急性冠脉综合征患者的肾功能障碍、冠状动脉病变复杂性和不良心血管结局。

IF 1.3 4区 医学 Q3 CARDIAC & CARDIOVASCULAR SYSTEMS
Reviews in cardiovascular medicine Pub Date : 2025-07-23 eCollection Date: 2025-07-01 DOI:10.31083/RCM38389
Qiang Chen, Yike Li, Siqi Yang, Haoming He, Yingying Xie, Wei Wang, Long Wang, Yanxiang Gao, Lin Cai, Shiqiang Xiong, Jingang Zheng
{"title":"急性冠脉综合征患者的肾功能障碍、冠状动脉病变复杂性和不良心血管结局。","authors":"Qiang Chen, Yike Li, Siqi Yang, Haoming He, Yingying Xie, Wei Wang, Long Wang, Yanxiang Gao, Lin Cai, Shiqiang Xiong, Jingang Zheng","doi":"10.31083/RCM38389","DOIUrl":null,"url":null,"abstract":"<p><strong>Background: </strong>Renal dysfunction is linked to both the complexity of coronary artery lesions and the prognosis of acute coronary syndrome (ACS). However, the nature of this intricate relationship remains unclear. Therefore, this study aimed to investigate the mechanisms through which coronary lesion complexity mediates the association between renal dysfunction and adverse cardiovascular outcomes in patients with ACS.</p><p><strong>Methods: </strong>This analysis included 1400 ACS patients who underwent percutaneous coronary intervention (PCI). Renal function was assessed using the estimated glomerular filtration rate (eGFR), calculated according to the 2021 Chronic Kidney Disease Epidemiology Collaboration (CKD-EPI) equation, which incorporates both creatinine and cystatin C. Coronary lesion complexity was evaluated using the baseline SYNTAX score (bSS). The associations among eGFR, bSS, and major adverse cardiovascular events (MACEs) were examined using survival analysis, restricted cubic spline (RCS) analysis, and mediation analysis.</p><p><strong>Results: </strong>A total of 229 MACEs (16.4%) occurred over a median follow-up of 31.03 (27.34, 35.06) months, including 99 all-cause deaths (7.0%), 41 myocardial infarctions (2.9%), and 123 unplanned revascularizations (8.9%). After multivariate adjustment, both the eGFR and bSS significantly predicted MACEs across the total population and various subgroups. Mediation analysis showed that bSS mediated 16.49%, 14.76%, 12.87%, and 11.95% of the correlation between eGFR and MACEs in different adjusted models.</p><p><strong>Conclusion: </strong>The relationship between renal dysfunction and MACEs in ACS patients is partially mediated by coronary lesion complexity. This finding underscores the importance of integrating kidney function assessments with coronary anatomical evaluations to develop individualized risk stratification strategies.</p>","PeriodicalId":20989,"journal":{"name":"Reviews in cardiovascular medicine","volume":"26 7","pages":"38389"},"PeriodicalIF":1.3000,"publicationDate":"2025-07-23","publicationTypes":"Journal Article","fieldsOfStudy":null,"isOpenAccess":false,"openAccessPdf":"https://www.ncbi.nlm.nih.gov/pmc/articles/PMC12326429/pdf/","citationCount":"0","resultStr":"{\"title\":\"Renal Dysfunction, Coronary Artery Lesion Complexity, and Adverse Cardiovascular Outcomes in Patients With Acute Coronary Syndrome.\",\"authors\":\"Qiang Chen, Yike Li, Siqi Yang, Haoming He, Yingying Xie, Wei Wang, Long Wang, Yanxiang Gao, Lin Cai, Shiqiang Xiong, Jingang Zheng\",\"doi\":\"10.31083/RCM38389\",\"DOIUrl\":null,\"url\":null,\"abstract\":\"<p><strong>Background: </strong>Renal dysfunction is linked to both the complexity of coronary artery lesions and the prognosis of acute coronary syndrome (ACS). However, the nature of this intricate relationship remains unclear. Therefore, this study aimed to investigate the mechanisms through which coronary lesion complexity mediates the association between renal dysfunction and adverse cardiovascular outcomes in patients with ACS.</p><p><strong>Methods: </strong>This analysis included 1400 ACS patients who underwent percutaneous coronary intervention (PCI). Renal function was assessed using the estimated glomerular filtration rate (eGFR), calculated according to the 2021 Chronic Kidney Disease Epidemiology Collaboration (CKD-EPI) equation, which incorporates both creatinine and cystatin C. Coronary lesion complexity was evaluated using the baseline SYNTAX score (bSS). The associations among eGFR, bSS, and major adverse cardiovascular events (MACEs) were examined using survival analysis, restricted cubic spline (RCS) analysis, and mediation analysis.</p><p><strong>Results: </strong>A total of 229 MACEs (16.4%) occurred over a median follow-up of 31.03 (27.34, 35.06) months, including 99 all-cause deaths (7.0%), 41 myocardial infarctions (2.9%), and 123 unplanned revascularizations (8.9%). After multivariate adjustment, both the eGFR and bSS significantly predicted MACEs across the total population and various subgroups. Mediation analysis showed that bSS mediated 16.49%, 14.76%, 12.87%, and 11.95% of the correlation between eGFR and MACEs in different adjusted models.</p><p><strong>Conclusion: </strong>The relationship between renal dysfunction and MACEs in ACS patients is partially mediated by coronary lesion complexity. This finding underscores the importance of integrating kidney function assessments with coronary anatomical evaluations to develop individualized risk stratification strategies.</p>\",\"PeriodicalId\":20989,\"journal\":{\"name\":\"Reviews in cardiovascular medicine\",\"volume\":\"26 7\",\"pages\":\"38389\"},\"PeriodicalIF\":1.3000,\"publicationDate\":\"2025-07-23\",\"publicationTypes\":\"Journal Article\",\"fieldsOfStudy\":null,\"isOpenAccess\":false,\"openAccessPdf\":\"https://www.ncbi.nlm.nih.gov/pmc/articles/PMC12326429/pdf/\",\"citationCount\":\"0\",\"resultStr\":null,\"platform\":\"Semanticscholar\",\"paperid\":null,\"PeriodicalName\":\"Reviews in cardiovascular medicine\",\"FirstCategoryId\":\"3\",\"ListUrlMain\":\"https://doi.org/10.31083/RCM38389\",\"RegionNum\":4,\"RegionCategory\":\"医学\",\"ArticlePicture\":[],\"TitleCN\":null,\"AbstractTextCN\":null,\"PMCID\":null,\"EPubDate\":\"2025/7/1 0:00:00\",\"PubModel\":\"eCollection\",\"JCR\":\"Q3\",\"JCRName\":\"CARDIAC & CARDIOVASCULAR SYSTEMS\",\"Score\":null,\"Total\":0}","platform":"Semanticscholar","paperid":null,"PeriodicalName":"Reviews in cardiovascular medicine","FirstCategoryId":"3","ListUrlMain":"https://doi.org/10.31083/RCM38389","RegionNum":4,"RegionCategory":"医学","ArticlePicture":[],"TitleCN":null,"AbstractTextCN":null,"PMCID":null,"EPubDate":"2025/7/1 0:00:00","PubModel":"eCollection","JCR":"Q3","JCRName":"CARDIAC & CARDIOVASCULAR SYSTEMS","Score":null,"Total":0}
引用次数: 0

摘要

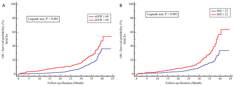
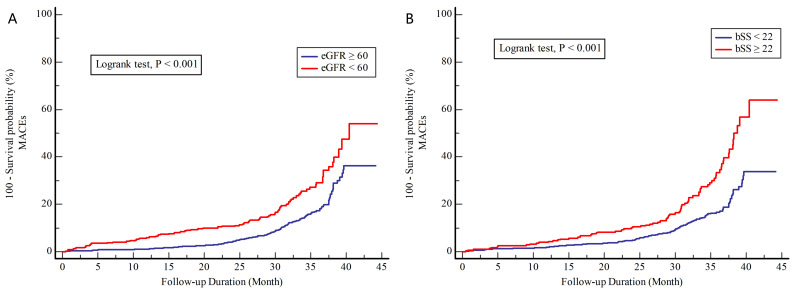
背景:肾功能障碍与冠状动脉病变的复杂性和急性冠状动脉综合征(ACS)的预后有关。然而,这种复杂关系的本质仍不清楚。因此,本研究旨在探讨冠脉病变复杂性介导ACS患者肾功能不全与心血管不良结局之间关系的机制。方法:本研究纳入1400例经皮冠状动脉介入治疗(PCI)的ACS患者。根据2021年慢性肾脏疾病流行病学合作(CKD-EPI)方程计算的肾小球滤过率(eGFR)评估肾功能,其中包括肌酐和胱他汀c。冠状动脉病变复杂性使用基线SYNTAX评分(bSS)评估。使用生存分析、限制性三次样条(RCS)分析和中介分析来检验eGFR、bSS和主要不良心血管事件(mace)之间的关系。结果:在中位随访31.03(27.34,35.06)个月期间,共发生229例mace(16.4%),其中全因死亡99例(7.0%),心肌梗死41例(2.9%),计划外血运重建术123例(8.9%)。多因素调整后,eGFR和bSS均能显著预测总体人群和各亚组的mace。中介分析显示,在不同调整模型中,bSS介导eGFR与mace相关性的16.49%、14.76%、12.87%和11.95%。结论:ACS患者肾功能不全与MACEs的关系与冠脉病变复杂性有关。这一发现强调了将肾功能评估与冠状动脉解剖评估结合起来制定个体化风险分层策略的重要性。
本文章由计算机程序翻译,如有差异,请以英文原文为准。

Renal Dysfunction, Coronary Artery Lesion Complexity, and Adverse Cardiovascular Outcomes in Patients With Acute Coronary Syndrome.

Renal Dysfunction, Coronary Artery Lesion Complexity, and Adverse Cardiovascular Outcomes in Patients With Acute Coronary Syndrome.

Renal Dysfunction, Coronary Artery Lesion Complexity, and Adverse Cardiovascular Outcomes in Patients With Acute Coronary Syndrome.

Renal Dysfunction, Coronary Artery Lesion Complexity, and Adverse Cardiovascular Outcomes in Patients With Acute Coronary Syndrome.

Renal Dysfunction, Coronary Artery Lesion Complexity, and Adverse Cardiovascular Outcomes in Patients With Acute Coronary Syndrome.

Renal Dysfunction, Coronary Artery Lesion Complexity, and Adverse Cardiovascular Outcomes in Patients With Acute Coronary Syndrome.

Renal Dysfunction, Coronary Artery Lesion Complexity, and Adverse Cardiovascular Outcomes in Patients With Acute Coronary Syndrome.

Background: Renal dysfunction is linked to both the complexity of coronary artery lesions and the prognosis of acute coronary syndrome (ACS). However, the nature of this intricate relationship remains unclear. Therefore, this study aimed to investigate the mechanisms through which coronary lesion complexity mediates the association between renal dysfunction and adverse cardiovascular outcomes in patients with ACS.

Methods: This analysis included 1400 ACS patients who underwent percutaneous coronary intervention (PCI). Renal function was assessed using the estimated glomerular filtration rate (eGFR), calculated according to the 2021 Chronic Kidney Disease Epidemiology Collaboration (CKD-EPI) equation, which incorporates both creatinine and cystatin C. Coronary lesion complexity was evaluated using the baseline SYNTAX score (bSS). The associations among eGFR, bSS, and major adverse cardiovascular events (MACEs) were examined using survival analysis, restricted cubic spline (RCS) analysis, and mediation analysis.

Results: A total of 229 MACEs (16.4%) occurred over a median follow-up of 31.03 (27.34, 35.06) months, including 99 all-cause deaths (7.0%), 41 myocardial infarctions (2.9%), and 123 unplanned revascularizations (8.9%). After multivariate adjustment, both the eGFR and bSS significantly predicted MACEs across the total population and various subgroups. Mediation analysis showed that bSS mediated 16.49%, 14.76%, 12.87%, and 11.95% of the correlation between eGFR and MACEs in different adjusted models.

Conclusion: The relationship between renal dysfunction and MACEs in ACS patients is partially mediated by coronary lesion complexity. This finding underscores the importance of integrating kidney function assessments with coronary anatomical evaluations to develop individualized risk stratification strategies.

求助全文
通过发布文献求助,成功后即可免费获取论文全文。 去求助
来源期刊
Reviews in cardiovascular medicine
Reviews in cardiovascular medicine 医学-心血管系统
CiteScore
2.70
自引率
3.70%
发文量
377
审稿时长
1 months
期刊介绍: RCM is an international, peer-reviewed, open access journal. RCM publishes research articles, review papers and short communications on cardiovascular medicine as well as research on cardiovascular disease. We aim to provide a forum for publishing papers which explore the pathogenesis and promote the progression of cardiac and vascular diseases. We also seek to establish an interdisciplinary platform, focusing on translational issues, to facilitate the advancement of research, clinical treatment and diagnostic procedures. Heart surgery, cardiovascular imaging, risk factors and various clinical cardiac & vascular research will be considered.
×
引用
GB/T 7714-2015
复制
MLA
复制
APA
复制
导出至
BibTeX EndNote RefMan NoteFirst NoteExpress
×
提示
您的信息不完整,为了账户安全,请先补充。
现在去补充
×
提示
您因"违规操作"
具体请查看互助需知
我知道了
×
提示
确定
请完成安全验证×
copy
已复制链接
快去分享给好友吧!
我知道了
右上角分享
点击右上角分享
0
联系我们:info@booksci.cn Book学术提供免费学术资源搜索服务,方便国内外学者检索中英文文献。致力于提供最便捷和优质的服务体验。 Copyright © 2023 布克学术 All rights reserved.
京ICP备2023020795号-1
ghs 京公网安备 11010802042870号
Book学术文献互助
Book学术文献互助群
群 号:604180095
Book学术官方微信