估计葡萄糖处理率与腹主动脉瘤风险的关联:来自英国生物库的大规模前瞻性队列研究的证据。

IF 1.3 4区 医学 Q3 CARDIAC & CARDIOVASCULAR SYSTEMS
Reviews in cardiovascular medicine Pub Date : 2025-07-21 eCollection Date: 2025-07-01 DOI:10.31083/RCM36776
Yuanwei Chen, Ting Zhou, Songyuan Luo, Jizhong Wang, Fan Yang, Yingqing Feng, Lixin Fang, Jianfang Luo
{"title":"估计葡萄糖处理率与腹主动脉瘤风险的关联:来自英国生物库的大规模前瞻性队列研究的证据。","authors":"Yuanwei Chen, Ting Zhou, Songyuan Luo, Jizhong Wang, Fan Yang, Yingqing Feng, Lixin Fang, Jianfang Luo","doi":"10.31083/RCM36776","DOIUrl":null,"url":null,"abstract":"<p><strong>Background: </strong>Insulin resistance has been recognized as a risk factor in the pathogenesis of various diseases. The estimated glucose disposal rate (eGDR) has been widely validated as a reliable, noninvasive, and cost-effective surrogate measure of insulin resistance. However, the relationship between eGDR and abdominal aortic aneurysm (AAA) has not yet been fully elucidated. This study sought to investigate the association between the eGDR levels and the risk of AAA development.</p><p><strong>Methods: </strong>This prospective cohort study enrolled participants from the UK Biobank who had complete eGDR measurements and no pre-existing AAA at baseline (2006-2010). Participants were stratified into quartiles according to their eGDR values. The association between eGDR and AAA was assessed using Cox proportional hazards models with results expressed as the hazard ratio (HR) and 95% confidence interval (CI). Kaplan-Meier curves were generated to visualize cumulative AAA incidence across eGDR quartiles, whereas restricted cubic splines (RCSs) were applied to characterize the exposure-response relationship. Sensitivity and subgroup analyses were conducted to assess the robustness of the findings.</p><p><strong>Results: </strong>The final analytical cohort comprised 416,800 participants (median age: 58.0 years (IQR: 50.0-63.0), 45.83% male). During the median follow-up of 13.6 years, 1881 incident AAA cases were recorded. The Kaplan-Meier curve analysis demonstrated a higher cumulative AAA risk with decreasing eGDR quartiles (log-rank <i>p</i> < 0.05). The Multivariable Cox model confirmed that lower eGDR levels were significantly associated with increased AAA risk. When eGDR was assessed as categorical variable, compared with the participants in Quartile 1 group (reference group), the adjusted HR (95% CI) for those in the Quartile 2-Quartile 4 groups were 0.76 (0.66-0.87), 0.69 (0.59-0.80), and 0.46 (0.35-0.62), respectively. When eGDR was evaluated as a continuous variable, a 1-unit increment in eGDR corresponded to a 12% reduction in AAA risk (HR: 0.88, 95% CI: 0.85-0.90). After excluding patients with pre-existing diabetes or short-term follow-up, the sensitivity analysis produced similar results. A subgroup analysis further maintained the association between eGDR and AAA. Furthermore, the RCS curve revealed a nonlinear association between eGDR and AAA incidence risk (<i>p</i> for nonlinearity ≤ 0.05), identifying a threshold value of 7.78.</p><p><strong>Conclusions: </strong>Our study demonstrates that reduced eGDR levels are independently associated with elevated AAA risk, exhibiting a nonlinear dose-response relationship characterized by a threshold effect at 7.78. These findings position eGDR as a potentially valuable biomarker for AAA risk stratification and interventional strategies.</p>","PeriodicalId":20989,"journal":{"name":"Reviews in cardiovascular medicine","volume":"26 7","pages":"36776"},"PeriodicalIF":1.3000,"publicationDate":"2025-07-21","publicationTypes":"Journal Article","fieldsOfStudy":null,"isOpenAccess":false,"openAccessPdf":"https://www.ncbi.nlm.nih.gov/pmc/articles/PMC12326403/pdf/","citationCount":"0","resultStr":"{\"title\":\"Association of Estimated Glucose Disposal Rate With Risk of Abdominal Aortic Aneurysm: Evidence From a Large-Scale Prospective Cohort Study of the UK Biobank.\",\"authors\":\"Yuanwei Chen, Ting Zhou, Songyuan Luo, Jizhong Wang, Fan Yang, Yingqing Feng, Lixin Fang, Jianfang Luo\",\"doi\":\"10.31083/RCM36776\",\"DOIUrl\":null,\"url\":null,\"abstract\":\"<p><strong>Background: </strong>Insulin resistance has been recognized as a risk factor in the pathogenesis of various diseases. The estimated glucose disposal rate (eGDR) has been widely validated as a reliable, noninvasive, and cost-effective surrogate measure of insulin resistance. However, the relationship between eGDR and abdominal aortic aneurysm (AAA) has not yet been fully elucidated. This study sought to investigate the association between the eGDR levels and the risk of AAA development.</p><p><strong>Methods: </strong>This prospective cohort study enrolled participants from the UK Biobank who had complete eGDR measurements and no pre-existing AAA at baseline (2006-2010). Participants were stratified into quartiles according to their eGDR values. The association between eGDR and AAA was assessed using Cox proportional hazards models with results expressed as the hazard ratio (HR) and 95% confidence interval (CI). Kaplan-Meier curves were generated to visualize cumulative AAA incidence across eGDR quartiles, whereas restricted cubic splines (RCSs) were applied to characterize the exposure-response relationship. Sensitivity and subgroup analyses were conducted to assess the robustness of the findings.</p><p><strong>Results: </strong>The final analytical cohort comprised 416,800 participants (median age: 58.0 years (IQR: 50.0-63.0), 45.83% male). During the median follow-up of 13.6 years, 1881 incident AAA cases were recorded. The Kaplan-Meier curve analysis demonstrated a higher cumulative AAA risk with decreasing eGDR quartiles (log-rank <i>p</i> < 0.05). The Multivariable Cox model confirmed that lower eGDR levels were significantly associated with increased AAA risk. When eGDR was assessed as categorical variable, compared with the participants in Quartile 1 group (reference group), the adjusted HR (95% CI) for those in the Quartile 2-Quartile 4 groups were 0.76 (0.66-0.87), 0.69 (0.59-0.80), and 0.46 (0.35-0.62), respectively. When eGDR was evaluated as a continuous variable, a 1-unit increment in eGDR corresponded to a 12% reduction in AAA risk (HR: 0.88, 95% CI: 0.85-0.90). After excluding patients with pre-existing diabetes or short-term follow-up, the sensitivity analysis produced similar results. A subgroup analysis further maintained the association between eGDR and AAA. Furthermore, the RCS curve revealed a nonlinear association between eGDR and AAA incidence risk (<i>p</i> for nonlinearity ≤ 0.05), identifying a threshold value of 7.78.</p><p><strong>Conclusions: </strong>Our study demonstrates that reduced eGDR levels are independently associated with elevated AAA risk, exhibiting a nonlinear dose-response relationship characterized by a threshold effect at 7.78. These findings position eGDR as a potentially valuable biomarker for AAA risk stratification and interventional strategies.</p>\",\"PeriodicalId\":20989,\"journal\":{\"name\":\"Reviews in cardiovascular medicine\",\"volume\":\"26 7\",\"pages\":\"36776\"},\"PeriodicalIF\":1.3000,\"publicationDate\":\"2025-07-21\",\"publicationTypes\":\"Journal Article\",\"fieldsOfStudy\":null,\"isOpenAccess\":false,\"openAccessPdf\":\"https://www.ncbi.nlm.nih.gov/pmc/articles/PMC12326403/pdf/\",\"citationCount\":\"0\",\"resultStr\":null,\"platform\":\"Semanticscholar\",\"paperid\":null,\"PeriodicalName\":\"Reviews in cardiovascular medicine\",\"FirstCategoryId\":\"3\",\"ListUrlMain\":\"https://doi.org/10.31083/RCM36776\",\"RegionNum\":4,\"RegionCategory\":\"医学\",\"ArticlePicture\":[],\"TitleCN\":null,\"AbstractTextCN\":null,\"PMCID\":null,\"EPubDate\":\"2025/7/1 0:00:00\",\"PubModel\":\"eCollection\",\"JCR\":\"Q3\",\"JCRName\":\"CARDIAC & CARDIOVASCULAR SYSTEMS\",\"Score\":null,\"Total\":0}","platform":"Semanticscholar","paperid":null,"PeriodicalName":"Reviews in cardiovascular medicine","FirstCategoryId":"3","ListUrlMain":"https://doi.org/10.31083/RCM36776","RegionNum":4,"RegionCategory":"医学","ArticlePicture":[],"TitleCN":null,"AbstractTextCN":null,"PMCID":null,"EPubDate":"2025/7/1 0:00:00","PubModel":"eCollection","JCR":"Q3","JCRName":"CARDIAC & CARDIOVASCULAR SYSTEMS","Score":null,"Total":0}
引用次数: 0

摘要

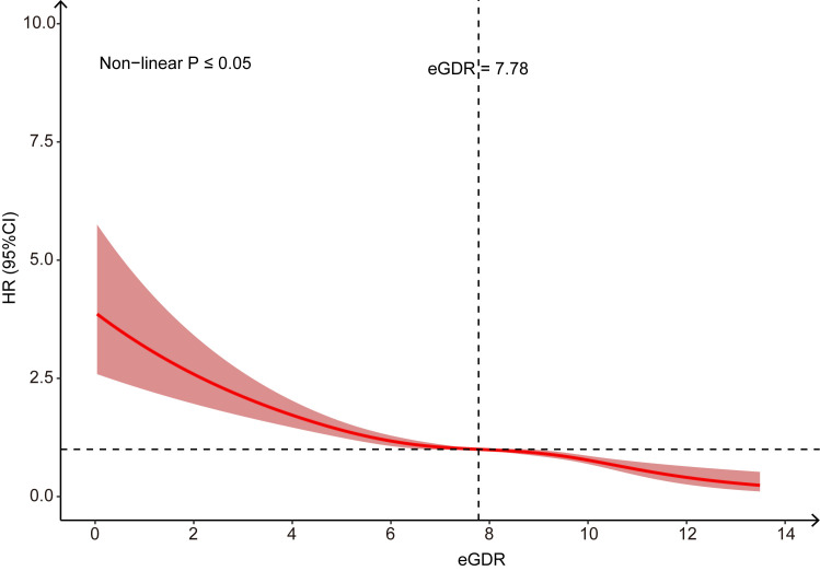
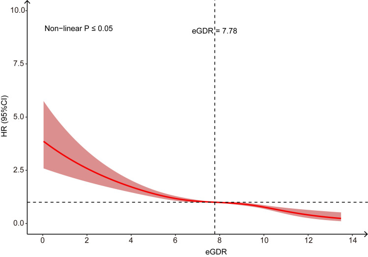
背景:胰岛素抵抗已被认为是多种疾病发病的危险因素。估计葡萄糖处理率(eGDR)已被广泛证实是一种可靠的、无创的、具有成本效益的胰岛素抵抗替代测量方法。然而,eGDR与腹主动脉瘤(AAA)之间的关系尚未完全阐明。本研究旨在探讨eGDR水平与AAA发展风险之间的关系。方法:这项前瞻性队列研究招募了来自英国生物银行(UK Biobank)的参与者,他们在基线时进行了完整的eGDR测量,没有预先存在的AAA(2006-2010)。根据受试者的eGDR值将其分为四分位数。使用Cox比例风险模型评估eGDR和AAA之间的相关性,结果表示为风险比(HR)和95%置信区间(CI)。Kaplan-Meier曲线用于可视化eGDR四分位数累积AAA发生率,而限制三次样条(RCSs)用于表征暴露-反应关系。进行敏感性和亚组分析以评估研究结果的稳健性。结果:最终的分析队列包括416,800名参与者(中位年龄:58.0岁(IQR: 50.0-63.0), 45.83%为男性)。在中位随访13.6年期间,记录了1881例AAA事件。Kaplan-Meier曲线分析显示,随着eGDR四分位数的降低,累积AAA风险更高(log-rank p < 0.05)。多变量Cox模型证实,较低的eGDR水平与AAA风险增加显著相关。当eGDR作为分类变量进行评估时,与四分位1组(参照组)的参与者相比,四分位2-四分位4组的调整HR (95% CI)分别为0.76(0.66-0.87)、0.69(0.59-0.80)和0.46(0.35-0.62)。当eGDR作为一个连续变量进行评估时,eGDR每增加1个单位对应于AAA风险降低12% (HR: 0.88, 95% CI: 0.85-0.90)。在排除已有糖尿病患者或短期随访后,敏感性分析得出了类似的结果。亚组分析进一步证实了eGDR与AAA之间的相关性。此外,RCS曲线显示eGDR与AAA发病风险之间存在非线性关联(非线性p≤0.05),阈值为7.78。结论:我们的研究表明,eGDR水平降低与AAA风险升高独立相关,表现出非线性的剂量-反应关系,其特征是阈值效应为7.78。这些发现将eGDR定位为AAA风险分层和介入策略的潜在有价值的生物标志物。
本文章由计算机程序翻译,如有差异,请以英文原文为准。

Association of Estimated Glucose Disposal Rate With Risk of Abdominal Aortic Aneurysm: Evidence From a Large-Scale Prospective Cohort Study of the UK Biobank.

Association of Estimated Glucose Disposal Rate With Risk of Abdominal Aortic Aneurysm: Evidence From a Large-Scale Prospective Cohort Study of the UK Biobank.

Association of Estimated Glucose Disposal Rate With Risk of Abdominal Aortic Aneurysm: Evidence From a Large-Scale Prospective Cohort Study of the UK Biobank.

Association of Estimated Glucose Disposal Rate With Risk of Abdominal Aortic Aneurysm: Evidence From a Large-Scale Prospective Cohort Study of the UK Biobank.

Association of Estimated Glucose Disposal Rate With Risk of Abdominal Aortic Aneurysm: Evidence From a Large-Scale Prospective Cohort Study of the UK Biobank.

Association of Estimated Glucose Disposal Rate With Risk of Abdominal Aortic Aneurysm: Evidence From a Large-Scale Prospective Cohort Study of the UK Biobank.

Association of Estimated Glucose Disposal Rate With Risk of Abdominal Aortic Aneurysm: Evidence From a Large-Scale Prospective Cohort Study of the UK Biobank.

Background: Insulin resistance has been recognized as a risk factor in the pathogenesis of various diseases. The estimated glucose disposal rate (eGDR) has been widely validated as a reliable, noninvasive, and cost-effective surrogate measure of insulin resistance. However, the relationship between eGDR and abdominal aortic aneurysm (AAA) has not yet been fully elucidated. This study sought to investigate the association between the eGDR levels and the risk of AAA development.

Methods: This prospective cohort study enrolled participants from the UK Biobank who had complete eGDR measurements and no pre-existing AAA at baseline (2006-2010). Participants were stratified into quartiles according to their eGDR values. The association between eGDR and AAA was assessed using Cox proportional hazards models with results expressed as the hazard ratio (HR) and 95% confidence interval (CI). Kaplan-Meier curves were generated to visualize cumulative AAA incidence across eGDR quartiles, whereas restricted cubic splines (RCSs) were applied to characterize the exposure-response relationship. Sensitivity and subgroup analyses were conducted to assess the robustness of the findings.

Results: The final analytical cohort comprised 416,800 participants (median age: 58.0 years (IQR: 50.0-63.0), 45.83% male). During the median follow-up of 13.6 years, 1881 incident AAA cases were recorded. The Kaplan-Meier curve analysis demonstrated a higher cumulative AAA risk with decreasing eGDR quartiles (log-rank p < 0.05). The Multivariable Cox model confirmed that lower eGDR levels were significantly associated with increased AAA risk. When eGDR was assessed as categorical variable, compared with the participants in Quartile 1 group (reference group), the adjusted HR (95% CI) for those in the Quartile 2-Quartile 4 groups were 0.76 (0.66-0.87), 0.69 (0.59-0.80), and 0.46 (0.35-0.62), respectively. When eGDR was evaluated as a continuous variable, a 1-unit increment in eGDR corresponded to a 12% reduction in AAA risk (HR: 0.88, 95% CI: 0.85-0.90). After excluding patients with pre-existing diabetes or short-term follow-up, the sensitivity analysis produced similar results. A subgroup analysis further maintained the association between eGDR and AAA. Furthermore, the RCS curve revealed a nonlinear association between eGDR and AAA incidence risk (p for nonlinearity ≤ 0.05), identifying a threshold value of 7.78.

Conclusions: Our study demonstrates that reduced eGDR levels are independently associated with elevated AAA risk, exhibiting a nonlinear dose-response relationship characterized by a threshold effect at 7.78. These findings position eGDR as a potentially valuable biomarker for AAA risk stratification and interventional strategies.

求助全文
通过发布文献求助,成功后即可免费获取论文全文。 去求助
来源期刊
Reviews in cardiovascular medicine
Reviews in cardiovascular medicine 医学-心血管系统
CiteScore
2.70
自引率
3.70%
发文量
377
审稿时长
1 months
期刊介绍: RCM is an international, peer-reviewed, open access journal. RCM publishes research articles, review papers and short communications on cardiovascular medicine as well as research on cardiovascular disease. We aim to provide a forum for publishing papers which explore the pathogenesis and promote the progression of cardiac and vascular diseases. We also seek to establish an interdisciplinary platform, focusing on translational issues, to facilitate the advancement of research, clinical treatment and diagnostic procedures. Heart surgery, cardiovascular imaging, risk factors and various clinical cardiac & vascular research will be considered.
×
引用
GB/T 7714-2015
复制
MLA
复制
APA
复制
导出至
BibTeX EndNote RefMan NoteFirst NoteExpress
×
提示
您的信息不完整,为了账户安全,请先补充。
现在去补充
×
提示
您因"违规操作"
具体请查看互助需知
我知道了
×
提示
确定
请完成安全验证×
copy
已复制链接
快去分享给好友吧!
我知道了
右上角分享
点击右上角分享
0
联系我们:info@booksci.cn Book学术提供免费学术资源搜索服务,方便国内外学者检索中英文文献。致力于提供最便捷和优质的服务体验。 Copyright © 2023 布克学术 All rights reserved.
京ICP备2023020795号-1
ghs 京公网安备 11010802042870号
Book学术文献互助
Book学术文献互助群
群 号:604180095
Book学术官方微信