数字化PET读数,并与理想的基于tdc的读数进行比较,并应用深度神经网络进行最优估计,包括DOI。

L Macchiarulo, C Chock, I Mostafanezhad, H Sabet
{"title":"数字化PET读数,并与理想的基于tdc的读数进行比较,并应用深度神经网络进行最优估计,包括DOI。","authors":"L Macchiarulo, C Chock, I Mostafanezhad, H Sabet","doi":"10.1109/NSS/MIC/RTSD57108.2024.10658167","DOIUrl":null,"url":null,"abstract":"<p><p>Time Of Flight PET (TOF-PET) is a transformative technology for PET systems, but reaping its fullest potential requires achieving very high spatial and timing resolution, and overcoming dependency on signal variability at the level of the individual pixels. In this study, we try to quantify the advantage of using custom waveform sampling devices versus TDC methodology using realistic estimates of noise and other non-idealities. With the use of DNN methodology we show achievable gain for current and future acquisition systems, and also demonstrate the feasibility of DOI estimation from single side readout. We conclude by arguing for the scalability of such a system based on our experience with compact waveform digitizer design.</p>","PeriodicalId":73298,"journal":{"name":"IEEE Nuclear Science Symposium conference record. Nuclear Science Symposium","volume":"2024 ","pages":""},"PeriodicalIF":0.0000,"publicationDate":"2024-10-01","publicationTypes":"Journal Article","fieldsOfStudy":null,"isOpenAccess":false,"openAccessPdf":"https://www.ncbi.nlm.nih.gov/pmc/articles/PMC12334274/pdf/","citationCount":"0","resultStr":"{\"title\":\"Achievable resolution for scalable Waveform Digitizing PET readout and comparison with ideal TDC-based readout with an application of DNN to optimal estimation including DOI.\",\"authors\":\"L Macchiarulo, C Chock, I Mostafanezhad, H Sabet\",\"doi\":\"10.1109/NSS/MIC/RTSD57108.2024.10658167\",\"DOIUrl\":null,\"url\":null,\"abstract\":\"<p><p>Time Of Flight PET (TOF-PET) is a transformative technology for PET systems, but reaping its fullest potential requires achieving very high spatial and timing resolution, and overcoming dependency on signal variability at the level of the individual pixels. In this study, we try to quantify the advantage of using custom waveform sampling devices versus TDC methodology using realistic estimates of noise and other non-idealities. With the use of DNN methodology we show achievable gain for current and future acquisition systems, and also demonstrate the feasibility of DOI estimation from single side readout. We conclude by arguing for the scalability of such a system based on our experience with compact waveform digitizer design.</p>\",\"PeriodicalId\":73298,\"journal\":{\"name\":\"IEEE Nuclear Science Symposium conference record. Nuclear Science Symposium\",\"volume\":\"2024 \",\"pages\":\"\"},\"PeriodicalIF\":0.0000,\"publicationDate\":\"2024-10-01\",\"publicationTypes\":\"Journal Article\",\"fieldsOfStudy\":null,\"isOpenAccess\":false,\"openAccessPdf\":\"https://www.ncbi.nlm.nih.gov/pmc/articles/PMC12334274/pdf/\",\"citationCount\":\"0\",\"resultStr\":null,\"platform\":\"Semanticscholar\",\"paperid\":null,\"PeriodicalName\":\"IEEE Nuclear Science Symposium conference record. Nuclear Science Symposium\",\"FirstCategoryId\":\"1085\",\"ListUrlMain\":\"https://doi.org/10.1109/NSS/MIC/RTSD57108.2024.10658167\",\"RegionNum\":0,\"RegionCategory\":null,\"ArticlePicture\":[],\"TitleCN\":null,\"AbstractTextCN\":null,\"PMCID\":null,\"EPubDate\":\"\",\"PubModel\":\"\",\"JCR\":\"\",\"JCRName\":\"\",\"Score\":null,\"Total\":0}","platform":"Semanticscholar","paperid":null,"PeriodicalName":"IEEE Nuclear Science Symposium conference record. Nuclear Science Symposium","FirstCategoryId":"1085","ListUrlMain":"https://doi.org/10.1109/NSS/MIC/RTSD57108.2024.10658167","RegionNum":0,"RegionCategory":null,"ArticlePicture":[],"TitleCN":null,"AbstractTextCN":null,"PMCID":null,"EPubDate":"","PubModel":"","JCR":"","JCRName":"","Score":null,"Total":0}
引用次数: 0

摘要

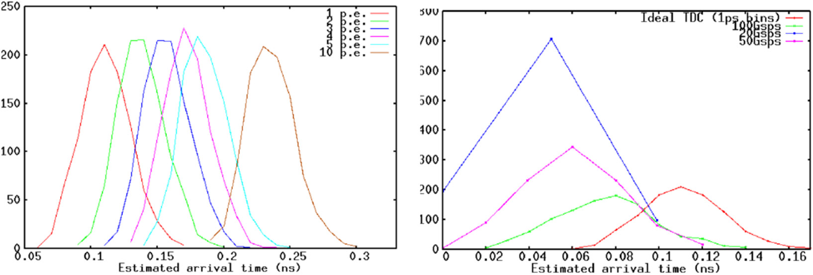
飞行时间PET (TOF-PET)是PET系统的一项变革性技术,但要充分发挥其潜力,需要实现非常高的空间和时间分辨率,并克服对单个像素级信号可变性的依赖。在本研究中,我们试图通过对噪声和其他非理想情况的实际估计来量化使用自定义波形采样设备与TDC方法的优势。通过使用深度神经网络方法,我们展示了当前和未来采集系统可实现的增益,并且还展示了从单侧读出估计DOI的可行性。最后,我们根据我们在紧凑型波形数字化仪设计方面的经验,论证了这种系统的可扩展性。
本文章由计算机程序翻译,如有差异,请以英文原文为准。

Achievable resolution for scalable Waveform Digitizing PET readout and comparison with ideal TDC-based readout with an application of DNN to optimal estimation including DOI.

Achievable resolution for scalable Waveform Digitizing PET readout and comparison with ideal TDC-based readout with an application of DNN to optimal estimation including DOI.

Achievable resolution for scalable Waveform Digitizing PET readout and comparison with ideal TDC-based readout with an application of DNN to optimal estimation including DOI.

Achievable resolution for scalable Waveform Digitizing PET readout and comparison with ideal TDC-based readout with an application of DNN to optimal estimation including DOI.

Time Of Flight PET (TOF-PET) is a transformative technology for PET systems, but reaping its fullest potential requires achieving very high spatial and timing resolution, and overcoming dependency on signal variability at the level of the individual pixels. In this study, we try to quantify the advantage of using custom waveform sampling devices versus TDC methodology using realistic estimates of noise and other non-idealities. With the use of DNN methodology we show achievable gain for current and future acquisition systems, and also demonstrate the feasibility of DOI estimation from single side readout. We conclude by arguing for the scalability of such a system based on our experience with compact waveform digitizer design.

求助全文
通过发布文献求助,成功后即可免费获取论文全文。 去求助
来源期刊
自引率
0.00%
发文量
0
×
引用
GB/T 7714-2015
复制
MLA
复制
APA
复制
导出至
BibTeX EndNote RefMan NoteFirst NoteExpress
×
提示
您的信息不完整,为了账户安全,请先补充。
现在去补充
×
提示
您因"违规操作"
具体请查看互助需知
我知道了
×
提示
确定
请完成安全验证×
copy
已复制链接
快去分享给好友吧!
我知道了
右上角分享
点击右上角分享
0
联系我们:info@booksci.cn Book学术提供免费学术资源搜索服务,方便国内外学者检索中英文文献。致力于提供最便捷和优质的服务体验。 Copyright © 2023 布克学术 All rights reserved.
京ICP备2023020795号-1
ghs 京公网安备 11010802042870号
Book学术文献互助
Book学术文献互助群
群 号:604180095
Book学术官方微信