudy\":null,\"isOpenAccess\":false,\"openAccessPdf\":\"https://www.ncbi.nlm.nih.gov/pmc/articles/PMC12442410/pdf/\",\"citationCount\":\"0\",\"resultStr\":null,\"platform\":\"Semanticscholar\",\"paperid\":null,\"PeriodicalName\":\"Applied and Environmental Microbiology\",\"FirstCategoryId\":\"99\",\"ListUrlMain\":\"https://doi.org/10.1128/aem.01325-25\",\"RegionNum\":2,\"RegionCategory\":\"生物学\",\"ArticlePicture\":[],\"TitleCN\":null,\"AbstractTextCN\":null,\"PMCID\":null,\"EPubDate\":\"2025/8/12 0:00:00\",\"PubModel\":\"Epub\",\"JCR\":\"Q2\",\"JCRName\":\"BIOTECHNOLOGY & APPLIED MICROBIOLOGY\",\"Score\":null,\"Total\":0}","platform":"Semanticscholar","paperid":null,"PeriodicalName":"Applied and Environmental Microbiology","FirstCategoryId":"99","ListUrlMain":"https://doi.org/10.1128/aem.01325-25","RegionNum":2,"RegionCategory":"生物学","ArticlePicture":[],"TitleCN":null,"AbstractTextCN":null,"PMCID":null,"EPubDate":"2025/8/12 0:00:00","PubModel":"Epub","JCR":"Q2","JCRName":"BIOTECHNOLOGY & APPLIED MICROBIOLOGY","Score":null,"Total":0}
引用次数: 0

摘要

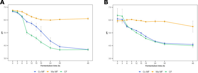
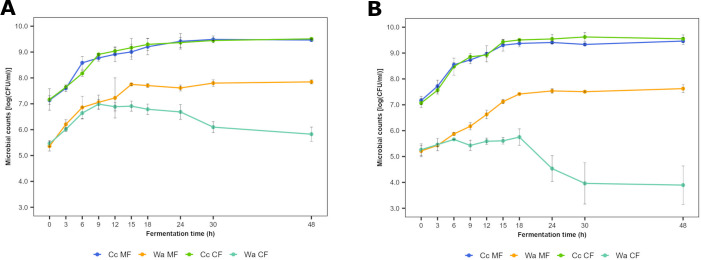
混合菌种发酵剂可以用来控制酵母的生产,并产生含有不同挥发性有机化合物(VOCs)的酵母,如带有水果味的酯类。本研究旨在表征发酵动力学,包括酯生产能力,并探讨后者在由壳状芽胞杆菌LMG 23699和反常wickerhamyces IMDO 010110组成的新型乳酸菌(LAB)-酵母联盟之间的潜在相互作用中的参与。因此,在小麦酵母模拟培养基(WSSM)和含有酯前体分子的改性WSSM (mWSSM)中进行了单培养和共培养发酵过程。与单一培养相比,在WSSM中进行的共培养发酵(CF)过程导致pH下降更快,乳酸产量更高,考虑到实验室酵母财团对背景微生物的竞争优势,这可能令人感兴趣。此外,这些CF工艺导致更高的二氧化碳产量和不同的VOC分布,这可能对具有理想特定体积和美味碎屑的酸面包的生产感兴趣。在mWSSM中进行的发酵过程证实了Coml的乳酸乙酯生物合成。LMG 23699,显示了酵母菌酯谱的变化。然而,在这种培养基中进行的CF过程显示了酵母菌株对酸性胁迫的脆弱性。综上所述,本研究的实验室发酵过程显示了Coml的酯产量和竞争力。酵母LMG 23699和W. anomalus IMDO 010110作为混合菌种发酵剂用于生产新型酵母和酵母面包。在酵母生产过程中,特定种类的酵母菌和乳酸菌(LAB)经常形成一个稳定的联合体。因此,有意使用由这些菌株组成的混合菌株发酵剂可以引导酵母生产,例如,获得含有具有水果味的酯的酵母。本研究证实了一种由壳状芽胞杆菌LMG 23699和异常Wickerhamomyces IMDO 010110组成的新型实验室酵母联合体用于生产这种酵母。共培养发酵工艺在小麦酵母模拟培养基上的应用显示了其合成酯的潜力和竞争力。这些数据将允许由所检查的菌株组成的混合菌株发酵剂的估值。
本文章由计算机程序翻译,如有差异,请以英文原文为准。

Coculture fermentation processes in wheat sourdough simulation media with <i>Companilactobacillus crustorum</i> LMG 23699 and <i>Wickerhamomyces anomalus</i> IMDO 010110 reflect their competitiveness and desirable traits for sourdough and sourdough bread production.

Coculture fermentation processes in wheat sourdough simulation media with <i>Companilactobacillus crustorum</i> LMG 23699 and <i>Wickerhamomyces anomalus</i> IMDO 010110 reflect their competitiveness and desirable traits for sourdough and sourdough bread production.

Coculture fermentation processes in wheat sourdough simulation media with <i>Companilactobacillus crustorum</i> LMG 23699 and <i>Wickerhamomyces anomalus</i> IMDO 010110 reflect their competitiveness and desirable traits for sourdough and sourdough bread production.

Coculture fermentation processes in wheat sourdough simulation media with Companilactobacillus crustorum LMG 23699 and Wickerhamomyces anomalus IMDO 010110 reflect their competitiveness and desirable traits for sourdough and sourdough bread production.

Mixed-strain starter cultures can be used to steer sourdough production and yield sourdoughs containing different volatile organic compounds (VOCs), such as esters with fruity notes. The present study aimed to characterize the fermentation dynamics, including ester production capacity, and investigate the involvement of the latter during potential interactions between a novel lactic acid bacteria (LAB)-yeast consortium composed of Companilactobacillus crustorum LMG 23699 and Wickerhamomyces anomalus IMDO 010110. Therefore, mono- and co-culture fermentation processes were carried out in a wheat sourdough simulation medium (WSSM) and a modified WSSM that contained ester precursor molecules (mWSSM). The coculture fermentation (CF) processes carried out in WSSM resulted in a faster pH drop and a higher lactic acid production compared with the monoculture ones, which could be of interest in view of the competitive advantage of the LAB-yeast consortium toward background microorganisms. Moreover, these CF processes resulted in higher carbon dioxide production and different VOC profiles, which could be of interest for the production of sourdough breads with desirable specific volumes and flavorful crumbs. Fermentation processes carried out in mWSSM confirmed ethyl lactate biosynthesis by Coml. crustorum LMG 23699 and showed a change in the ester profile of the yeast strain. However, the CF processes carried out in this medium showed the vulnerability of the yeast strain toward acidic stress. To conclude, the laboratory fermentation processes of the present study showed the ester production and competitiveness of Coml. crustorum LMG 23699 and W. anomalus IMDO 010110 as a mixed-strain starter culture for the production of novel sourdoughs and sourdough bread.IMPORTANCEStrains of specific species of yeasts and lactic acid bacteria (LAB) often form a stable consortium during sourdough production. Hence, the intentional use of mixed-strain starter cultures composed of such strains can steer sourdough production to obtain, for instance, sourdoughs containing esters with fruity notes. The present study valorized a novel LAB-yeast consortium composed of Companilactobacillus crustorum LMG 23699 and Wickerhamomyces anomalus IMDO 010110 for the production of such sourdoughs. The application of coculture fermentation processes in wheat sourdough simulation media showed their ester biosynthesis potential and competitiveness. These data will allow the valorization of mixed-strain starter cultures composed of the strains examined.

求助全文
通过发布文献求助,成功后即可免费获取论文全文。 去求助
来源期刊
Applied and Environmental Microbiology
Applied and Environmental Microbiology 生物-生物工程与应用微生物
CiteScore
7.70
自引率
2.30%
发文量
730
审稿时长
1.9 months
期刊介绍: Applied and Environmental Microbiology (AEM) publishes papers that make significant contributions to (a) applied microbiology, including biotechnology, protein engineering, bioremediation, and food microbiology, (b) microbial ecology, including environmental, organismic, and genomic microbiology, and (c) interdisciplinary microbiology, including invertebrate microbiology, plant microbiology, aquatic microbiology, and geomicrobiology.
×
引用
GB/T 7714-2015
复制
MLA
复制
APA
复制
导出至
BibTeX EndNote RefMan NoteFirst NoteExpress
×
提示
您的信息不完整,为了账户安全,请先补充。
现在去补充
×
提示
您因"违规操作"
具体请查看互助需知
我知道了
×
提示
确定
请完成安全验证×
copy
已复制链接
快去分享给好友吧!
我知道了
右上角分享
点击右上角分享
0
联系我们:info@booksci.cn Book学术提供免费学术资源搜索服务,方便国内外学者检索中英文文献。致力于提供最便捷和优质的服务体验。 Copyright © 2023 布克学术 All rights reserved.
京ICP备2023020795号-1
ghs 京公网安备 11010802042870号
Book学术文献互助
Book学术文献互助群
群 号:604180095
Book学术官方微信