内皮脂肪酶基因多态性与传统心血管危险因素相互作用对冠心病易感性的影响

IF 1.3 4区 医学 Q3 CARDIAC & CARDIOVASCULAR SYSTEMS
Reviews in cardiovascular medicine Pub Date : 2025-07-25 eCollection Date: 2025-07-01 DOI:10.31083/RCM37356
Chunhui He, Xingming Song, Ting He, Qing Tian, Yuhui Zhang, Halisha Airikenjiang, Dilihumaer Abulaiti, Haitang Qiu, Mengbo Zhu, Juan Yang, Jian Zhang, Ying Gao
{"title":"内皮脂肪酶基因多态性与传统心血管危险因素相互作用对冠心病易感性的影响","authors":"Chunhui He, Xingming Song, Ting He, Qing Tian, Yuhui Zhang, Halisha Airikenjiang, Dilihumaer Abulaiti, Haitang Qiu, Mengbo Zhu, Juan Yang, Jian Zhang, Ying Gao","doi":"10.31083/RCM37356","DOIUrl":null,"url":null,"abstract":"<p><strong>Background: </strong>Coronary heart disease (CHD) arises from a complex interplay of genetic and environmental factors. This study examines the influence of <i>endothelial lipase</i> gene polymorphisms (<i>rs2000813</i> and <i>rs3813082</i>) and their interactions with traditional cardiovascular risk factors on CHD susceptibility.</p><p><strong>Methods: </strong>This retrospective case-control study enrolled 900 CHD patients and 900 control subjects. We evaluated associations between conventional cardiovascular risk factors and polymorphisms at the <i>rs2000813</i> and <i>rs3813082</i> loci in the <i>endothelial lipase</i> gene. Multifactorial analysis was used to assess interactions between traditional risk factors and these polymorphisms. Additionally, we developed a predictive model integrating genetic variants and clinical variables to estimate CHD risk.</p><p><strong>Results: </strong>No significant differences were observed in the distribution of <i>rs2000813</i> genotypes (<i>CC</i>, <i>CT</i>, <i>TT</i>) and alleles (<i>C</i>, <i>T</i>), or <i>rs3813082</i> genotypes (<i>AA</i>, <i>AC</i>, <i>CC</i>) and alleles (<i>A</i>, <i>C</i>) between CHD and control groups, including among males. However, in females with CHD, the <i>rs2000813CT</i> genotype was significantly more frequent (49.30%) than in controls (37.80%), whereas the <i>CC</i> genotype was less frequent in the CHD group (45.00%) than in controls (55.20%). Multivariate logistic regression identified the <i>rs2000813CT</i> genotype, hypertension, ages ≥60 years, body mass index (BMI) values ≥28 kg/m<sup>2</sup>, total cholesterol (TC) ≥6.2 mmol/L, and apolipoprotein B (ApoB) ≥1.1 g/L as potential risk factors for CHD in women (<i>p</i> < 0.05). Gene-environment interaction analysis revealed that BMI exerted the greatest influence (12.62%). A predictive model incorporating <i>rs2000813</i> genotypes estimated CHD risk in women with an area under the curve (AUC) of 0.804.</p><p><strong>Conclusions: </strong>The <i>rs2000813CT</i> <i>endothelial lipase</i> genotype is potentially associated with an increased CHD risk in females, whereas the <i>CC</i> genotype may confer a protective effect. Integrating <i>endothelial lipase</i> gene variants with traditional cardiovascular risk factors enhances CHD risk prediction in women. Synergistic interaction between <i>endothelial lipase</i> polymorphisms and environmental factors appears to influence CHD occurrence in this population.</p>","PeriodicalId":20989,"journal":{"name":"Reviews in cardiovascular medicine","volume":"26 7","pages":"37356"},"PeriodicalIF":1.3000,"publicationDate":"2025-07-25","publicationTypes":"Journal Article","fieldsOfStudy":null,"isOpenAccess":false,"openAccessPdf":"https://www.ncbi.nlm.nih.gov/pmc/articles/PMC12326425/pdf/","citationCount":"0","resultStr":"{\"title\":\"Effect of Interactions Between Endothelial Lipase Gene Polymorphisms and Traditional Cardiovascular Risk Factors on Coronary Heart Disease Susceptibility.\",\"authors\":\"Chunhui He, Xingming Song, Ting He, Qing Tian, Yuhui Zhang, Halisha Airikenjiang, Dilihumaer Abulaiti, Haitang Qiu, Mengbo Zhu, Juan Yang, Jian Zhang, Ying Gao\",\"doi\":\"10.31083/RCM37356\",\"DOIUrl\":null,\"url\":null,\"abstract\":\"<p><strong>Background: </strong>Coronary heart disease (CHD) arises from a complex interplay of genetic and environmental factors. This study examines the influence of <i>endothelial lipase</i> gene polymorphisms (<i>rs2000813</i> and <i>rs3813082</i>) and their interactions with traditional cardiovascular risk factors on CHD susceptibility.</p><p><strong>Methods: </strong>This retrospective case-control study enrolled 900 CHD patients and 900 control subjects. We evaluated associations between conventional cardiovascular risk factors and polymorphisms at the <i>rs2000813</i> and <i>rs3813082</i> loci in the <i>endothelial lipase</i> gene. Multifactorial analysis was used to assess interactions between traditional risk factors and these polymorphisms. Additionally, we developed a predictive model integrating genetic variants and clinical variables to estimate CHD risk.</p><p><strong>Results: </strong>No significant differences were observed in the distribution of <i>rs2000813</i> genotypes (<i>CC</i>, <i>CT</i>, <i>TT</i>) and alleles (<i>C</i>, <i>T</i>), or <i>rs3813082</i> genotypes (<i>AA</i>, <i>AC</i>, <i>CC</i>) and alleles (<i>A</i>, <i>C</i>) between CHD and control groups, including among males. However, in females with CHD, the <i>rs2000813CT</i> genotype was significantly more frequent (49.30%) than in controls (37.80%), whereas the <i>CC</i> genotype was less frequent in the CHD group (45.00%) than in controls (55.20%). Multivariate logistic regression identified the <i>rs2000813CT</i> genotype, hypertension, ages ≥60 years, body mass index (BMI) values ≥28 kg/m<sup>2</sup>, total cholesterol (TC) ≥6.2 mmol/L, and apolipoprotein B (ApoB) ≥1.1 g/L as potential risk factors for CHD in women (<i>p</i> < 0.05). Gene-environment interaction analysis revealed that BMI exerted the greatest influence (12.62%). A predictive model incorporating <i>rs2000813</i> genotypes estimated CHD risk in women with an area under the curve (AUC) of 0.804.</p><p><strong>Conclusions: </strong>The <i>rs2000813CT</i> <i>endothelial lipase</i> genotype is potentially associated with an increased CHD risk in females, whereas the <i>CC</i> genotype may confer a protective effect. Integrating <i>endothelial lipase</i> gene variants with traditional cardiovascular risk factors enhances CHD risk prediction in women. Synergistic interaction between <i>endothelial lipase</i> polymorphisms and environmental factors appears to influence CHD occurrence in this population.</p>\",\"PeriodicalId\":20989,\"journal\":{\"name\":\"Reviews in cardiovascular medicine\",\"volume\":\"26 7\",\"pages\":\"37356\"},\"PeriodicalIF\":1.3000,\"publicationDate\":\"2025-07-25\",\"publicationTypes\":\"Journal Article\",\"fieldsOfStudy\":null,\"isOpenAccess\":false,\"openAccessPdf\":\"https://www.ncbi.nlm.nih.gov/pmc/articles/PMC12326425/pdf/\",\"citationCount\":\"0\",\"resultStr\":null,\"platform\":\"Semanticscholar\",\"paperid\":null,\"PeriodicalName\":\"Reviews in cardiovascular medicine\",\"FirstCategoryId\":\"3\",\"ListUrlMain\":\"https://doi.org/10.31083/RCM37356\",\"RegionNum\":4,\"RegionCategory\":\"医学\",\"ArticlePicture\":[],\"TitleCN\":null,\"AbstractTextCN\":null,\"PMCID\":null,\"EPubDate\":\"2025/7/1 0:00:00\",\"PubModel\":\"eCollection\",\"JCR\":\"Q3\",\"JCRName\":\"CARDIAC & CARDIOVASCULAR SYSTEMS\",\"Score\":null,\"Total\":0}","platform":"Semanticscholar","paperid":null,"PeriodicalName":"Reviews in cardiovascular medicine","FirstCategoryId":"3","ListUrlMain":"https://doi.org/10.31083/RCM37356","RegionNum":4,"RegionCategory":"医学","ArticlePicture":[],"TitleCN":null,"AbstractTextCN":null,"PMCID":null,"EPubDate":"2025/7/1 0:00:00","PubModel":"eCollection","JCR":"Q3","JCRName":"CARDIAC & CARDIOVASCULAR SYSTEMS","Score":null,"Total":0}
引用次数: 0

摘要

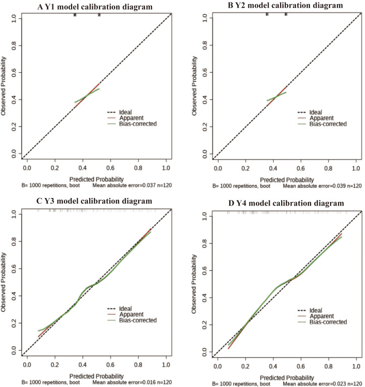
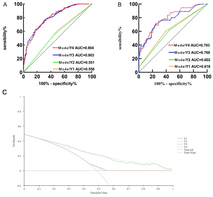
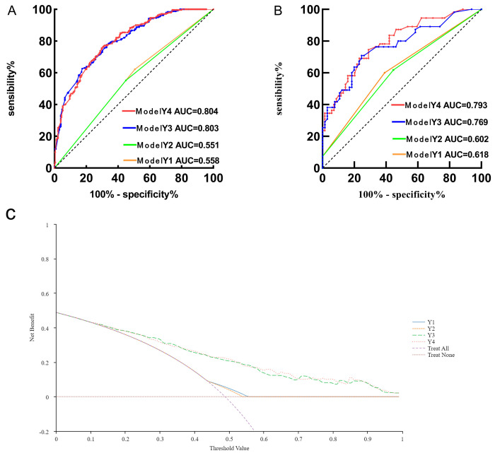
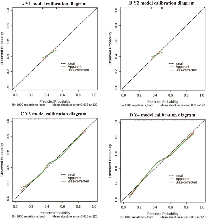
背景:冠心病(CHD)是遗传和环境因素复杂相互作用的结果。本研究探讨内皮脂肪酶基因多态性(rs2000813和rs3813082)及其与传统心血管危险因素的相互作用对冠心病易感性的影响。方法:采用回顾性病例对照研究,纳入900例冠心病患者和900例对照组。我们评估了传统心血管危险因素与内皮脂肪酶基因rs2000813和rs3813082位点多态性之间的关系。多因素分析用于评估传统风险因素与这些多态性之间的相互作用。此外,我们开发了一个整合遗传变异和临床变量的预测模型来估计冠心病的风险。结果:rs2000813基因型(CC、CT、TT)及等位基因(C、T)和rs3813082基因型(AA、AC、CC)及等位基因(A、C)在冠心病患者与对照组(包括男性)之间分布无显著差异。然而,在患有冠心病的女性中,rs2000813CT基因型的频率(49.30%)明显高于对照组(37.80%),而CC基因型在冠心病组中的频率(45.00%)低于对照组(55.20%)。多因素logistic回归分析发现,rs2000813CT基因型、高血压、年龄≥60岁、体重指数(BMI)≥28 kg/m2、总胆固醇(TC)≥6.2 mmol/L、载脂蛋白B (ApoB)≥1.1 g/L是女性冠心病的潜在危险因素(p < 0.05)。基因-环境互作分析显示,BMI的影响最大(12.62%)。纳入rs2000813基因型的预测模型估计,曲线下面积(AUC)为0.804的女性患冠心病的风险。结论:rs2000813CT内皮脂肪酶基因型可能与女性冠心病风险增加相关,而CC基因型可能具有保护作用。整合内皮脂肪酶基因变异与传统心血管危险因素可提高女性冠心病风险预测。内皮脂肪酶多态性和环境因素之间的协同相互作用似乎影响该人群中冠心病的发生。
本文章由计算机程序翻译,如有差异,请以英文原文为准。

Effect of Interactions Between Endothelial Lipase Gene Polymorphisms and Traditional Cardiovascular Risk Factors on Coronary Heart Disease Susceptibility.

Effect of Interactions Between Endothelial Lipase Gene Polymorphisms and Traditional Cardiovascular Risk Factors on Coronary Heart Disease Susceptibility.

Effect of Interactions Between Endothelial Lipase Gene Polymorphisms and Traditional Cardiovascular Risk Factors on Coronary Heart Disease Susceptibility.

Effect of Interactions Between Endothelial Lipase Gene Polymorphisms and Traditional Cardiovascular Risk Factors on Coronary Heart Disease Susceptibility.

Effect of Interactions Between Endothelial Lipase Gene Polymorphisms and Traditional Cardiovascular Risk Factors on Coronary Heart Disease Susceptibility.

Effect of Interactions Between Endothelial Lipase Gene Polymorphisms and Traditional Cardiovascular Risk Factors on Coronary Heart Disease Susceptibility.

Effect of Interactions Between Endothelial Lipase Gene Polymorphisms and Traditional Cardiovascular Risk Factors on Coronary Heart Disease Susceptibility.

Background: Coronary heart disease (CHD) arises from a complex interplay of genetic and environmental factors. This study examines the influence of endothelial lipase gene polymorphisms (rs2000813 and rs3813082) and their interactions with traditional cardiovascular risk factors on CHD susceptibility.

Methods: This retrospective case-control study enrolled 900 CHD patients and 900 control subjects. We evaluated associations between conventional cardiovascular risk factors and polymorphisms at the rs2000813 and rs3813082 loci in the endothelial lipase gene. Multifactorial analysis was used to assess interactions between traditional risk factors and these polymorphisms. Additionally, we developed a predictive model integrating genetic variants and clinical variables to estimate CHD risk.

Results: No significant differences were observed in the distribution of rs2000813 genotypes (CC, CT, TT) and alleles (C, T), or rs3813082 genotypes (AA, AC, CC) and alleles (A, C) between CHD and control groups, including among males. However, in females with CHD, the rs2000813CT genotype was significantly more frequent (49.30%) than in controls (37.80%), whereas the CC genotype was less frequent in the CHD group (45.00%) than in controls (55.20%). Multivariate logistic regression identified the rs2000813CT genotype, hypertension, ages ≥60 years, body mass index (BMI) values ≥28 kg/m2, total cholesterol (TC) ≥6.2 mmol/L, and apolipoprotein B (ApoB) ≥1.1 g/L as potential risk factors for CHD in women (p < 0.05). Gene-environment interaction analysis revealed that BMI exerted the greatest influence (12.62%). A predictive model incorporating rs2000813 genotypes estimated CHD risk in women with an area under the curve (AUC) of 0.804.

Conclusions: The rs2000813CT endothelial lipase genotype is potentially associated with an increased CHD risk in females, whereas the CC genotype may confer a protective effect. Integrating endothelial lipase gene variants with traditional cardiovascular risk factors enhances CHD risk prediction in women. Synergistic interaction between endothelial lipase polymorphisms and environmental factors appears to influence CHD occurrence in this population.

求助全文
通过发布文献求助,成功后即可免费获取论文全文。 去求助
来源期刊
Reviews in cardiovascular medicine
Reviews in cardiovascular medicine 医学-心血管系统
CiteScore
2.70
自引率
3.70%
发文量
377
审稿时长
1 months
期刊介绍: RCM is an international, peer-reviewed, open access journal. RCM publishes research articles, review papers and short communications on cardiovascular medicine as well as research on cardiovascular disease. We aim to provide a forum for publishing papers which explore the pathogenesis and promote the progression of cardiac and vascular diseases. We also seek to establish an interdisciplinary platform, focusing on translational issues, to facilitate the advancement of research, clinical treatment and diagnostic procedures. Heart surgery, cardiovascular imaging, risk factors and various clinical cardiac & vascular research will be considered.
×
引用
GB/T 7714-2015
复制
MLA
复制
APA
复制
导出至
BibTeX EndNote RefMan NoteFirst NoteExpress
×
提示
您的信息不完整,为了账户安全,请先补充。
现在去补充
×
提示
您因"违规操作"
具体请查看互助需知
我知道了
×
提示
确定
请完成安全验证×
copy
已复制链接
快去分享给好友吧!
我知道了
右上角分享
点击右上角分享
0
联系我们:info@booksci.cn Book学术提供免费学术资源搜索服务,方便国内外学者检索中英文文献。致力于提供最便捷和优质的服务体验。 Copyright © 2023 布克学术 All rights reserved.
京ICP备2023020795号-1
ghs 京公网安备 11010802042870号
Book学术文献互助
Book学术文献互助群
群 号:604180095
Book学术官方微信