2-溴-对甲苯醛的晶体学和光谱表征。

IF 0.6 Q4 CRYSTALLOGRAPHY
Eden E. Lanham , Joseph M. Tanski
{"title":"2-溴-对甲苯醛的晶体学和光谱表征。","authors":"Eden E. Lanham ,&nbsp;Joseph M. Tanski","doi":"10.1107/S2056989025006127","DOIUrl":null,"url":null,"abstract":"<div><div>The mol­ecule of the title halogenated benzaldehyde derivative contains an aldehyde moiety, <em>ortho</em> bromine, and <em>para</em> methyl group. Packing <em>via</em> van der Waals forces, the mol­ecules are arranged with both offset face-to-face and an edge-to-face π-stacking inter­action revealed by Hirshfeld surface characterization.</div></div><div><div>The title compound (systematic name: 2-bromo-4-methyl­benzaldehyde), C<sub>8</sub>H<sub>7</sub>BrO, is a halogenated benzaldehyde derivative. The mol­ecule contains an aldehyde moiety, <em>ortho</em> bromine, and <em>para</em> methyl group. Packing <em>via</em> van der Waals forces, the mol­ecules are arranged with both offset face-to-face and an edge-to-face π-stacking inter­action revealed by Hirshfeld surface characterization.</div></div>","PeriodicalId":7367,"journal":{"name":"Acta Crystallographica Section E: Crystallographic Communications","volume":"81 8","pages":"Pages 744-747"},"PeriodicalIF":0.6000,"publicationDate":"2025-08-01","publicationTypes":"Journal Article","fieldsOfStudy":null,"isOpenAccess":false,"openAccessPdf":"","citationCount":"0","resultStr":"{\"title\":\"Crystallographic and spectroscopic characterization of 2-bromo-p-tolu­aldehyde\",\"authors\":\"Eden E. Lanham ,&nbsp;Joseph M. Tanski\",\"doi\":\"10.1107/S2056989025006127\",\"DOIUrl\":null,\"url\":null,\"abstract\":\"<div><div>The mol­ecule of the title halogenated benzaldehyde derivative contains an aldehyde moiety, <em>ortho</em> bromine, and <em>para</em> methyl group. Packing <em>via</em> van der Waals forces, the mol­ecules are arranged with both offset face-to-face and an edge-to-face π-stacking inter­action revealed by Hirshfeld surface characterization.</div></div><div><div>The title compound (systematic name: 2-bromo-4-methyl­benzaldehyde), C<sub>8</sub>H<sub>7</sub>BrO, is a halogenated benzaldehyde derivative. The mol­ecule contains an aldehyde moiety, <em>ortho</em> bromine, and <em>para</em> methyl group. Packing <em>via</em> van der Waals forces, the mol­ecules are arranged with both offset face-to-face and an edge-to-face π-stacking inter­action revealed by Hirshfeld surface characterization.</div></div>\",\"PeriodicalId\":7367,\"journal\":{\"name\":\"Acta Crystallographica Section E: Crystallographic Communications\",\"volume\":\"81 8\",\"pages\":\"Pages 744-747\"},\"PeriodicalIF\":0.6000,\"publicationDate\":\"2025-08-01\",\"publicationTypes\":\"Journal Article\",\"fieldsOfStudy\":null,\"isOpenAccess\":false,\"openAccessPdf\":\"\",\"citationCount\":\"0\",\"resultStr\":null,\"platform\":\"Semanticscholar\",\"paperid\":null,\"PeriodicalName\":\"Acta Crystallographica Section E: Crystallographic Communications\",\"FirstCategoryId\":\"1085\",\"ListUrlMain\":\"https://www.sciencedirect.com/org/science/article/pii/S2056989025001367\",\"RegionNum\":0,\"RegionCategory\":null,\"ArticlePicture\":[],\"TitleCN\":null,\"AbstractTextCN\":null,\"PMCID\":null,\"EPubDate\":\"\",\"PubModel\":\"\",\"JCR\":\"Q4\",\"JCRName\":\"CRYSTALLOGRAPHY\",\"Score\":null,\"Total\":0}","platform":"Semanticscholar","paperid":null,"PeriodicalName":"Acta Crystallographica Section E: Crystallographic Communications","FirstCategoryId":"1085","ListUrlMain":"https://www.sciencedirect.com/org/science/article/pii/S2056989025001367","RegionNum":0,"RegionCategory":null,"ArticlePicture":[],"TitleCN":null,"AbstractTextCN":null,"PMCID":null,"EPubDate":"","PubModel":"","JCR":"Q4","JCRName":"CRYSTALLOGRAPHY","Score":null,"Total":0}
引用次数: 0

摘要

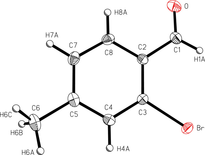
标题化合物(系统名称:2-溴-4-甲基苯甲醛)C8H7BrO是一种卤代苯甲醛衍生物。该分子含有醛部分、邻溴和对甲基。在范德华力作用下,分子的排列既有偏置的面对面,也有边对面π堆积的相互作用。
本文章由计算机程序翻译,如有差异,请以英文原文为准。

Crystallographic and spectroscopic characterization of 2-bromo-p-tolu­aldehyde

Crystallographic and spectroscopic characterization of 2-bromo-p-tolu­aldehyde

Crystallographic and spectroscopic characterization of 2-bromo-p-tolu­aldehyde

Crystallographic and spectroscopic characterization of 2-bromo-p-tolu­aldehyde

Crystallographic and spectroscopic characterization of 2-bromo-p-tolu­aldehyde

Crystallographic and spectroscopic characterization of 2-bromo-p-tolu­aldehyde

Crystallographic and spectroscopic characterization of 2-bromo-p-tolu­aldehyde
The mol­ecule of the title halogenated benzaldehyde derivative contains an aldehyde moiety, ortho bromine, and para methyl group. Packing via van der Waals forces, the mol­ecules are arranged with both offset face-to-face and an edge-to-face π-stacking inter­action revealed by Hirshfeld surface characterization.
The title compound (systematic name: 2-bromo-4-methyl­benzaldehyde), C8H7BrO, is a halogenated benzaldehyde derivative. The mol­ecule contains an aldehyde moiety, ortho bromine, and para methyl group. Packing via van der Waals forces, the mol­ecules are arranged with both offset face-to-face and an edge-to-face π-stacking inter­action revealed by Hirshfeld surface characterization.
求助全文
通过发布文献求助,成功后即可免费获取论文全文。 去求助
来源期刊
CiteScore
1.90
自引率
0.00%
发文量
351
审稿时长
3 weeks
期刊介绍: Acta Crystallographica Section E: Crystallographic Communications is the IUCr''s open-access structural communications journal. It provides a fast, simple and easily accessible publication mechanism for crystal structure determinations of inorganic, metal-organic and organic compounds. The electronic submission, validation, refereeing and publication facilities of the journal ensure rapid and high-quality publication of fully validated structures. The primary article category is Research Communications; these are peer-reviewed articles describing one or more structure determinations with appropriate discussion of the science.
×
引用
GB/T 7714-2015
复制
MLA
复制
APA
复制
导出至
BibTeX EndNote RefMan NoteFirst NoteExpress
×
提示
您的信息不完整,为了账户安全,请先补充。
现在去补充
×
提示
您因"违规操作"
具体请查看互助需知
我知道了
×
提示
确定
请完成安全验证×
copy
已复制链接
快去分享给好友吧!
我知道了
右上角分享
点击右上角分享
0
联系我们:info@booksci.cn Book学术提供免费学术资源搜索服务,方便国内外学者检索中英文文献。致力于提供最便捷和优质的服务体验。 Copyright © 2023 布克学术 All rights reserved.
京ICP备2023020795号-1
ghs 京公网安备 11010802042870号
Book学术文献互助
Book学术文献互助群
群 号:604180095
Book学术官方微信