流行病学研究中使用自我报告与客观测量心脏代谢状况的影响:来自印度的案例研究,使用印度纵向老龄化研究的数据。

Frontiers in epidemiology Pub Date : 2025-07-25 eCollection Date: 2024-01-01 DOI:10.3389/fepid.2024.1372972
Emma Nichols, Peifeng Hu, David E Bloom, Jinkook Lee, T V Sekher
{"title":"流行病学研究中使用自我报告与客观测量心脏代谢状况的影响:来自印度的案例研究,使用印度纵向老龄化研究的数据。","authors":"Emma Nichols, Peifeng Hu, David E Bloom, Jinkook Lee, T V Sekher","doi":"10.3389/fepid.2024.1372972","DOIUrl":null,"url":null,"abstract":"<p><strong>Introduction: </strong>In low- and middle-income countries, self-reported data on chronic cardiometabolic conditions such as high blood pressure and diabetes are commonly used in large-scale epidemiologic studies because implementing objective measures is challenging in these contexts. However, existing evidence suggests that the sensitivity of such measures may be low, and performance may differ by factors such as age, education, or income. We sought to confirm these prior findings and assess bias due to the use of self-reported data in hypothetical epidemiologic studies considering high blood pressure and diabetes as exposures, outcomes, and confounders.</p><p><strong>Methods: </strong>We used data from the Longitudinal Aging Study in India (analytic <i>N</i> = 55,392) to assess the performance of self-reported data on high blood pressure and diabetes compared with objective measures, overall and stratified by basic demographic factors. We then compared regression coefficients from models considering self-reported and objective high blood pressure and diabetes as exposures, outcomes, and confounders. In all models, we examined whether the mode of data collection (self-report or objective) for other key variables in the model affected results.</p><p><strong>Results: </strong>The overall sensitivity of self-reported high blood pressure and diabetes was 0.514 and 0.570, respectively; specificity for the two conditions was 0.922 and 0.984. Sensitivity of both conditions increased with age, and was higher among women, those in urban settings, and those with higher educational attainment. Across almost all models considering high blood pressure and diabetes as either exposures or outcomes anti-conservative bias was observed when using self-reported vs. objective measures, regardless of the mode of data collection for other key variables. When high blood pressure and diabetes were considered as confounders, differences between using self-report and objective measures were minimal.</p><p><strong>Discussion: </strong>Anti-conservative bias due to the use of self-reported measures of chronic cardiometabolic conditions in surveys conducted in low- and middle-income contexts may be common. Future studies may seek to quantify the magnitude of anticipated bias in existing data resources and use quantitative bias analysis to formally estimate the potential implications of misclassification.</p>","PeriodicalId":73083,"journal":{"name":"Frontiers in epidemiology","volume":"4 ","pages":"1372972"},"PeriodicalIF":0.0000,"publicationDate":"2025-07-25","publicationTypes":"Journal Article","fieldsOfStudy":null,"isOpenAccess":false,"openAccessPdf":"https://www.ncbi.nlm.nih.gov/pmc/articles/PMC12331483/pdf/","citationCount":"0","resultStr":"{\"title\":\"The impact of using self-report versus objective measures of cardiometabolic conditions in epidemiologic research: a case study from India using data from the longitudinal aging study in India.\",\"authors\":\"Emma Nichols, Peifeng Hu, David E Bloom, Jinkook Lee, T V Sekher\",\"doi\":\"10.3389/fepid.2024.1372972\",\"DOIUrl\":null,\"url\":null,\"abstract\":\"<p><strong>Introduction: </strong>In low- and middle-income countries, self-reported data on chronic cardiometabolic conditions such as high blood pressure and diabetes are commonly used in large-scale epidemiologic studies because implementing objective measures is challenging in these contexts. However, existing evidence suggests that the sensitivity of such measures may be low, and performance may differ by factors such as age, education, or income. We sought to confirm these prior findings and assess bias due to the use of self-reported data in hypothetical epidemiologic studies considering high blood pressure and diabetes as exposures, outcomes, and confounders.</p><p><strong>Methods: </strong>We used data from the Longitudinal Aging Study in India (analytic <i>N</i> = 55,392) to assess the performance of self-reported data on high blood pressure and diabetes compared with objective measures, overall and stratified by basic demographic factors. We then compared regression coefficients from models considering self-reported and objective high blood pressure and diabetes as exposures, outcomes, and confounders. In all models, we examined whether the mode of data collection (self-report or objective) for other key variables in the model affected results.</p><p><strong>Results: </strong>The overall sensitivity of self-reported high blood pressure and diabetes was 0.514 and 0.570, respectively; specificity for the two conditions was 0.922 and 0.984. Sensitivity of both conditions increased with age, and was higher among women, those in urban settings, and those with higher educational attainment. Across almost all models considering high blood pressure and diabetes as either exposures or outcomes anti-conservative bias was observed when using self-reported vs. objective measures, regardless of the mode of data collection for other key variables. When high blood pressure and diabetes were considered as confounders, differences between using self-report and objective measures were minimal.</p><p><strong>Discussion: </strong>Anti-conservative bias due to the use of self-reported measures of chronic cardiometabolic conditions in surveys conducted in low- and middle-income contexts may be common. Future studies may seek to quantify the magnitude of anticipated bias in existing data resources and use quantitative bias analysis to formally estimate the potential implications of misclassification.</p>\",\"PeriodicalId\":73083,\"journal\":{\"name\":\"Frontiers in epidemiology\",\"volume\":\"4 \",\"pages\":\"1372972\"},\"PeriodicalIF\":0.0000,\"publicationDate\":\"2025-07-25\",\"publicationTypes\":\"Journal Article\",\"fieldsOfStudy\":null,\"isOpenAccess\":false,\"openAccessPdf\":\"https://www.ncbi.nlm.nih.gov/pmc/articles/PMC12331483/pdf/\",\"citationCount\":\"0\",\"resultStr\":null,\"platform\":\"Semanticscholar\",\"paperid\":null,\"PeriodicalName\":\"Frontiers in epidemiology\",\"FirstCategoryId\":\"1085\",\"ListUrlMain\":\"https://doi.org/10.3389/fepid.2024.1372972\",\"RegionNum\":0,\"RegionCategory\":null,\"ArticlePicture\":[],\"TitleCN\":null,\"AbstractTextCN\":null,\"PMCID\":null,\"EPubDate\":\"2024/1/1 0:00:00\",\"PubModel\":\"eCollection\",\"JCR\":\"\",\"JCRName\":\"\",\"Score\":null,\"Total\":0}","platform":"Semanticscholar","paperid":null,"PeriodicalName":"Frontiers in epidemiology","FirstCategoryId":"1085","ListUrlMain":"https://doi.org/10.3389/fepid.2024.1372972","RegionNum":0,"RegionCategory":null,"ArticlePicture":[],"TitleCN":null,"AbstractTextCN":null,"PMCID":null,"EPubDate":"2024/1/1 0:00:00","PubModel":"eCollection","JCR":"","JCRName":"","Score":null,"Total":0}
引用次数: 0

摘要

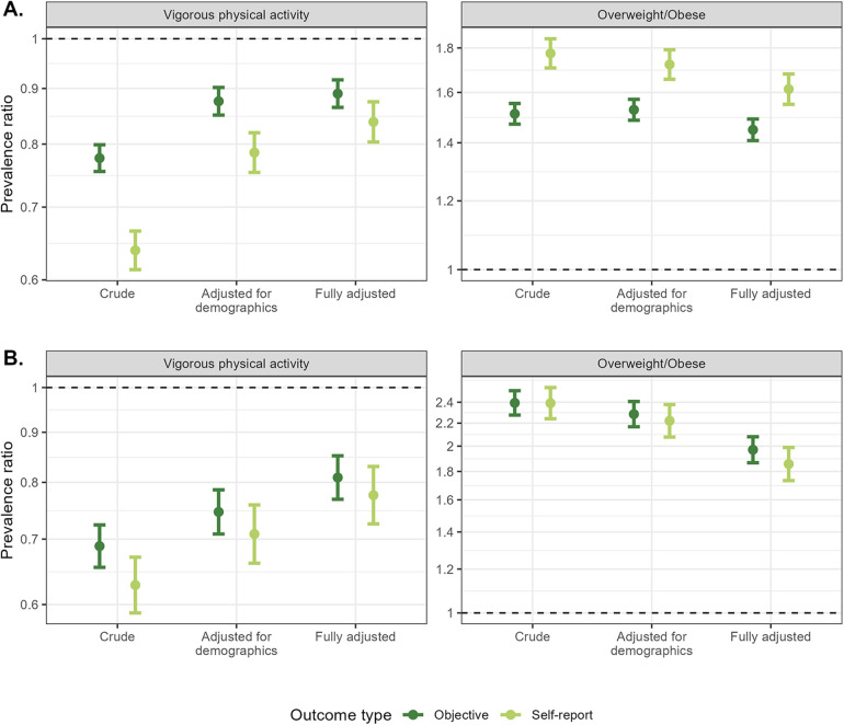
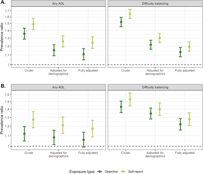
在低收入和中等收入国家,关于慢性心脏代谢疾病(如高血压和糖尿病)的自我报告数据通常用于大规模流行病学研究,因为在这些情况下实施客观措施具有挑战性。然而,现有证据表明,这些措施的敏感性可能较低,而且表现可能因年龄、教育或收入等因素而异。我们试图证实这些先前的发现,并评估由于在假设的流行病学研究中使用自我报告的数据而产生的偏倚,这些研究将高血压和糖尿病作为暴露、结果和混杂因素。方法:我们使用来自印度纵向老龄化研究的数据(分析N = 55,392)来评估高血压和糖尿病自我报告数据与客观测量数据的表现,并根据基本人口统计学因素进行总体和分层。然后,我们比较了考虑自我报告和客观高血压和糖尿病作为暴露、结果和混杂因素的模型的回归系数。在所有模型中,我们检查了模型中其他关键变量的数据收集模式(自我报告或客观)是否影响结果。结果:自述高血压和糖尿病的总体敏感性分别为0.514和0.570;两种情况的特异性分别为0.922和0.984。对这两种情况的敏感性随着年龄的增长而增加,在女性、城市环境和受教育程度较高的人群中更高。在几乎所有将高血压和糖尿病作为暴露或结果的模型中,无论其他关键变量的数据收集模式如何,当使用自我报告与客观测量时,都观察到反保守偏差。当高血压和糖尿病被认为是混杂因素时,使用自我报告和客观测量之间的差异很小。讨论:在低收入和中等收入背景下进行的调查中,由于使用慢性心脏代谢疾病的自我报告措施而导致的反保守偏见可能是常见的。未来的研究可能会寻求量化现有数据资源中预期偏差的程度,并使用定量偏差分析来正式估计错误分类的潜在影响。
本文章由计算机程序翻译,如有差异,请以英文原文为准。

The impact of using self-report versus objective measures of cardiometabolic conditions in epidemiologic research: a case study from India using data from the longitudinal aging study in India.

The impact of using self-report versus objective measures of cardiometabolic conditions in epidemiologic research: a case study from India using data from the longitudinal aging study in India.

The impact of using self-report versus objective measures of cardiometabolic conditions in epidemiologic research: a case study from India using data from the longitudinal aging study in India.

The impact of using self-report versus objective measures of cardiometabolic conditions in epidemiologic research: a case study from India using data from the longitudinal aging study in India.

Introduction: In low- and middle-income countries, self-reported data on chronic cardiometabolic conditions such as high blood pressure and diabetes are commonly used in large-scale epidemiologic studies because implementing objective measures is challenging in these contexts. However, existing evidence suggests that the sensitivity of such measures may be low, and performance may differ by factors such as age, education, or income. We sought to confirm these prior findings and assess bias due to the use of self-reported data in hypothetical epidemiologic studies considering high blood pressure and diabetes as exposures, outcomes, and confounders.

Methods: We used data from the Longitudinal Aging Study in India (analytic N = 55,392) to assess the performance of self-reported data on high blood pressure and diabetes compared with objective measures, overall and stratified by basic demographic factors. We then compared regression coefficients from models considering self-reported and objective high blood pressure and diabetes as exposures, outcomes, and confounders. In all models, we examined whether the mode of data collection (self-report or objective) for other key variables in the model affected results.

Results: The overall sensitivity of self-reported high blood pressure and diabetes was 0.514 and 0.570, respectively; specificity for the two conditions was 0.922 and 0.984. Sensitivity of both conditions increased with age, and was higher among women, those in urban settings, and those with higher educational attainment. Across almost all models considering high blood pressure and diabetes as either exposures or outcomes anti-conservative bias was observed when using self-reported vs. objective measures, regardless of the mode of data collection for other key variables. When high blood pressure and diabetes were considered as confounders, differences between using self-report and objective measures were minimal.

Discussion: Anti-conservative bias due to the use of self-reported measures of chronic cardiometabolic conditions in surveys conducted in low- and middle-income contexts may be common. Future studies may seek to quantify the magnitude of anticipated bias in existing data resources and use quantitative bias analysis to formally estimate the potential implications of misclassification.

求助全文
通过发布文献求助,成功后即可免费获取论文全文。 去求助
来源期刊
自引率
0.00%
发文量
0
×
引用
GB/T 7714-2015
复制
MLA
复制
APA
复制
导出至
BibTeX EndNote RefMan NoteFirst NoteExpress
×
提示
您的信息不完整,为了账户安全,请先补充。
现在去补充
×
提示
您因"违规操作"
具体请查看互助需知
我知道了
×
提示
确定
请完成安全验证×
copy
已复制链接
快去分享给好友吧!
我知道了
右上角分享
点击右上角分享
0
联系我们:info@booksci.cn Book学术提供免费学术资源搜索服务,方便国内外学者检索中英文文献。致力于提供最便捷和优质的服务体验。 Copyright © 2023 布克学术 All rights reserved.
京ICP备2023020795号-1
ghs 京公网安备 11010802042870号
Book学术文献互助
Book学术文献互助群
群 号:604180095
Book学术官方微信