男性血清HMGB2水平与腹主动脉瘤的关系:HMGB2- trem通路的研究

IF 1.3 4区 医学 Q3 CARDIAC & CARDIOVASCULAR SYSTEMS
Reviews in cardiovascular medicine Pub Date : 2025-07-18 eCollection Date: 2025-07-01 DOI:10.31083/RCM33511
Liting Pan, Junji Chen, Yanjun Sun, Fang Wang
{"title":"男性血清HMGB2水平与腹主动脉瘤的关系:HMGB2- trem通路的研究","authors":"Liting Pan, Junji Chen, Yanjun Sun, Fang Wang","doi":"10.31083/RCM33511","DOIUrl":null,"url":null,"abstract":"<p><strong>Background: </strong>Abdominal aortic aneurysm (AAA) is a major public health challenge and presents high mortality due to diagnostic and therapeutic difficulties. This study investigated the role of high-mobility group box2 (HMGB2) and the HMGB2-triggering receptor expressed on the myeloid cell (TREM) pathway in male AAA patients. The goal was to evaluate HMGB2 as a novel biomarker and to elucidate its contribution to the pathogenesis of AAA. Our findings offer new insights into AAA biology and highlight the potential application of HMGB2 for early detection and therapeutic targeting.</p><p><strong>Methods: </strong>This retrospective case-control study included 36 male AAA patients and 41 male controls with balanced baseline characteristics. HMGB1, HMGB2, soluble TREM-1 (sTREM-1), and sTREM-2 serum levels were measured by enzyme-linked immunosorbent assay (ELISA). The association between HMGB2 and AAA was analyzed using multivariate logistic regression, while the diagnostic performance of HMGB2 was assessed using receiver operating characteristic (ROC) curves.</p><p><strong>Results: </strong>Elevated HMGB2 and HMGB1 levels were associated with higher risks of AAA (HMGB2: OR: 1.158, 95% CI: 1.011-1.325; <i>p</i> < 0.05; HMGB1: OR: 1.275, 95% CI: 1.048-1.551; <i>p</i> < 0.05) and aneurysm rupture (HMGB2: OR: 1.117, 95% CI: 1.005-1.241; <i>p</i> < 0.05; HMGB1: OR: 1.212, 95% CI: 1.003-1.465; <i>p</i> < 0.05). Meanwhile, sTREM-1 exhibited a negative correlation with AAA (OR: 0.991, 95% CI: 0.985-0.997; <i>p</i> < 0.01). The odds ratios of the fourth quartile HMGB2 and HMGB1 levels for AAA were 6.925-fold and 8.621-fold higher, respectively, than the first quartile levels. The HMGB2 serum level was positively correlated with a larger AAA diameter, with the diameter increasing progressively as the HMGB2 level increased. The area under the ROC curve (AUC) for predicting AAA was 0.713 for HMGB2, 0.677 for HMGB1, and 0.665 for sTREM-1. HMGB1 and sTREM-1 both correlated with HMGB2. Each HMGB1 quartile group exhibited a significant increase as HMGB2 increased. Further, sTREM-1 significantly increased at low to moderate HMGB2 levels but decreased in the highest HMGB2 quartile.</p><p><strong>Conclusion: </strong>Elevated HMGB2 serum levels are independently associated with the incidence of AAA in males. HMGB2-TREM pathway disruption may play a critical role in AAA pathogenesis.</p>","PeriodicalId":20989,"journal":{"name":"Reviews in cardiovascular medicine","volume":"26 7","pages":"33511"},"PeriodicalIF":1.3000,"publicationDate":"2025-07-18","publicationTypes":"Journal Article","fieldsOfStudy":null,"isOpenAccess":false,"openAccessPdf":"https://www.ncbi.nlm.nih.gov/pmc/articles/PMC12326447/pdf/","citationCount":"0","resultStr":"{\"title\":\"The Association Between Serum HMGB2 Levels and Abdominal Aortic Aneurysm in Males: Insights Into the HMGB2-TREM Pathway.\",\"authors\":\"Liting Pan, Junji Chen, Yanjun Sun, Fang Wang\",\"doi\":\"10.31083/RCM33511\",\"DOIUrl\":null,\"url\":null,\"abstract\":\"<p><strong>Background: </strong>Abdominal aortic aneurysm (AAA) is a major public health challenge and presents high mortality due to diagnostic and therapeutic difficulties. This study investigated the role of high-mobility group box2 (HMGB2) and the HMGB2-triggering receptor expressed on the myeloid cell (TREM) pathway in male AAA patients. The goal was to evaluate HMGB2 as a novel biomarker and to elucidate its contribution to the pathogenesis of AAA. Our findings offer new insights into AAA biology and highlight the potential application of HMGB2 for early detection and therapeutic targeting.</p><p><strong>Methods: </strong>This retrospective case-control study included 36 male AAA patients and 41 male controls with balanced baseline characteristics. HMGB1, HMGB2, soluble TREM-1 (sTREM-1), and sTREM-2 serum levels were measured by enzyme-linked immunosorbent assay (ELISA). The association between HMGB2 and AAA was analyzed using multivariate logistic regression, while the diagnostic performance of HMGB2 was assessed using receiver operating characteristic (ROC) curves.</p><p><strong>Results: </strong>Elevated HMGB2 and HMGB1 levels were associated with higher risks of AAA (HMGB2: OR: 1.158, 95% CI: 1.011-1.325; <i>p</i> < 0.05; HMGB1: OR: 1.275, 95% CI: 1.048-1.551; <i>p</i> < 0.05) and aneurysm rupture (HMGB2: OR: 1.117, 95% CI: 1.005-1.241; <i>p</i> < 0.05; HMGB1: OR: 1.212, 95% CI: 1.003-1.465; <i>p</i> < 0.05). Meanwhile, sTREM-1 exhibited a negative correlation with AAA (OR: 0.991, 95% CI: 0.985-0.997; <i>p</i> < 0.01). The odds ratios of the fourth quartile HMGB2 and HMGB1 levels for AAA were 6.925-fold and 8.621-fold higher, respectively, than the first quartile levels. The HMGB2 serum level was positively correlated with a larger AAA diameter, with the diameter increasing progressively as the HMGB2 level increased. The area under the ROC curve (AUC) for predicting AAA was 0.713 for HMGB2, 0.677 for HMGB1, and 0.665 for sTREM-1. HMGB1 and sTREM-1 both correlated with HMGB2. Each HMGB1 quartile group exhibited a significant increase as HMGB2 increased. Further, sTREM-1 significantly increased at low to moderate HMGB2 levels but decreased in the highest HMGB2 quartile.</p><p><strong>Conclusion: </strong>Elevated HMGB2 serum levels are independently associated with the incidence of AAA in males. HMGB2-TREM pathway disruption may play a critical role in AAA pathogenesis.</p>\",\"PeriodicalId\":20989,\"journal\":{\"name\":\"Reviews in cardiovascular medicine\",\"volume\":\"26 7\",\"pages\":\"33511\"},\"PeriodicalIF\":1.3000,\"publicationDate\":\"2025-07-18\",\"publicationTypes\":\"Journal Article\",\"fieldsOfStudy\":null,\"isOpenAccess\":false,\"openAccessPdf\":\"https://www.ncbi.nlm.nih.gov/pmc/articles/PMC12326447/pdf/\",\"citationCount\":\"0\",\"resultStr\":null,\"platform\":\"Semanticscholar\",\"paperid\":null,\"PeriodicalName\":\"Reviews in cardiovascular medicine\",\"FirstCategoryId\":\"3\",\"ListUrlMain\":\"https://doi.org/10.31083/RCM33511\",\"RegionNum\":4,\"RegionCategory\":\"医学\",\"ArticlePicture\":[],\"TitleCN\":null,\"AbstractTextCN\":null,\"PMCID\":null,\"EPubDate\":\"2025/7/1 0:00:00\",\"PubModel\":\"eCollection\",\"JCR\":\"Q3\",\"JCRName\":\"CARDIAC & CARDIOVASCULAR SYSTEMS\",\"Score\":null,\"Total\":0}","platform":"Semanticscholar","paperid":null,"PeriodicalName":"Reviews in cardiovascular medicine","FirstCategoryId":"3","ListUrlMain":"https://doi.org/10.31083/RCM33511","RegionNum":4,"RegionCategory":"医学","ArticlePicture":[],"TitleCN":null,"AbstractTextCN":null,"PMCID":null,"EPubDate":"2025/7/1 0:00:00","PubModel":"eCollection","JCR":"Q3","JCRName":"CARDIAC & CARDIOVASCULAR SYSTEMS","Score":null,"Total":0}
引用次数: 0

摘要

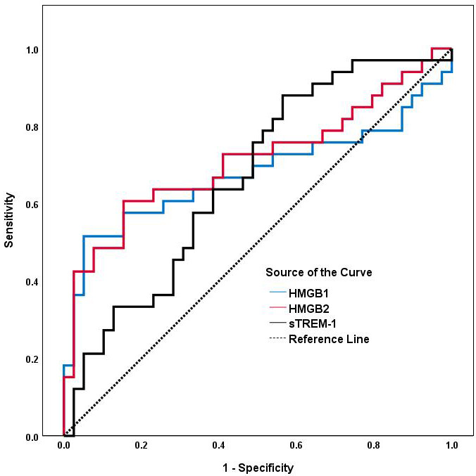
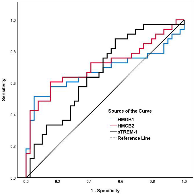
背景:腹主动脉瘤(AAA)是一个重大的公共卫生挑战,由于诊断和治疗困难,死亡率很高。本研究探讨了高迁移率组盒2 (HMGB2)和HMGB2触发受体在男性AAA患者髓样细胞(TREM)通路上表达的作用。目的是评估HMGB2作为一种新的生物标志物,并阐明其在AAA发病机制中的作用。我们的研究结果为AAA生物学提供了新的见解,并强调了HMGB2在早期检测和治疗靶向方面的潜在应用。方法:本回顾性病例对照研究纳入36例男性AAA患者和41例基线特征平衡的男性对照。采用酶联免疫吸附法(ELISA)检测血清HMGB1、HMGB2、可溶性TREM-1 (sTREM-1)、sTREM-2水平。采用多变量logistic回归分析HMGB2与AAA的相关性,采用受试者工作特征(ROC)曲线评估HMGB2的诊断效能。结果:HMGB2和HMGB1水平升高与AAA的高风险相关(HMGB2: OR: 1.158, 95% CI: 1.011-1.325;P < 0.05;Hmgb1: or: 1.275, 95% ci: 1.048-1.551;p < 0.05)和动脉瘤破裂(HMGB2: OR: 1.117, 95% CI: 1.005-1.241;P < 0.05;Hmgb1: or: 1.212, 95% ci: 1.003-1.465;P < 0.05)。sTREM-1与AAA呈负相关(OR: 0.991, 95% CI: 0.985 ~ 0.997;P < 0.01)。第4四分位数HMGB2和HMGB1水平与AAA的比值比分别为第1四分位数的6.925倍和8.621倍。血清HMGB2水平与AAA直径增大呈正相关,且随着HMGB2水平的增加,AAA直径逐渐增大。预测AAA的ROC曲线下面积(AUC) HMGB2为0.713,HMGB1为0.677,sTREM-1为0.665。HMGB1和sTREM-1均与HMGB2相关。随着HMGB2的增加,各HMGB1四分位数组均显著升高。此外,sTREM-1在低至中等HMGB2水平显著增加,但在HMGB2最高的四分位数下降。结论:HMGB2血清水平升高与男性AAA发病率独立相关。HMGB2-TREM通路破坏可能在AAA发病机制中起关键作用。
本文章由计算机程序翻译,如有差异,请以英文原文为准。

The Association Between Serum HMGB2 Levels and Abdominal Aortic Aneurysm in Males: Insights Into the HMGB2-TREM Pathway.

The Association Between Serum HMGB2 Levels and Abdominal Aortic Aneurysm in Males: Insights Into the HMGB2-TREM Pathway.

The Association Between Serum HMGB2 Levels and Abdominal Aortic Aneurysm in Males: Insights Into the HMGB2-TREM Pathway.

The Association Between Serum HMGB2 Levels and Abdominal Aortic Aneurysm in Males: Insights Into the HMGB2-TREM Pathway.

The Association Between Serum HMGB2 Levels and Abdominal Aortic Aneurysm in Males: Insights Into the HMGB2-TREM Pathway.

The Association Between Serum HMGB2 Levels and Abdominal Aortic Aneurysm in Males: Insights Into the HMGB2-TREM Pathway.

The Association Between Serum HMGB2 Levels and Abdominal Aortic Aneurysm in Males: Insights Into the HMGB2-TREM Pathway.

Background: Abdominal aortic aneurysm (AAA) is a major public health challenge and presents high mortality due to diagnostic and therapeutic difficulties. This study investigated the role of high-mobility group box2 (HMGB2) and the HMGB2-triggering receptor expressed on the myeloid cell (TREM) pathway in male AAA patients. The goal was to evaluate HMGB2 as a novel biomarker and to elucidate its contribution to the pathogenesis of AAA. Our findings offer new insights into AAA biology and highlight the potential application of HMGB2 for early detection and therapeutic targeting.

Methods: This retrospective case-control study included 36 male AAA patients and 41 male controls with balanced baseline characteristics. HMGB1, HMGB2, soluble TREM-1 (sTREM-1), and sTREM-2 serum levels were measured by enzyme-linked immunosorbent assay (ELISA). The association between HMGB2 and AAA was analyzed using multivariate logistic regression, while the diagnostic performance of HMGB2 was assessed using receiver operating characteristic (ROC) curves.

Results: Elevated HMGB2 and HMGB1 levels were associated with higher risks of AAA (HMGB2: OR: 1.158, 95% CI: 1.011-1.325; p < 0.05; HMGB1: OR: 1.275, 95% CI: 1.048-1.551; p < 0.05) and aneurysm rupture (HMGB2: OR: 1.117, 95% CI: 1.005-1.241; p < 0.05; HMGB1: OR: 1.212, 95% CI: 1.003-1.465; p < 0.05). Meanwhile, sTREM-1 exhibited a negative correlation with AAA (OR: 0.991, 95% CI: 0.985-0.997; p < 0.01). The odds ratios of the fourth quartile HMGB2 and HMGB1 levels for AAA were 6.925-fold and 8.621-fold higher, respectively, than the first quartile levels. The HMGB2 serum level was positively correlated with a larger AAA diameter, with the diameter increasing progressively as the HMGB2 level increased. The area under the ROC curve (AUC) for predicting AAA was 0.713 for HMGB2, 0.677 for HMGB1, and 0.665 for sTREM-1. HMGB1 and sTREM-1 both correlated with HMGB2. Each HMGB1 quartile group exhibited a significant increase as HMGB2 increased. Further, sTREM-1 significantly increased at low to moderate HMGB2 levels but decreased in the highest HMGB2 quartile.

Conclusion: Elevated HMGB2 serum levels are independently associated with the incidence of AAA in males. HMGB2-TREM pathway disruption may play a critical role in AAA pathogenesis.

求助全文
通过发布文献求助,成功后即可免费获取论文全文。 去求助
来源期刊
Reviews in cardiovascular medicine
Reviews in cardiovascular medicine 医学-心血管系统
CiteScore
2.70
自引率
3.70%
发文量
377
审稿时长
1 months
期刊介绍: RCM is an international, peer-reviewed, open access journal. RCM publishes research articles, review papers and short communications on cardiovascular medicine as well as research on cardiovascular disease. We aim to provide a forum for publishing papers which explore the pathogenesis and promote the progression of cardiac and vascular diseases. We also seek to establish an interdisciplinary platform, focusing on translational issues, to facilitate the advancement of research, clinical treatment and diagnostic procedures. Heart surgery, cardiovascular imaging, risk factors and various clinical cardiac & vascular research will be considered.
×
引用
GB/T 7714-2015
复制
MLA
复制
APA
复制
导出至
BibTeX EndNote RefMan NoteFirst NoteExpress
×
提示
您的信息不完整,为了账户安全,请先补充。
现在去补充
×
提示
您因"违规操作"
具体请查看互助需知
我知道了
×
提示
确定
请完成安全验证×
copy
已复制链接
快去分享给好友吧!
我知道了
右上角分享
点击右上角分享
0
联系我们:info@booksci.cn Book学术提供免费学术资源搜索服务,方便国内外学者检索中英文文献。致力于提供最便捷和优质的服务体验。 Copyright © 2023 布克学术 All rights reserved.
京ICP备2023020795号-1
ghs 京公网安备 11010802042870号
Book学术文献互助
Book学术文献互助群
群 号:604180095
Book学术官方微信