急性心肌梗死患者经皮冠状动脉介入治疗期间预测心室颤动的Nomogram方法的开发与验证。

IF 1.3 4区 医学 Q3 CARDIAC & CARDIOVASCULAR SYSTEMS
Reviews in cardiovascular medicine Pub Date : 2025-07-22 eCollection Date: 2025-07-01 DOI:10.31083/RCM37301
Ruifeng Liu, Xiangyu Gao, Jihong Fan, Huiqiang Zhao
{"title":"急性心肌梗死患者经皮冠状动脉介入治疗期间预测心室颤动的Nomogram方法的开发与验证。","authors":"Ruifeng Liu, Xiangyu Gao, Jihong Fan, Huiqiang Zhao","doi":"10.31083/RCM37301","DOIUrl":null,"url":null,"abstract":"<p><strong>Background: </strong>Ventricular fibrillation (VF) is a life-threatening complication of acute myocardial infarction (AMI), particularly in patients undergoing percutaneous coronary intervention (PCI). Early identification of high-risk patients is crucial for implementing preventive measures and improving outcomes.</p><p><strong>Methods: </strong>This retrospective study analyzed clinical, laboratory, and angiographic data from 155 AMI patients to identify predictors of VF during PCI. Variable selection was performed using least absolute shrinkage and selection operator (LASSO) regression, elastic net regression, and random forest. Independent predictors were identified through multivariable logistic regression, and a nomogram was developed and validated to predict VF risk. Model performance was assessed using receiver operating characteristic (ROC) and calibration curves.</p><p><strong>Results: </strong>Independent predictors of VF included diabetes (OR = 3.676 (1.365-10.668); <i>p</i> = 0.012), neutrophil-to-lymphocyte ratio (NLR) (odds ratio (OR) = 1.149 (1.053-1.265); <i>p</i> = 0.002), right coronary artery (RCA) intervention (OR = 3.185 (1.088-9.804); <i>p</i> = 0.037), Gensini score (OR = 1.020 (1.007-1.033); <i>p</i> = 0.003), and absence of beta blockers (OR = 0.168 (0.054-0.472); <i>p</i> = 0.001). The nomogram, incorporating these predictors, demonstrated a strong discriminative ability with an area under the ROC curve (AUC) of 0.882 (0.825-0.939) and good calibration (Hosmer-Lemeshow test, <i>p</i> = 0.769). The calibration curve showed a strong alignment between predicted probabilities and observed outcomes, with a mean absolute error of 0.033.</p><p><strong>Conclusions: </strong>This study identified diabetes, NLR, RCA intervention, Gensini score, and absence of beta-blocker use as key predictors of VF during PCI in AMI patients. A nomogram incorporating these factors showed strong predictive performance, aiding clinicians in identifying high-risk patients for targeted preventive strategies.</p>","PeriodicalId":20989,"journal":{"name":"Reviews in cardiovascular medicine","volume":"26 7","pages":"37301"},"PeriodicalIF":1.3000,"publicationDate":"2025-07-22","publicationTypes":"Journal Article","fieldsOfStudy":null,"isOpenAccess":false,"openAccessPdf":"https://www.ncbi.nlm.nih.gov/pmc/articles/PMC12326412/pdf/","citationCount":"0","resultStr":"{\"title\":\"Development and Validation of a Nomogram to Predict Ventricular Fibrillation During Percutaneous Coronary Intervention in Patients With Acute Myocardial Infarction.\",\"authors\":\"Ruifeng Liu, Xiangyu Gao, Jihong Fan, Huiqiang Zhao\",\"doi\":\"10.31083/RCM37301\",\"DOIUrl\":null,\"url\":null,\"abstract\":\"<p><strong>Background: </strong>Ventricular fibrillation (VF) is a life-threatening complication of acute myocardial infarction (AMI), particularly in patients undergoing percutaneous coronary intervention (PCI). Early identification of high-risk patients is crucial for implementing preventive measures and improving outcomes.</p><p><strong>Methods: </strong>This retrospective study analyzed clinical, laboratory, and angiographic data from 155 AMI patients to identify predictors of VF during PCI. Variable selection was performed using least absolute shrinkage and selection operator (LASSO) regression, elastic net regression, and random forest. Independent predictors were identified through multivariable logistic regression, and a nomogram was developed and validated to predict VF risk. Model performance was assessed using receiver operating characteristic (ROC) and calibration curves.</p><p><strong>Results: </strong>Independent predictors of VF included diabetes (OR = 3.676 (1.365-10.668); <i>p</i> = 0.012), neutrophil-to-lymphocyte ratio (NLR) (odds ratio (OR) = 1.149 (1.053-1.265); <i>p</i> = 0.002), right coronary artery (RCA) intervention (OR = 3.185 (1.088-9.804); <i>p</i> = 0.037), Gensini score (OR = 1.020 (1.007-1.033); <i>p</i> = 0.003), and absence of beta blockers (OR = 0.168 (0.054-0.472); <i>p</i> = 0.001). The nomogram, incorporating these predictors, demonstrated a strong discriminative ability with an area under the ROC curve (AUC) of 0.882 (0.825-0.939) and good calibration (Hosmer-Lemeshow test, <i>p</i> = 0.769). The calibration curve showed a strong alignment between predicted probabilities and observed outcomes, with a mean absolute error of 0.033.</p><p><strong>Conclusions: </strong>This study identified diabetes, NLR, RCA intervention, Gensini score, and absence of beta-blocker use as key predictors of VF during PCI in AMI patients. A nomogram incorporating these factors showed strong predictive performance, aiding clinicians in identifying high-risk patients for targeted preventive strategies.</p>\",\"PeriodicalId\":20989,\"journal\":{\"name\":\"Reviews in cardiovascular medicine\",\"volume\":\"26 7\",\"pages\":\"37301\"},\"PeriodicalIF\":1.3000,\"publicationDate\":\"2025-07-22\",\"publicationTypes\":\"Journal Article\",\"fieldsOfStudy\":null,\"isOpenAccess\":false,\"openAccessPdf\":\"https://www.ncbi.nlm.nih.gov/pmc/articles/PMC12326412/pdf/\",\"citationCount\":\"0\",\"resultStr\":null,\"platform\":\"Semanticscholar\",\"paperid\":null,\"PeriodicalName\":\"Reviews in cardiovascular medicine\",\"FirstCategoryId\":\"3\",\"ListUrlMain\":\"https://doi.org/10.31083/RCM37301\",\"RegionNum\":4,\"RegionCategory\":\"医学\",\"ArticlePicture\":[],\"TitleCN\":null,\"AbstractTextCN\":null,\"PMCID\":null,\"EPubDate\":\"2025/7/1 0:00:00\",\"PubModel\":\"eCollection\",\"JCR\":\"Q3\",\"JCRName\":\"CARDIAC & CARDIOVASCULAR SYSTEMS\",\"Score\":null,\"Total\":0}","platform":"Semanticscholar","paperid":null,"PeriodicalName":"Reviews in cardiovascular medicine","FirstCategoryId":"3","ListUrlMain":"https://doi.org/10.31083/RCM37301","RegionNum":4,"RegionCategory":"医学","ArticlePicture":[],"TitleCN":null,"AbstractTextCN":null,"PMCID":null,"EPubDate":"2025/7/1 0:00:00","PubModel":"eCollection","JCR":"Q3","JCRName":"CARDIAC & CARDIOVASCULAR SYSTEMS","Score":null,"Total":0}
引用次数: 0

摘要

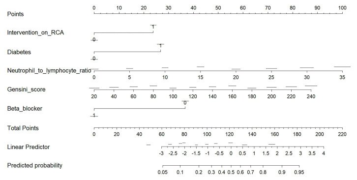
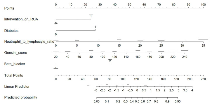
背景:心室颤动(VF)是急性心肌梗死(AMI)的一种危及生命的并发症,特别是在接受经皮冠状动脉介入治疗(PCI)的患者中。早期识别高危患者对于实施预防措施和改善预后至关重要。方法:本回顾性研究分析了155例AMI患者的临床、实验室和血管造影数据,以确定PCI期间VF的预测因素。使用最小绝对收缩和选择算子(LASSO)回归、弹性网回归和随机森林进行变量选择。通过多变量逻辑回归确定独立预测因子,并建立并验证了预测VF风险的nomogram。采用受试者工作特征(ROC)和校准曲线评估模型性能。结果:VF的独立预测因素包括糖尿病(OR = 3.676 (1.365-10.668);p = 0.012),中性粒细胞与淋巴细胞比值(NLR)(优势比(OR) = 1.149 (1.053-1.265);p = 0.002),右冠状动脉(RCA)介入治疗(OR = 3.185 (1.088-9.804);p = 0.037), Gensini评分(OR = 1.020 (1.007 ~ 1.033);p = 0.003),缺乏受体阻滞剂(OR = 0.168 (0.054-0.472);P = 0.001)。纳入这些预测因子的正态图具有较强的判别能力,ROC曲线下面积(AUC)为0.882(0.825-0.939),校正效果良好(Hosmer-Lemeshow检验,p = 0.769)。校正曲线显示预测概率与观测结果之间有很强的一致性,平均绝对误差为0.033。结论:本研究确定糖尿病、NLR、RCA干预、Gensini评分和未使用β受体阻滞剂是AMI患者PCI期间VF的关键预测因素。结合这些因素的nomogram显示出很强的预测性能,帮助临床医生识别高危患者并采取针对性的预防策略。
本文章由计算机程序翻译,如有差异,请以英文原文为准。

Development and Validation of a Nomogram to Predict Ventricular Fibrillation During Percutaneous Coronary Intervention in Patients With Acute Myocardial Infarction.

Development and Validation of a Nomogram to Predict Ventricular Fibrillation During Percutaneous Coronary Intervention in Patients With Acute Myocardial Infarction.

Development and Validation of a Nomogram to Predict Ventricular Fibrillation During Percutaneous Coronary Intervention in Patients With Acute Myocardial Infarction.

Development and Validation of a Nomogram to Predict Ventricular Fibrillation During Percutaneous Coronary Intervention in Patients With Acute Myocardial Infarction.

Development and Validation of a Nomogram to Predict Ventricular Fibrillation During Percutaneous Coronary Intervention in Patients With Acute Myocardial Infarction.

Development and Validation of a Nomogram to Predict Ventricular Fibrillation During Percutaneous Coronary Intervention in Patients With Acute Myocardial Infarction.

Development and Validation of a Nomogram to Predict Ventricular Fibrillation During Percutaneous Coronary Intervention in Patients With Acute Myocardial Infarction.

Background: Ventricular fibrillation (VF) is a life-threatening complication of acute myocardial infarction (AMI), particularly in patients undergoing percutaneous coronary intervention (PCI). Early identification of high-risk patients is crucial for implementing preventive measures and improving outcomes.

Methods: This retrospective study analyzed clinical, laboratory, and angiographic data from 155 AMI patients to identify predictors of VF during PCI. Variable selection was performed using least absolute shrinkage and selection operator (LASSO) regression, elastic net regression, and random forest. Independent predictors were identified through multivariable logistic regression, and a nomogram was developed and validated to predict VF risk. Model performance was assessed using receiver operating characteristic (ROC) and calibration curves.

Results: Independent predictors of VF included diabetes (OR = 3.676 (1.365-10.668); p = 0.012), neutrophil-to-lymphocyte ratio (NLR) (odds ratio (OR) = 1.149 (1.053-1.265); p = 0.002), right coronary artery (RCA) intervention (OR = 3.185 (1.088-9.804); p = 0.037), Gensini score (OR = 1.020 (1.007-1.033); p = 0.003), and absence of beta blockers (OR = 0.168 (0.054-0.472); p = 0.001). The nomogram, incorporating these predictors, demonstrated a strong discriminative ability with an area under the ROC curve (AUC) of 0.882 (0.825-0.939) and good calibration (Hosmer-Lemeshow test, p = 0.769). The calibration curve showed a strong alignment between predicted probabilities and observed outcomes, with a mean absolute error of 0.033.

Conclusions: This study identified diabetes, NLR, RCA intervention, Gensini score, and absence of beta-blocker use as key predictors of VF during PCI in AMI patients. A nomogram incorporating these factors showed strong predictive performance, aiding clinicians in identifying high-risk patients for targeted preventive strategies.

求助全文
通过发布文献求助,成功后即可免费获取论文全文。 去求助
来源期刊
Reviews in cardiovascular medicine
Reviews in cardiovascular medicine 医学-心血管系统
CiteScore
2.70
自引率
3.70%
发文量
377
审稿时长
1 months
期刊介绍: RCM is an international, peer-reviewed, open access journal. RCM publishes research articles, review papers and short communications on cardiovascular medicine as well as research on cardiovascular disease. We aim to provide a forum for publishing papers which explore the pathogenesis and promote the progression of cardiac and vascular diseases. We also seek to establish an interdisciplinary platform, focusing on translational issues, to facilitate the advancement of research, clinical treatment and diagnostic procedures. Heart surgery, cardiovascular imaging, risk factors and various clinical cardiac & vascular research will be considered.
×
引用
GB/T 7714-2015
复制
MLA
复制
APA
复制
导出至
BibTeX EndNote RefMan NoteFirst NoteExpress
×
提示
您的信息不完整,为了账户安全,请先补充。
现在去补充
×
提示
您因"违规操作"
具体请查看互助需知
我知道了
×
提示
确定
请完成安全验证×
copy
已复制链接
快去分享给好友吧!
我知道了
右上角分享
点击右上角分享
0
联系我们:info@booksci.cn Book学术提供免费学术资源搜索服务,方便国内外学者检索中英文文献。致力于提供最便捷和优质的服务体验。 Copyright © 2023 布克学术 All rights reserved.
京ICP备2023020795号-1
ghs 京公网安备 11010802042870号
Book学术文献互助
Book学术文献互助群
群 号:604180095
Book学术官方微信