白内障手术后使用增强单焦点人工晶状体与标准单焦点人工晶状体视力结果的比较研究和回顾。

Q2 Medicine
Triston B Crook, Mina M Sitto, Ethan J Lindberg, Phillip C Hoopes, Majid Moshirfar
{"title":"白内障手术后使用增强单焦点人工晶状体与标准单焦点人工晶状体视力结果的比较研究和回顾。","authors":"Triston B Crook, Mina M Sitto, Ethan J Lindberg, Phillip C Hoopes, Majid Moshirfar","doi":"10.51329/mehdiophthal1521","DOIUrl":null,"url":null,"abstract":"<p><strong>Background: </strong>Recent innovations in intraocular lens (IOL) design have introduced extended depth of focus lenses, which has shown promise in improving visual acuity at multiple distances while preserving the distance vision provided by a standard monofocal IOL. This study aimed to evaluate the visual outcomes of TECNIS Eyhance, a monofocal IOL with enhanced intermediate function, and a standard TECNIS monofocal 1-piece IOL, and to review published studies comparing the clinical performance between the TECNIS Eyhance and standard IOLs.</p><p><strong>Methods: </strong>A retrospective analysis was conducted on patients who underwent cataract extraction with bilateral implantation of either TECNIS Eyhance IOLs or TECNIS Monofocal 1-Piece IOLs. Primary outcomes included monocular and binocular uncorrected distance visual acuity (UDVA), uncorrected near visual acuity (UNVA), and corrected distance visual acuity (CDVA), and manifest refraction. Outcomes such as glare, halos, and dry eye were also assessed. A literature review was performed to identify studies evaluating the clinical outcomes of TECNIS Eyhance and standard TECNIS monofocal IOLs.</p><p><strong>Results: </strong>In total 108 patients (216 eyes) underwent bilateral implantation with either TECNIS Eyhance (104 eyes) or TECNIS Monofocal 1-Piece (112 eyes) IOLs. The mean (standard deviation [SD]) binocular UNVA was better in the Eyhance group at 1 month (0.18 [0.13] logMAR) compared to the standard monofocal group (0.24 [0.14] logMAR; <i>P</i> < 0.05). A greater proportion of Eyhance patients achieved binocular UNVA of 20/25 or better (46.9% vs 21.8%; <i>P</i> < 0.01), and 20/32 or better (65.3% vs 45.5%; <i>P</i> < 0.05). However, there was no significant difference for 20/20 visual acuity (20.4% vs 18.2%; <i>P</i> > 0.05). No significant differences were observed in postoperative UDVA or CDVA between groups (both <i>P</i> > 0.05). The mean (SD) monocular UNVA showed a slight, but non-significant, advantage in the Eyhance group (0.26 [0.15] logMAR vs 0.29 [0.15] logMAR; <i>P</i> > 0.05). Eyhance eyes demonstrated less residual refractive cylinder at 1 month (<i>P</i> < 0.01), which may be attributed to a higher rate of toric IOL use (<i>P</i> < 0.01). Patient-reported visual symptoms did not differ between groups. Thirteen studies were identified that compared the Eyhance and standard monofocal IOLs. Across the studies analyzed, the Eyhance group showed better monocular and binocular UNVA with mean (SD) differences of - 0.10 (0.20) logMAR and - 0.10 (0.21) logMAR, respectively (both <i>P</i> < 0.01), as well as improved binocular uncorrected intermediate visual acuity (UIVA) (mean difference [SD]: -0.10 [0.18] logMAR; <i>P</i> < 0.01). These studies also showed low rates of glare and halos for both IOLs.</p><p><strong>Conclusions: </strong>Patients receiving the TECNIS Eyhance IOL had better binocular UNVA compared to those with a standard monofocal IOL, consistent with published literature. The Eyhance IOL also showed better binocular UIVA and monocular UNVA across the studies reviewed. Both enhanced and standard monofocal IOLs demonstrate excellent distance vision and have similar levels of photic phenomena. Nevertheless, the Eyhance IOL shows promising potential for improving intermediate and near vision.</p>","PeriodicalId":36524,"journal":{"name":"Medical Hypothesis, Discovery, and Innovation in Ophthalmology","volume":"14 2","pages":"28-39"},"PeriodicalIF":0.0000,"publicationDate":"2025-07-31","publicationTypes":"Journal Article","fieldsOfStudy":null,"isOpenAccess":false,"openAccessPdf":"https://www.ncbi.nlm.nih.gov/pmc/articles/PMC12330043/pdf/","citationCount":"0","resultStr":"{\"title\":\"A comparative study and review of visual outcomes with enhanced versus standard monofocal intraocular lenses following cataract surgery.\",\"authors\":\"Triston B Crook, Mina M Sitto, Ethan J Lindberg, Phillip C Hoopes, Majid Moshirfar\",\"doi\":\"10.51329/mehdiophthal1521\",\"DOIUrl\":null,\"url\":null,\"abstract\":\"<p><strong>Background: </strong>Recent innovations in intraocular lens (IOL) design have introduced extended depth of focus lenses, which has shown promise in improving visual acuity at multiple distances while preserving the distance vision provided by a standard monofocal IOL. This study aimed to evaluate the visual outcomes of TECNIS Eyhance, a monofocal IOL with enhanced intermediate function, and a standard TECNIS monofocal 1-piece IOL, and to review published studies comparing the clinical performance between the TECNIS Eyhance and standard IOLs.</p><p><strong>Methods: </strong>A retrospective analysis was conducted on patients who underwent cataract extraction with bilateral implantation of either TECNIS Eyhance IOLs or TECNIS Monofocal 1-Piece IOLs. Primary outcomes included monocular and binocular uncorrected distance visual acuity (UDVA), uncorrected near visual acuity (UNVA), and corrected distance visual acuity (CDVA), and manifest refraction. Outcomes such as glare, halos, and dry eye were also assessed. A literature review was performed to identify studies evaluating the clinical outcomes of TECNIS Eyhance and standard TECNIS monofocal IOLs.</p><p><strong>Results: </strong>In total 108 patients (216 eyes) underwent bilateral implantation with either TECNIS Eyhance (104 eyes) or TECNIS Monofocal 1-Piece (112 eyes) IOLs. The mean (standard deviation [SD]) binocular UNVA was better in the Eyhance group at 1 month (0.18 [0.13] logMAR) compared to the standard monofocal group (0.24 [0.14] logMAR; <i>P</i> < 0.05). A greater proportion of Eyhance patients achieved binocular UNVA of 20/25 or better (46.9% vs 21.8%; <i>P</i> < 0.01), and 20/32 or better (65.3% vs 45.5%; <i>P</i> < 0.05). However, there was no significant difference for 20/20 visual acuity (20.4% vs 18.2%; <i>P</i> > 0.05). No significant differences were observed in postoperative UDVA or CDVA between groups (both <i>P</i> > 0.05). The mean (SD) monocular UNVA showed a slight, but non-significant, advantage in the Eyhance group (0.26 [0.15] logMAR vs 0.29 [0.15] logMAR; <i>P</i> > 0.05). Eyhance eyes demonstrated less residual refractive cylinder at 1 month (<i>P</i> < 0.01), which may be attributed to a higher rate of toric IOL use (<i>P</i> < 0.01). Patient-reported visual symptoms did not differ between groups. Thirteen studies were identified that compared the Eyhance and standard monofocal IOLs. Across the studies analyzed, the Eyhance group showed better monocular and binocular UNVA with mean (SD) differences of - 0.10 (0.20) logMAR and - 0.10 (0.21) logMAR, respectively (both <i>P</i> < 0.01), as well as improved binocular uncorrected intermediate visual acuity (UIVA) (mean difference [SD]: -0.10 [0.18] logMAR; <i>P</i> < 0.01). These studies also showed low rates of glare and halos for both IOLs.</p><p><strong>Conclusions: </strong>Patients receiving the TECNIS Eyhance IOL had better binocular UNVA compared to those with a standard monofocal IOL, consistent with published literature. The Eyhance IOL also showed better binocular UIVA and monocular UNVA across the studies reviewed. Both enhanced and standard monofocal IOLs demonstrate excellent distance vision and have similar levels of photic phenomena. Nevertheless, the Eyhance IOL shows promising potential for improving intermediate and near vision.</p>\",\"PeriodicalId\":36524,\"journal\":{\"name\":\"Medical Hypothesis, Discovery, and Innovation in Ophthalmology\",\"volume\":\"14 2\",\"pages\":\"28-39\"},\"PeriodicalIF\":0.0000,\"publicationDate\":\"2025-07-31\",\"publicationTypes\":\"Journal Article\",\"fieldsOfStudy\":null,\"isOpenAccess\":false,\"openAccessPdf\":\"https://www.ncbi.nlm.nih.gov/pmc/articles/PMC12330043/pdf/\",\"citationCount\":\"0\",\"resultStr\":null,\"platform\":\"Semanticscholar\",\"paperid\":null,\"PeriodicalName\":\"Medical Hypothesis, Discovery, and Innovation in Ophthalmology\",\"FirstCategoryId\":\"1085\",\"ListUrlMain\":\"https://doi.org/10.51329/mehdiophthal1521\",\"RegionNum\":0,\"RegionCategory\":null,\"ArticlePicture\":[],\"TitleCN\":null,\"AbstractTextCN\":null,\"PMCID\":null,\"EPubDate\":\"2025/1/1 0:00:00\",\"PubModel\":\"eCollection\",\"JCR\":\"Q2\",\"JCRName\":\"Medicine\",\"Score\":null,\"Total\":0}","platform":"Semanticscholar","paperid":null,"PeriodicalName":"Medical Hypothesis, Discovery, and Innovation in Ophthalmology","FirstCategoryId":"1085","ListUrlMain":"https://doi.org/10.51329/mehdiophthal1521","RegionNum":0,"RegionCategory":null,"ArticlePicture":[],"TitleCN":null,"AbstractTextCN":null,"PMCID":null,"EPubDate":"2025/1/1 0:00:00","PubModel":"eCollection","JCR":"Q2","JCRName":"Medicine","Score":null,"Total":0}
引用次数: 0

摘要

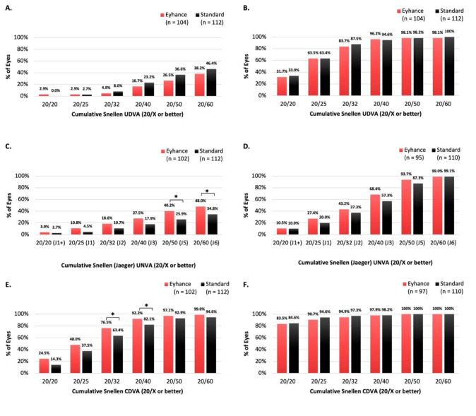
背景:最近人工晶状体(IOL)设计的创新引入了扩展聚焦深度的晶状体,它在保持标准单焦点人工晶状体提供的远距离视力的同时,有望提高多个距离的视力。本研究旨在评估TECNIS Eyhance(一种增强中间功能的单焦点IOL)和标准TECNIS单焦点1片IOL的视力结果,并回顾已发表的研究,比较TECNIS Eyhance和标准IOL的临床表现。方法:回顾性分析行白内障摘出术并双侧植入TECNIS enhanced人工晶体或TECNIS单焦点1片人工晶体的患者。主要结果包括单眼和双眼未矫正的距离视力(UDVA)、未矫正的近视力(UNVA)、矫正的距离视力(CDVA)和明显屈光。还评估了眩光、光晕和干眼等结果。我们进行了一项文献综述,以确定评估TECNIS Eyhance和标准TECNIS单焦点人工晶体临床结果的研究。结果:108例患者(216眼)行双侧TECNIS Eyhance(104眼)或TECNIS单焦点1片人工晶体(112眼)植入术。Eyhance组1个月时双眼UNVA均值(标准差[SD])优于标准单焦点组(0.24 [0.14]logMAR;P < 0.05)。Eyhance患者双眼UNVA达到20/25或更好的比例更高(46.9% vs 21.8%;P < 0.01), 20/32或更好(65.3% vs 45.5%;P < 0.05)。然而,两组在20/20视力方面无显著差异(20.4% vs 18.2%;P < 0.05)。两组患者术后UDVA、CDVA差异无统计学意义(P < 0.05)。平均(SD)单目UNVA在Eyhance组显示轻微但不显著的优势(0.26 [0.15]logMAR vs 0.29 [0.15] logMAR;P < 0.05)。增强眼在1个月时屈光柱残留较少(P < 0.01),这可能是由于环形人工晶状体的使用率较高(P < 0.01)。患者报告的视觉症状在两组之间没有差异。13项研究将Eyhance人工晶状体与标准单焦点人工晶状体进行了比较。在分析的研究中,Eyhance组表现出更好的单眼和双目UNVA,平均(SD)差异分别为-0.10 (0.20)logMAR和-0.10 (0.21)logMAR (P均< 0.01),并改善了双眼未矫正的中间视力(UIVA)(平均差异[SD]: -0.10 [0.18] logMAR;P < 0.01)。这些研究还表明,两种人工晶状体的眩光和光晕发生率都很低。结论:与标准单焦点IOL相比,接受TECNIS Eyhance IOL的患者双眼UNVA更好,与已发表的文献一致。在回顾的研究中,Eyhance人工晶状体也显示出更好的双目uva和单眼UNVA。增强型和标准单焦点iol均表现出良好的远视力,并且具有相似的光现象水平。然而,Eyhance人工晶状体在改善中视力和近视力方面显示出良好的潜力。
本文章由计算机程序翻译,如有差异,请以英文原文为准。

A comparative study and review of visual outcomes with enhanced versus standard monofocal intraocular lenses following cataract surgery.

A comparative study and review of visual outcomes with enhanced versus standard monofocal intraocular lenses following cataract surgery.

A comparative study and review of visual outcomes with enhanced versus standard monofocal intraocular lenses following cataract surgery.

A comparative study and review of visual outcomes with enhanced versus standard monofocal intraocular lenses following cataract surgery.

Background: Recent innovations in intraocular lens (IOL) design have introduced extended depth of focus lenses, which has shown promise in improving visual acuity at multiple distances while preserving the distance vision provided by a standard monofocal IOL. This study aimed to evaluate the visual outcomes of TECNIS Eyhance, a monofocal IOL with enhanced intermediate function, and a standard TECNIS monofocal 1-piece IOL, and to review published studies comparing the clinical performance between the TECNIS Eyhance and standard IOLs.

Methods: A retrospective analysis was conducted on patients who underwent cataract extraction with bilateral implantation of either TECNIS Eyhance IOLs or TECNIS Monofocal 1-Piece IOLs. Primary outcomes included monocular and binocular uncorrected distance visual acuity (UDVA), uncorrected near visual acuity (UNVA), and corrected distance visual acuity (CDVA), and manifest refraction. Outcomes such as glare, halos, and dry eye were also assessed. A literature review was performed to identify studies evaluating the clinical outcomes of TECNIS Eyhance and standard TECNIS monofocal IOLs.

Results: In total 108 patients (216 eyes) underwent bilateral implantation with either TECNIS Eyhance (104 eyes) or TECNIS Monofocal 1-Piece (112 eyes) IOLs. The mean (standard deviation [SD]) binocular UNVA was better in the Eyhance group at 1 month (0.18 [0.13] logMAR) compared to the standard monofocal group (0.24 [0.14] logMAR; P < 0.05). A greater proportion of Eyhance patients achieved binocular UNVA of 20/25 or better (46.9% vs 21.8%; P < 0.01), and 20/32 or better (65.3% vs 45.5%; P < 0.05). However, there was no significant difference for 20/20 visual acuity (20.4% vs 18.2%; P > 0.05). No significant differences were observed in postoperative UDVA or CDVA between groups (both P > 0.05). The mean (SD) monocular UNVA showed a slight, but non-significant, advantage in the Eyhance group (0.26 [0.15] logMAR vs 0.29 [0.15] logMAR; P > 0.05). Eyhance eyes demonstrated less residual refractive cylinder at 1 month (P < 0.01), which may be attributed to a higher rate of toric IOL use (P < 0.01). Patient-reported visual symptoms did not differ between groups. Thirteen studies were identified that compared the Eyhance and standard monofocal IOLs. Across the studies analyzed, the Eyhance group showed better monocular and binocular UNVA with mean (SD) differences of - 0.10 (0.20) logMAR and - 0.10 (0.21) logMAR, respectively (both P < 0.01), as well as improved binocular uncorrected intermediate visual acuity (UIVA) (mean difference [SD]: -0.10 [0.18] logMAR; P < 0.01). These studies also showed low rates of glare and halos for both IOLs.

Conclusions: Patients receiving the TECNIS Eyhance IOL had better binocular UNVA compared to those with a standard monofocal IOL, consistent with published literature. The Eyhance IOL also showed better binocular UIVA and monocular UNVA across the studies reviewed. Both enhanced and standard monofocal IOLs demonstrate excellent distance vision and have similar levels of photic phenomena. Nevertheless, the Eyhance IOL shows promising potential for improving intermediate and near vision.

求助全文
通过发布文献求助,成功后即可免费获取论文全文。 去求助
来源期刊
CiteScore
2.00
自引率
0.00%
发文量
19
×
引用
GB/T 7714-2015
复制
MLA
复制
APA
复制
导出至
BibTeX EndNote RefMan NoteFirst NoteExpress
×
提示
您的信息不完整,为了账户安全,请先补充。
现在去补充
×
提示
您因"违规操作"
具体请查看互助需知
我知道了
×
提示
确定
请完成安全验证×
copy
已复制链接
快去分享给好友吧!
我知道了
右上角分享
点击右上角分享
0
联系我们:info@booksci.cn Book学术提供免费学术资源搜索服务,方便国内外学者检索中英文文献。致力于提供最便捷和优质的服务体验。 Copyright © 2023 布克学术 All rights reserved.
京ICP备2023020795号-1
ghs 京公网安备 11010802042870号
Book学术文献互助
Book学术文献互助群
群 号:604180095
Book学术官方微信