老年患者的日常快乐和困难:日本的初级保健设置。

IF 1.8 Q2 MEDICINE, GENERAL & INTERNAL
JMA journal Pub Date : 2025-07-15 Epub Date: 2025-05-26 DOI:10.31662/jmaj.2025-0002
Junki Mizumoto, Hirohisa Fujikawa, Masashi Izumiya, Masato Eto
{"title":"老年患者的日常快乐和困难:日本的初级保健设置。","authors":"Junki Mizumoto, Hirohisa Fujikawa, Masashi Izumiya, Masato Eto","doi":"10.31662/jmaj.2025-0002","DOIUrl":null,"url":null,"abstract":"<p><strong>Introduction: </strong>Older adults undergo physical and social changes that adversely affect their health. However, the prevalence and distribution of patients' pleasure and difficulties remain poorly documented. Moreover, the acceptability and feasibility of self-administered questionnaires concerning their social conditions among older patients are still uncertain. Our study aimed to elucidate the distribution of daily pleasure and difficulties among older patients and assess the acceptability of these screenings.</p><p><strong>Methods: </strong>Descriptive epidemiology was conducted at a single center in Japan. From April 2023 to March 2024, self-reported questionnaires on activities of daily living (ADL), daily pleasure and difficulties, and the acceptability of these questions were distributed to all patients aged 80 years or older. The participants' long-term care (LTC) certification level, a nationwide measure in Japan, was used to assess their ADL.</p><p><strong>Results: </strong>A total of 359 patients participated, with 192 (53.5%) not applying for LTC certification, 57 (15.9%) at Support Levels, and 101 (28.1%) at Care Need Levels. Among them, 242 (67.4%) reported daily pleasures, 56 (15.6%) experienced bathing difficulties, 73 (20.3%) encountered excretion problems, and 34 (9.4%) faced excessive financial burdens. These difficulties and financial burdens were more prevalent among those at Support Levels and Care Need Levels than those without LTC certifications. Most participants found these surveys acceptable.</p><p><strong>Conclusions: </strong>Participants requiring LTC reported daily pleasures as frequently as those without LTC certification. However, those requiring LTC more frequently reported difficulties in daily activities and faced excessive financial burdens. Healthcare professionals should inquire about older patients' specific daily living needs.</p>","PeriodicalId":73550,"journal":{"name":"JMA journal","volume":"8 3","pages":"846-852"},"PeriodicalIF":1.8000,"publicationDate":"2025-07-15","publicationTypes":"Journal Article","fieldsOfStudy":null,"isOpenAccess":false,"openAccessPdf":"https://www.ncbi.nlm.nih.gov/pmc/articles/PMC12328892/pdf/","citationCount":"0","resultStr":"{\"title\":\"Daily Pleasure and Difficulties among Older Patients: Primary Care Setting in Japan.\",\"authors\":\"Junki Mizumoto, Hirohisa Fujikawa, Masashi Izumiya, Masato Eto\",\"doi\":\"10.31662/jmaj.2025-0002\",\"DOIUrl\":null,\"url\":null,\"abstract\":\"<p><strong>Introduction: </strong>Older adults undergo physical and social changes that adversely affect their health. However, the prevalence and distribution of patients' pleasure and difficulties remain poorly documented. Moreover, the acceptability and feasibility of self-administered questionnaires concerning their social conditions among older patients are still uncertain. Our study aimed to elucidate the distribution of daily pleasure and difficulties among older patients and assess the acceptability of these screenings.</p><p><strong>Methods: </strong>Descriptive epidemiology was conducted at a single center in Japan. From April 2023 to March 2024, self-reported questionnaires on activities of daily living (ADL), daily pleasure and difficulties, and the acceptability of these questions were distributed to all patients aged 80 years or older. The participants' long-term care (LTC) certification level, a nationwide measure in Japan, was used to assess their ADL.</p><p><strong>Results: </strong>A total of 359 patients participated, with 192 (53.5%) not applying for LTC certification, 57 (15.9%) at Support Levels, and 101 (28.1%) at Care Need Levels. Among them, 242 (67.4%) reported daily pleasures, 56 (15.6%) experienced bathing difficulties, 73 (20.3%) encountered excretion problems, and 34 (9.4%) faced excessive financial burdens. These difficulties and financial burdens were more prevalent among those at Support Levels and Care Need Levels than those without LTC certifications. Most participants found these surveys acceptable.</p><p><strong>Conclusions: </strong>Participants requiring LTC reported daily pleasures as frequently as those without LTC certification. However, those requiring LTC more frequently reported difficulties in daily activities and faced excessive financial burdens. Healthcare professionals should inquire about older patients' specific daily living needs.</p>\",\"PeriodicalId\":73550,\"journal\":{\"name\":\"JMA journal\",\"volume\":\"8 3\",\"pages\":\"846-852\"},\"PeriodicalIF\":1.8000,\"publicationDate\":\"2025-07-15\",\"publicationTypes\":\"Journal Article\",\"fieldsOfStudy\":null,\"isOpenAccess\":false,\"openAccessPdf\":\"https://www.ncbi.nlm.nih.gov/pmc/articles/PMC12328892/pdf/\",\"citationCount\":\"0\",\"resultStr\":null,\"platform\":\"Semanticscholar\",\"paperid\":null,\"PeriodicalName\":\"JMA journal\",\"FirstCategoryId\":\"1085\",\"ListUrlMain\":\"https://doi.org/10.31662/jmaj.2025-0002\",\"RegionNum\":0,\"RegionCategory\":null,\"ArticlePicture\":[],\"TitleCN\":null,\"AbstractTextCN\":null,\"PMCID\":null,\"EPubDate\":\"2025/5/26 0:00:00\",\"PubModel\":\"Epub\",\"JCR\":\"Q2\",\"JCRName\":\"MEDICINE, GENERAL & INTERNAL\",\"Score\":null,\"Total\":0}","platform":"Semanticscholar","paperid":null,"PeriodicalName":"JMA journal","FirstCategoryId":"1085","ListUrlMain":"https://doi.org/10.31662/jmaj.2025-0002","RegionNum":0,"RegionCategory":null,"ArticlePicture":[],"TitleCN":null,"AbstractTextCN":null,"PMCID":null,"EPubDate":"2025/5/26 0:00:00","PubModel":"Epub","JCR":"Q2","JCRName":"MEDICINE, GENERAL & INTERNAL","Score":null,"Total":0}
引用次数: 0

摘要

老年人经历的身体和社会变化对他们的健康产生不利影响。然而,患者的快乐和困难的流行和分布仍然很少记录。此外,老年患者社会状况自我管理问卷的可接受性和可行性仍不确定。我们的研究旨在阐明老年患者日常快乐和困难的分布,并评估这些筛查的可接受性。方法:描述性流行病学在日本单一中心进行。从2023年4月至2024年3月,向所有80岁及以上的患者发放日常生活活动(ADL)、日常快乐和困难以及这些问题的可接受性自述问卷。参与者的长期护理(LTC)认证水平是日本的一项全国性措施,用于评估他们的ADL。结果:共有359例患者参与,其中192例(53.5%)未申请LTC认证,57例(15.9%)为支持级别,101例(28.1%)为护理需要级别。其中,有242人(67.4%)感到日常快乐,56人(15.6%)感到洗澡困难,73人(20.3%)感到排泄困难,34人(9.4%)感到经济负担过重。这些困难和经济负担在支持水平和护理需要水平的人中比没有LTC证书的人更普遍。大多数参与者认为这些调查是可以接受的。结论:需要LTC认证的参与者报告日常快乐的频率与没有LTC认证的参与者相同。然而,那些需要长期服务的人更频繁地报告在日常活动中遇到困难,并面临过度的经济负担。医疗保健专业人员应询问老年患者具体的日常生活需求。
本文章由计算机程序翻译,如有差异,请以英文原文为准。

Daily Pleasure and Difficulties among Older Patients: Primary Care Setting in Japan.

Daily Pleasure and Difficulties among Older Patients: Primary Care Setting in Japan.

Daily Pleasure and Difficulties among Older Patients: Primary Care Setting in Japan.

Introduction: Older adults undergo physical and social changes that adversely affect their health. However, the prevalence and distribution of patients' pleasure and difficulties remain poorly documented. Moreover, the acceptability and feasibility of self-administered questionnaires concerning their social conditions among older patients are still uncertain. Our study aimed to elucidate the distribution of daily pleasure and difficulties among older patients and assess the acceptability of these screenings.

Methods: Descriptive epidemiology was conducted at a single center in Japan. From April 2023 to March 2024, self-reported questionnaires on activities of daily living (ADL), daily pleasure and difficulties, and the acceptability of these questions were distributed to all patients aged 80 years or older. The participants' long-term care (LTC) certification level, a nationwide measure in Japan, was used to assess their ADL.

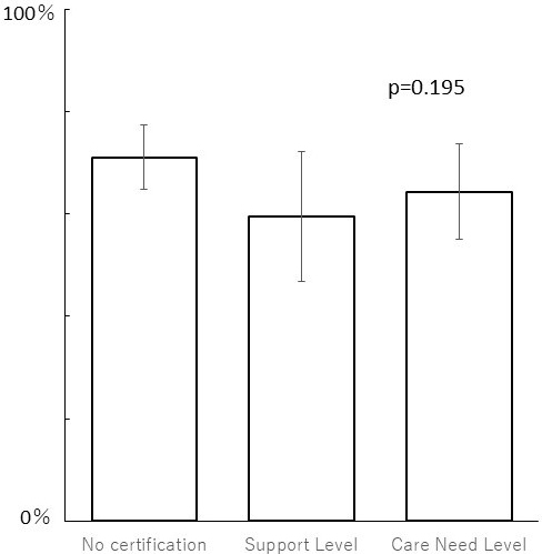
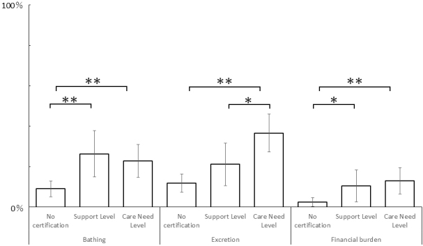
Results: A total of 359 patients participated, with 192 (53.5%) not applying for LTC certification, 57 (15.9%) at Support Levels, and 101 (28.1%) at Care Need Levels. Among them, 242 (67.4%) reported daily pleasures, 56 (15.6%) experienced bathing difficulties, 73 (20.3%) encountered excretion problems, and 34 (9.4%) faced excessive financial burdens. These difficulties and financial burdens were more prevalent among those at Support Levels and Care Need Levels than those without LTC certifications. Most participants found these surveys acceptable.

Conclusions: Participants requiring LTC reported daily pleasures as frequently as those without LTC certification. However, those requiring LTC more frequently reported difficulties in daily activities and faced excessive financial burdens. Healthcare professionals should inquire about older patients' specific daily living needs.

求助全文
通过发布文献求助,成功后即可免费获取论文全文。 去求助
来源期刊
自引率
0.00%
发文量
0
×
引用
GB/T 7714-2015
复制
MLA
复制
APA
复制
导出至
BibTeX EndNote RefMan NoteFirst NoteExpress
×
提示
您的信息不完整,为了账户安全,请先补充。
现在去补充
×
提示
您因"违规操作"
具体请查看互助需知
我知道了
×
提示
确定
请完成安全验证×
copy
已复制链接
快去分享给好友吧!
我知道了
右上角分享
点击右上角分享
0
联系我们:info@booksci.cn Book学术提供免费学术资源搜索服务,方便国内外学者检索中英文文献。致力于提供最便捷和优质的服务体验。 Copyright © 2023 布克学术 All rights reserved.
京ICP备2023020795号-1
ghs 京公网安备 11010802042870号
Book学术文献互助
Book学术文献互助群
群 号:604180095
Book学术官方微信