阻塞性睡眠呼吸暂停与急性冠状动脉综合征患者心血管事件的关联:一项前瞻性队列研究。

IF 1.3 4区 医学 Q3 CARDIAC & CARDIOVASCULAR SYSTEMS
Reviews in cardiovascular medicine Pub Date : 2025-07-28 eCollection Date: 2025-07-01 DOI:10.31083/RCM33439
Yuyao Qiu, Zexuan Li, Wen Hao, Xiaochen Liu, Qian Guo, Yingying Guo, Bin Que, Wei Gong, Wen Zheng, Xiao Wang, Shaoping Nie
{"title":"阻塞性睡眠呼吸暂停与急性冠状动脉综合征患者心血管事件的关联:一项前瞻性队列研究。","authors":"Yuyao Qiu, Zexuan Li, Wen Hao, Xiaochen Liu, Qian Guo, Yingying Guo, Bin Que, Wei Gong, Wen Zheng, Xiao Wang, Shaoping Nie","doi":"10.31083/RCM33439","DOIUrl":null,"url":null,"abstract":"<p><strong>Background: </strong>Excessive daytime sleepiness (EDS) is a commonly observed symptom in people with obstructive sleep apnea (OSA). However, the impact of EDS on the outcome of patients with acute coronary syndrome (ACS) and OSA is not known. Therefore, this study aimed to investigate the association between OSA and cardiovascular events in ACS patients with or without EDS.</p><p><strong>Methods: </strong>This cohort study prospectively enrolled eligible ACS patients who underwent cardiorespiratory polygraphy during hospitalization between June 2015 and January 2020. We defined OSA as an apnea-hypopnea index (AHI) ≥15 events per h. EDS was described as having an Epworth Sleepiness Scale score ≥10. Major adverse cerebrovascular and cardiovascular events (MACCEs) were the primary outcome and included cardiovascular death, stroke, myocardial infarction, ischemia-driven revascularization, or hospitalization for heart failure or unstable angina.</p><p><strong>Results: </strong>The final study cohort comprised 1154 participants, of whom 398 (34.5%) had EDS, and 607 (52.6%) had OSA. During the median follow-up period of 2.9 years (interquartile range 1.5, 3.6), OSA was associated with a significantly increased risk of MACCEs in patients without EDS (adjusted hazard ratio (HR) = 1.42, 95% CI: 1.01-2.02, <i>p</i> = 0.046), but not in patients with EDS (adjusted hazard ratio HR = 1.05, 95% CI: 0.67-1.66, <i>p</i> = 0.84).</p><p><strong>Conclusions: </strong>OSA was associated with an elevated risk of MACCEs In ACS patients without EDS but not those with EDS. Therefore, screening for OSA should be performed in ACS patients without EDS, and future trials should prioritize such high-risk patients.</p><p><strong>Clinical trial registration: </strong>NCT03362385, https://clinicaltrials.gov/study/NCT03362385.</p>","PeriodicalId":20989,"journal":{"name":"Reviews in cardiovascular medicine","volume":"26 7","pages":"33439"},"PeriodicalIF":1.3000,"publicationDate":"2025-07-28","publicationTypes":"Journal Article","fieldsOfStudy":null,"isOpenAccess":false,"openAccessPdf":"https://www.ncbi.nlm.nih.gov/pmc/articles/PMC12326451/pdf/","citationCount":"0","resultStr":"{\"title\":\"Association of Obstructive Sleep Apnea With Cardiovascular Events in Acute Coronary Syndrome Patients With or Without Excessive Daytime Sleepiness: A Prospective Cohort Study.\",\"authors\":\"Yuyao Qiu, Zexuan Li, Wen Hao, Xiaochen Liu, Qian Guo, Yingying Guo, Bin Que, Wei Gong, Wen Zheng, Xiao Wang, Shaoping Nie\",\"doi\":\"10.31083/RCM33439\",\"DOIUrl\":null,\"url\":null,\"abstract\":\"<p><strong>Background: </strong>Excessive daytime sleepiness (EDS) is a commonly observed symptom in people with obstructive sleep apnea (OSA). However, the impact of EDS on the outcome of patients with acute coronary syndrome (ACS) and OSA is not known. Therefore, this study aimed to investigate the association between OSA and cardiovascular events in ACS patients with or without EDS.</p><p><strong>Methods: </strong>This cohort study prospectively enrolled eligible ACS patients who underwent cardiorespiratory polygraphy during hospitalization between June 2015 and January 2020. We defined OSA as an apnea-hypopnea index (AHI) ≥15 events per h. EDS was described as having an Epworth Sleepiness Scale score ≥10. Major adverse cerebrovascular and cardiovascular events (MACCEs) were the primary outcome and included cardiovascular death, stroke, myocardial infarction, ischemia-driven revascularization, or hospitalization for heart failure or unstable angina.</p><p><strong>Results: </strong>The final study cohort comprised 1154 participants, of whom 398 (34.5%) had EDS, and 607 (52.6%) had OSA. During the median follow-up period of 2.9 years (interquartile range 1.5, 3.6), OSA was associated with a significantly increased risk of MACCEs in patients without EDS (adjusted hazard ratio (HR) = 1.42, 95% CI: 1.01-2.02, <i>p</i> = 0.046), but not in patients with EDS (adjusted hazard ratio HR = 1.05, 95% CI: 0.67-1.66, <i>p</i> = 0.84).</p><p><strong>Conclusions: </strong>OSA was associated with an elevated risk of MACCEs In ACS patients without EDS but not those with EDS. Therefore, screening for OSA should be performed in ACS patients without EDS, and future trials should prioritize such high-risk patients.</p><p><strong>Clinical trial registration: </strong>NCT03362385, https://clinicaltrials.gov/study/NCT03362385.</p>\",\"PeriodicalId\":20989,\"journal\":{\"name\":\"Reviews in cardiovascular medicine\",\"volume\":\"26 7\",\"pages\":\"33439\"},\"PeriodicalIF\":1.3000,\"publicationDate\":\"2025-07-28\",\"publicationTypes\":\"Journal Article\",\"fieldsOfStudy\":null,\"isOpenAccess\":false,\"openAccessPdf\":\"https://www.ncbi.nlm.nih.gov/pmc/articles/PMC12326451/pdf/\",\"citationCount\":\"0\",\"resultStr\":null,\"platform\":\"Semanticscholar\",\"paperid\":null,\"PeriodicalName\":\"Reviews in cardiovascular medicine\",\"FirstCategoryId\":\"3\",\"ListUrlMain\":\"https://doi.org/10.31083/RCM33439\",\"RegionNum\":4,\"RegionCategory\":\"医学\",\"ArticlePicture\":[],\"TitleCN\":null,\"AbstractTextCN\":null,\"PMCID\":null,\"EPubDate\":\"2025/7/1 0:00:00\",\"PubModel\":\"eCollection\",\"JCR\":\"Q3\",\"JCRName\":\"CARDIAC & CARDIOVASCULAR SYSTEMS\",\"Score\":null,\"Total\":0}","platform":"Semanticscholar","paperid":null,"PeriodicalName":"Reviews in cardiovascular medicine","FirstCategoryId":"3","ListUrlMain":"https://doi.org/10.31083/RCM33439","RegionNum":4,"RegionCategory":"医学","ArticlePicture":[],"TitleCN":null,"AbstractTextCN":null,"PMCID":null,"EPubDate":"2025/7/1 0:00:00","PubModel":"eCollection","JCR":"Q3","JCRName":"CARDIAC & CARDIOVASCULAR SYSTEMS","Score":null,"Total":0}
引用次数: 0

摘要

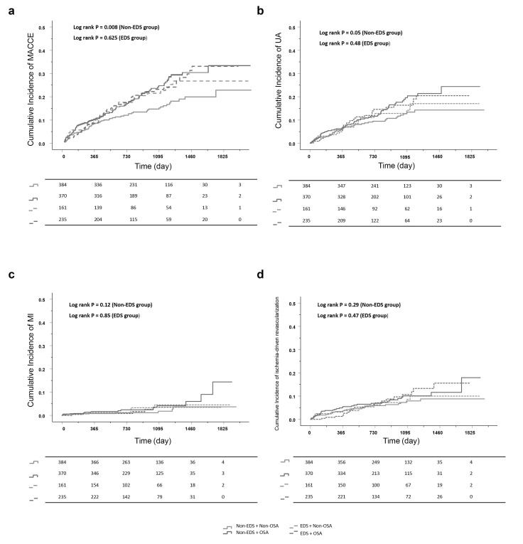
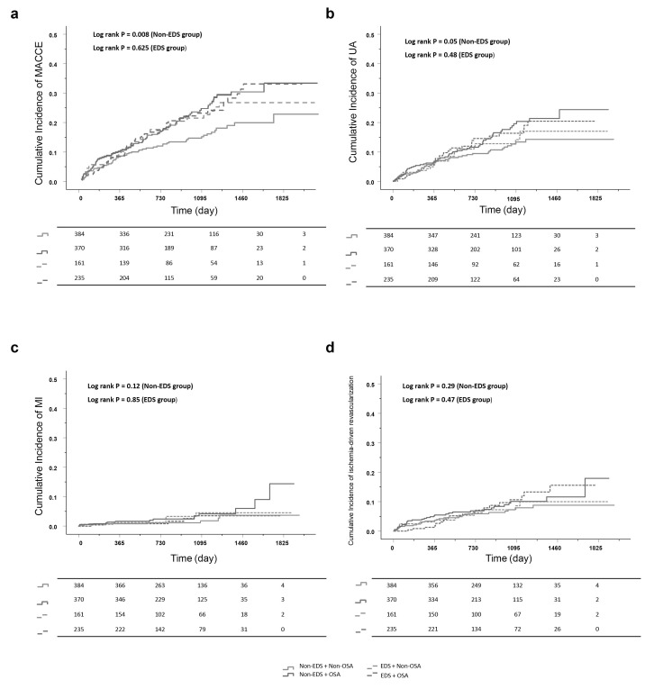
背景:白天过度嗜睡(EDS)是阻塞性睡眠呼吸暂停(OSA)患者的常见症状。然而,EDS对急性冠脉综合征(ACS)和OSA患者预后的影响尚不清楚。因此,本研究旨在探讨伴有或不伴有EDS的ACS患者OSA与心血管事件的关系。方法:本队列研究前瞻性纳入2015年6月至2020年1月住院期间接受心肺测谎术的符合条件的ACS患者。我们将OSA定义为呼吸暂停低通气指数(AHI)每小时≥15个事件。EDS被描述为Epworth嗜睡量表评分≥10。主要不良脑血管和心血管事件(MACCEs)是主要结局,包括心血管死亡、中风、心肌梗死、缺血驱动的血运重建术或因心力衰竭或不稳定型心绞痛住院。结果:最终的研究队列包括1154名参与者,其中398名(34.5%)患有EDS, 607名(52.6%)患有OSA。在中位随访2.9年期间(四分位数范围1.5,3.6),OSA与无EDS患者MACCEs发生风险显著增加相关(校正风险比(HR) = 1.42, 95% CI: 1.01-2.02, p = 0.046),但与EDS患者无关(校正风险比HR = 1.05, 95% CI: 0.67-1.66, p = 0.84)。结论:OSA与无EDS的ACS患者MACCEs风险升高相关,而与EDS患者无关。因此,没有EDS的ACS患者应进行OSA筛查,未来的试验应优先考虑这类高危患者。临床试验注册:NCT03362385, https://clinicaltrials.gov/study/NCT03362385。
本文章由计算机程序翻译,如有差异,请以英文原文为准。

Association of Obstructive Sleep Apnea With Cardiovascular Events in Acute Coronary Syndrome Patients With or Without Excessive Daytime Sleepiness: A Prospective Cohort Study.

Association of Obstructive Sleep Apnea With Cardiovascular Events in Acute Coronary Syndrome Patients With or Without Excessive Daytime Sleepiness: A Prospective Cohort Study.

Association of Obstructive Sleep Apnea With Cardiovascular Events in Acute Coronary Syndrome Patients With or Without Excessive Daytime Sleepiness: A Prospective Cohort Study.

Association of Obstructive Sleep Apnea With Cardiovascular Events in Acute Coronary Syndrome Patients With or Without Excessive Daytime Sleepiness: A Prospective Cohort Study.

Association of Obstructive Sleep Apnea With Cardiovascular Events in Acute Coronary Syndrome Patients With or Without Excessive Daytime Sleepiness: A Prospective Cohort Study.

Background: Excessive daytime sleepiness (EDS) is a commonly observed symptom in people with obstructive sleep apnea (OSA). However, the impact of EDS on the outcome of patients with acute coronary syndrome (ACS) and OSA is not known. Therefore, this study aimed to investigate the association between OSA and cardiovascular events in ACS patients with or without EDS.

Methods: This cohort study prospectively enrolled eligible ACS patients who underwent cardiorespiratory polygraphy during hospitalization between June 2015 and January 2020. We defined OSA as an apnea-hypopnea index (AHI) ≥15 events per h. EDS was described as having an Epworth Sleepiness Scale score ≥10. Major adverse cerebrovascular and cardiovascular events (MACCEs) were the primary outcome and included cardiovascular death, stroke, myocardial infarction, ischemia-driven revascularization, or hospitalization for heart failure or unstable angina.

Results: The final study cohort comprised 1154 participants, of whom 398 (34.5%) had EDS, and 607 (52.6%) had OSA. During the median follow-up period of 2.9 years (interquartile range 1.5, 3.6), OSA was associated with a significantly increased risk of MACCEs in patients without EDS (adjusted hazard ratio (HR) = 1.42, 95% CI: 1.01-2.02, p = 0.046), but not in patients with EDS (adjusted hazard ratio HR = 1.05, 95% CI: 0.67-1.66, p = 0.84).

Conclusions: OSA was associated with an elevated risk of MACCEs In ACS patients without EDS but not those with EDS. Therefore, screening for OSA should be performed in ACS patients without EDS, and future trials should prioritize such high-risk patients.

Clinical trial registration: NCT03362385, https://clinicaltrials.gov/study/NCT03362385.

求助全文
通过发布文献求助,成功后即可免费获取论文全文。 去求助
来源期刊
Reviews in cardiovascular medicine
Reviews in cardiovascular medicine 医学-心血管系统
CiteScore
2.70
自引率
3.70%
发文量
377
审稿时长
1 months
期刊介绍: RCM is an international, peer-reviewed, open access journal. RCM publishes research articles, review papers and short communications on cardiovascular medicine as well as research on cardiovascular disease. We aim to provide a forum for publishing papers which explore the pathogenesis and promote the progression of cardiac and vascular diseases. We also seek to establish an interdisciplinary platform, focusing on translational issues, to facilitate the advancement of research, clinical treatment and diagnostic procedures. Heart surgery, cardiovascular imaging, risk factors and various clinical cardiac & vascular research will be considered.
×
引用
GB/T 7714-2015
复制
MLA
复制
APA
复制
导出至
BibTeX EndNote RefMan NoteFirst NoteExpress
×
提示
您的信息不完整,为了账户安全,请先补充。
现在去补充
×
提示
您因"违规操作"
具体请查看互助需知
我知道了
×
提示
确定
请完成安全验证×
copy
已复制链接
快去分享给好友吧!
我知道了
右上角分享
点击右上角分享
0
联系我们:info@booksci.cn Book学术提供免费学术资源搜索服务,方便国内外学者检索中英文文献。致力于提供最便捷和优质的服务体验。 Copyright © 2023 布克学术 All rights reserved.
京ICP备2023020795号-1
ghs 京公网安备 11010802042870号
Book学术文献互助
Book学术文献互助群
群 号:604180095
Book学术官方微信