基于机器学习的预测模型增强对非癌症相关性肝硬化患者早期肝性脑病的预测:台湾多中心纵向队列研究。

IF 3.8 3区 医学 Q2 MEDICAL INFORMATICS
Hsin-Yu Chen, Yiu-Hua Cheng, Wei-Chung Yeh, Yi-Chuan Chen, Yi-Wen Tsai
{"title":"基于机器学习的预测模型增强对非癌症相关性肝硬化患者早期肝性脑病的预测:台湾多中心纵向队列研究。","authors":"Hsin-Yu Chen, Yiu-Hua Cheng, Wei-Chung Yeh, Yi-Chuan Chen, Yi-Wen Tsai","doi":"10.2196/71229","DOIUrl":null,"url":null,"abstract":"<p><strong>Background: </strong>Hepatic encephalopathy (HE) contributes significantly to mortality among patients with liver cirrhosis. Early prediction of HE is essential for clinical decision-making, yet remains challenging-particularly in noncancer-related cirrhosis due to the unpredictable disease course.</p><p><strong>Objective: </strong>This study aimed to develop a novel machine learning (ML) model to improve early prediction of HE in patients with noncancer-related cirrhosis.</p><p><strong>Methods: </strong>A multicenter, retrospective cohort study was conducted from January 2010 to December 2017 across all Chang Gung Memorial Hospital branches in northern, middle, and southern Taiwan. We applied several ML models to evaluate HE predictability and compared their performance in the training dataset and testing dataset. Optimal sensitivity and specificity were determined using the Youden index. The best ML model was interpreted by the Shapley Additive Explanations plot.</p><p><strong>Results: </strong>A total of 5878 patients with cirrhosis were included in the analysis, of whom 1187 (20.2%) subsequently developed HE. Compared to the non-HE group, patients with HE were older (median age 55, IQR 46-65 vs median age 54, IQR 44-66 years; P=.04) and had higher rates of hepatitis B virus infection (351/1187, 30% vs 961/4691, 20.5%; P<.001), alcohol use (540/1187, 45.5% vs 1512/4691, 32.2%; P<.001), sepsis (393/1187, 33.1% vs 792/4691, 16.9%; P<.001), and mortality (425/1187, 35.8% vs 502/4691, 10.7%; P<.001), along with distinct laboratory abnormalities reflecting liver dysfunction. Among the ML algorithms evaluated, the extreme gradient boosting algorithm demonstrated the highest predictive accuracy, achieving an area under the curve (AUC) of 0.86 (95% CI 0.83-0.88) in the testing dataset. This performance was significantly superior to that of the neural network (AUC 0.79, 95% CI 0.76-0.81; P<.001), support vector machine (AUC 0.77, 95% CI 0.73-0.80; P<.001), and the model for end-stage liver disease score (AUC 0.74, 95% CI 0.71-0.77; P<.001). Using a probability threshold of 0.25, the extreme gradient boosting model demonstrated a sensitivity of 72% (95% CI 0.67-0.77), specificity of 80% (95% CI 0.78-0.82), a positive predictive value of 48% (95% CI 43-53), and a negative predictive value of 92% (95% CI 90-94) in the testing set. Comparable performance was observed in the training dataset, with a sensitivity of 80% (95% CI 0.77-0.83), specificity of 81% (95% CI 0.80-0.82), and a negative predictive value of 94% at the same threshold. The most influential predictive variables identified by the model included serum ammonia, aspartate transaminase, alanine transaminase, prothrombin time, and serum potassium.</p><p><strong>Conclusions: </strong>We developed a novel ML model for predicting HE in patients with noncancer-related cirrhosis. This model provides a practical guide to help physicians and these patients in shared decision-making regarding treatment strategy, with the ultimate goal of improving clinical care and reducing the burden of HE-related morbid complications.</p>","PeriodicalId":56334,"journal":{"name":"JMIR Medical Informatics","volume":"13 ","pages":"e71229"},"PeriodicalIF":3.8000,"publicationDate":"2025-08-06","publicationTypes":"Journal Article","fieldsOfStudy":null,"isOpenAccess":false,"openAccessPdf":"https://www.ncbi.nlm.nih.gov/pmc/articles/PMC12327908/pdf/","citationCount":"0","resultStr":"{\"title\":\"A Machine Learning-Based Prognostication Model Enhances Prediction of Early Hepatic Encephalopathy in Patients With Noncancer-Related Cirrhosis: Multicenter Longitudinal Cohort Study in Taiwan.\",\"authors\":\"Hsin-Yu Chen, Yiu-Hua Cheng, Wei-Chung Yeh, Yi-Chuan Chen, Yi-Wen Tsai\",\"doi\":\"10.2196/71229\",\"DOIUrl\":null,\"url\":null,\"abstract\":\"<p><strong>Background: </strong>Hepatic encephalopathy (HE) contributes significantly to mortality among patients with liver cirrhosis. Early prediction of HE is essential for clinical decision-making, yet remains challenging-particularly in noncancer-related cirrhosis due to the unpredictable disease course.</p><p><strong>Objective: </strong>This study aimed to develop a novel machine learning (ML) model to improve early prediction of HE in patients with noncancer-related cirrhosis.</p><p><strong>Methods: </strong>A multicenter, retrospective cohort study was conducted from January 2010 to December 2017 across all Chang Gung Memorial Hospital branches in northern, middle, and southern Taiwan. We applied several ML models to evaluate HE predictability and compared their performance in the training dataset and testing dataset. Optimal sensitivity and specificity were determined using the Youden index. The best ML model was interpreted by the Shapley Additive Explanations plot.</p><p><strong>Results: </strong>A total of 5878 patients with cirrhosis were included in the analysis, of whom 1187 (20.2%) subsequently developed HE. Compared to the non-HE group, patients with HE were older (median age 55, IQR 46-65 vs median age 54, IQR 44-66 years; P=.04) and had higher rates of hepatitis B virus infection (351/1187, 30% vs 961/4691, 20.5%; P<.001), alcohol use (540/1187, 45.5% vs 1512/4691, 32.2%; P<.001), sepsis (393/1187, 33.1% vs 792/4691, 16.9%; P<.001), and mortality (425/1187, 35.8% vs 502/4691, 10.7%; P<.001), along with distinct laboratory abnormalities reflecting liver dysfunction. Among the ML algorithms evaluated, the extreme gradient boosting algorithm demonstrated the highest predictive accuracy, achieving an area under the curve (AUC) of 0.86 (95% CI 0.83-0.88) in the testing dataset. This performance was significantly superior to that of the neural network (AUC 0.79, 95% CI 0.76-0.81; P<.001), support vector machine (AUC 0.77, 95% CI 0.73-0.80; P<.001), and the model for end-stage liver disease score (AUC 0.74, 95% CI 0.71-0.77; P<.001). Using a probability threshold of 0.25, the extreme gradient boosting model demonstrated a sensitivity of 72% (95% CI 0.67-0.77), specificity of 80% (95% CI 0.78-0.82), a positive predictive value of 48% (95% CI 43-53), and a negative predictive value of 92% (95% CI 90-94) in the testing set. Comparable performance was observed in the training dataset, with a sensitivity of 80% (95% CI 0.77-0.83), specificity of 81% (95% CI 0.80-0.82), and a negative predictive value of 94% at the same threshold. The most influential predictive variables identified by the model included serum ammonia, aspartate transaminase, alanine transaminase, prothrombin time, and serum potassium.</p><p><strong>Conclusions: </strong>We developed a novel ML model for predicting HE in patients with noncancer-related cirrhosis. This model provides a practical guide to help physicians and these patients in shared decision-making regarding treatment strategy, with the ultimate goal of improving clinical care and reducing the burden of HE-related morbid complications.</p>\",\"PeriodicalId\":56334,\"journal\":{\"name\":\"JMIR Medical Informatics\",\"volume\":\"13 \",\"pages\":\"e71229\"},\"PeriodicalIF\":3.8000,\"publicationDate\":\"2025-08-06\",\"publicationTypes\":\"Journal Article\",\"fieldsOfStudy\":null,\"isOpenAccess\":false,\"openAccessPdf\":\"https://www.ncbi.nlm.nih.gov/pmc/articles/PMC12327908/pdf/\",\"citationCount\":\"0\",\"resultStr\":null,\"platform\":\"Semanticscholar\",\"paperid\":null,\"PeriodicalName\":\"JMIR Medical Informatics\",\"FirstCategoryId\":\"3\",\"ListUrlMain\":\"https://doi.org/10.2196/71229\",\"RegionNum\":3,\"RegionCategory\":\"医学\",\"ArticlePicture\":[],\"TitleCN\":null,\"AbstractTextCN\":null,\"PMCID\":null,\"EPubDate\":\"\",\"PubModel\":\"\",\"JCR\":\"Q2\",\"JCRName\":\"MEDICAL INFORMATICS\",\"Score\":null,\"Total\":0}","platform":"Semanticscholar","paperid":null,"PeriodicalName":"JMIR Medical Informatics","FirstCategoryId":"3","ListUrlMain":"https://doi.org/10.2196/71229","RegionNum":3,"RegionCategory":"医学","ArticlePicture":[],"TitleCN":null,"AbstractTextCN":null,"PMCID":null,"EPubDate":"","PubModel":"","JCR":"Q2","JCRName":"MEDICAL INFORMATICS","Score":null,"Total":0}
引用次数: 0

摘要

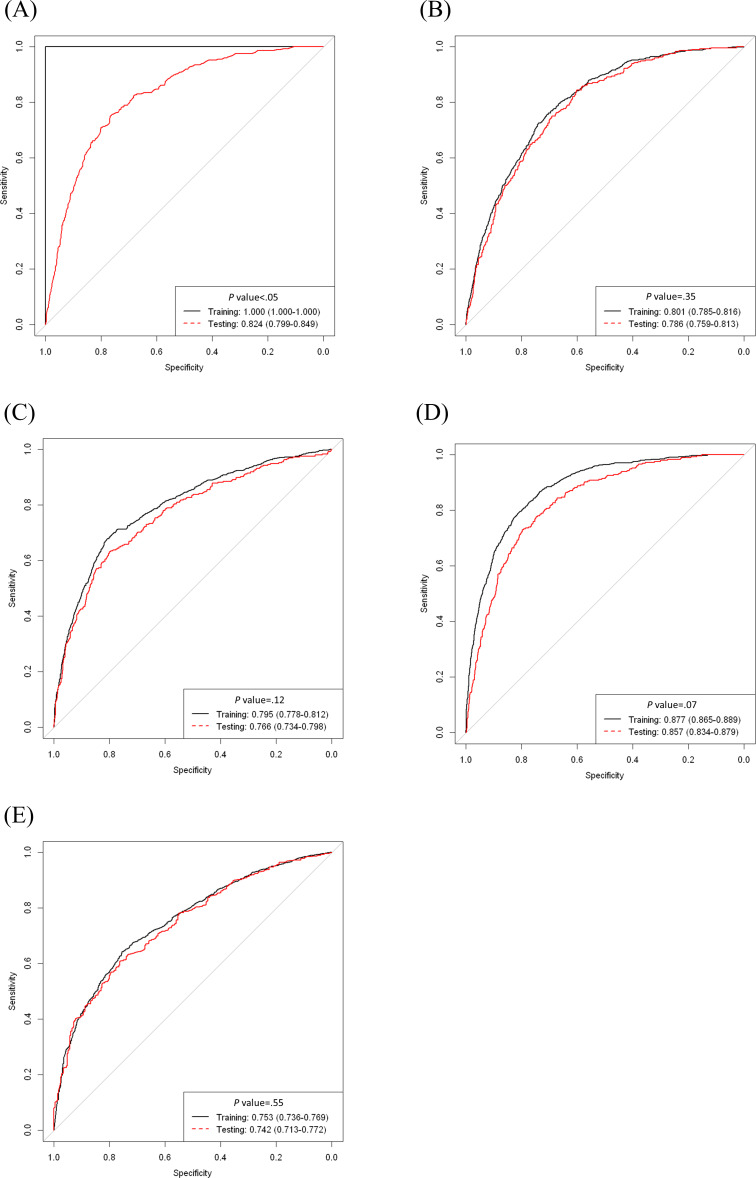
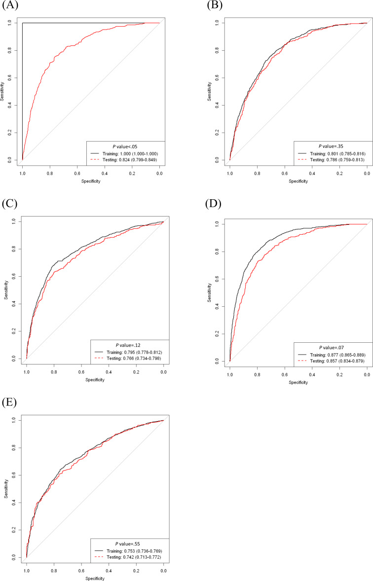
背景:肝性脑病(HE)对肝硬化患者的死亡率有显著影响。早期预测HE对临床决策至关重要,但仍然具有挑战性,特别是在非癌症相关性肝硬化中,由于疾病病程不可预测。目的:本研究旨在开发一种新的机器学习(ML)模型,以提高非癌症相关性肝硬化患者HE的早期预测。方法:2010年1月至2017年12月,在台湾北部、中部和南部的长庚纪念医院所有分院进行了一项多中心、回顾性队列研究。我们应用了几个ML模型来评估HE的可预测性,并比较了它们在训练数据集和测试数据集中的表现。采用约登指数确定最佳灵敏度和特异度。最好的ML模型用Shapley加性解释图来解释。结果:共有5878例肝硬化患者纳入分析,其中1187例(20.2%)随后发展为HE。与非HE组相比,HE组患者年龄较大(中位年龄55岁,IQR 46-65岁vs中位年龄54岁,IQR 44-66岁;P= 0.04),乙型肝炎病毒感染率较高(351/1187,30% vs 961/4691, 20.5%;结论:我们开发了一种新的ML模型来预测非癌症相关性肝硬化患者的HE。该模型提供了一个实用的指导,帮助医生和这些患者共同决策治疗策略,最终目的是改善临床护理和减少he相关并发症的负担。
本文章由计算机程序翻译,如有差异,请以英文原文为准。

A Machine Learning-Based Prognostication Model Enhances Prediction of Early Hepatic Encephalopathy in Patients With Noncancer-Related Cirrhosis: Multicenter Longitudinal Cohort Study in Taiwan.

A Machine Learning-Based Prognostication Model Enhances Prediction of Early Hepatic Encephalopathy in Patients With Noncancer-Related Cirrhosis: Multicenter Longitudinal Cohort Study in Taiwan.

A Machine Learning-Based Prognostication Model Enhances Prediction of Early Hepatic Encephalopathy in Patients With Noncancer-Related Cirrhosis: Multicenter Longitudinal Cohort Study in Taiwan.

A Machine Learning-Based Prognostication Model Enhances Prediction of Early Hepatic Encephalopathy in Patients With Noncancer-Related Cirrhosis: Multicenter Longitudinal Cohort Study in Taiwan.

A Machine Learning-Based Prognostication Model Enhances Prediction of Early Hepatic Encephalopathy in Patients With Noncancer-Related Cirrhosis: Multicenter Longitudinal Cohort Study in Taiwan.

A Machine Learning-Based Prognostication Model Enhances Prediction of Early Hepatic Encephalopathy in Patients With Noncancer-Related Cirrhosis: Multicenter Longitudinal Cohort Study in Taiwan.

A Machine Learning-Based Prognostication Model Enhances Prediction of Early Hepatic Encephalopathy in Patients With Noncancer-Related Cirrhosis: Multicenter Longitudinal Cohort Study in Taiwan.

Background: Hepatic encephalopathy (HE) contributes significantly to mortality among patients with liver cirrhosis. Early prediction of HE is essential for clinical decision-making, yet remains challenging-particularly in noncancer-related cirrhosis due to the unpredictable disease course.

Objective: This study aimed to develop a novel machine learning (ML) model to improve early prediction of HE in patients with noncancer-related cirrhosis.

Methods: A multicenter, retrospective cohort study was conducted from January 2010 to December 2017 across all Chang Gung Memorial Hospital branches in northern, middle, and southern Taiwan. We applied several ML models to evaluate HE predictability and compared their performance in the training dataset and testing dataset. Optimal sensitivity and specificity were determined using the Youden index. The best ML model was interpreted by the Shapley Additive Explanations plot.

Results: A total of 5878 patients with cirrhosis were included in the analysis, of whom 1187 (20.2%) subsequently developed HE. Compared to the non-HE group, patients with HE were older (median age 55, IQR 46-65 vs median age 54, IQR 44-66 years; P=.04) and had higher rates of hepatitis B virus infection (351/1187, 30% vs 961/4691, 20.5%; P<.001), alcohol use (540/1187, 45.5% vs 1512/4691, 32.2%; P<.001), sepsis (393/1187, 33.1% vs 792/4691, 16.9%; P<.001), and mortality (425/1187, 35.8% vs 502/4691, 10.7%; P<.001), along with distinct laboratory abnormalities reflecting liver dysfunction. Among the ML algorithms evaluated, the extreme gradient boosting algorithm demonstrated the highest predictive accuracy, achieving an area under the curve (AUC) of 0.86 (95% CI 0.83-0.88) in the testing dataset. This performance was significantly superior to that of the neural network (AUC 0.79, 95% CI 0.76-0.81; P<.001), support vector machine (AUC 0.77, 95% CI 0.73-0.80; P<.001), and the model for end-stage liver disease score (AUC 0.74, 95% CI 0.71-0.77; P<.001). Using a probability threshold of 0.25, the extreme gradient boosting model demonstrated a sensitivity of 72% (95% CI 0.67-0.77), specificity of 80% (95% CI 0.78-0.82), a positive predictive value of 48% (95% CI 43-53), and a negative predictive value of 92% (95% CI 90-94) in the testing set. Comparable performance was observed in the training dataset, with a sensitivity of 80% (95% CI 0.77-0.83), specificity of 81% (95% CI 0.80-0.82), and a negative predictive value of 94% at the same threshold. The most influential predictive variables identified by the model included serum ammonia, aspartate transaminase, alanine transaminase, prothrombin time, and serum potassium.

Conclusions: We developed a novel ML model for predicting HE in patients with noncancer-related cirrhosis. This model provides a practical guide to help physicians and these patients in shared decision-making regarding treatment strategy, with the ultimate goal of improving clinical care and reducing the burden of HE-related morbid complications.

求助全文
通过发布文献求助,成功后即可免费获取论文全文。 去求助
来源期刊
JMIR Medical Informatics
JMIR Medical Informatics Medicine-Health Informatics
CiteScore
7.90
自引率
3.10%
发文量
173
审稿时长
12 weeks
期刊介绍: JMIR Medical Informatics (JMI, ISSN 2291-9694) is a top-rated, tier A journal which focuses on clinical informatics, big data in health and health care, decision support for health professionals, electronic health records, ehealth infrastructures and implementation. It has a focus on applied, translational research, with a broad readership including clinicians, CIOs, engineers, industry and health informatics professionals. Published by JMIR Publications, publisher of the Journal of Medical Internet Research (JMIR), the leading eHealth/mHealth journal (Impact Factor 2016: 5.175), JMIR Med Inform has a slightly different scope (emphasizing more on applications for clinicians and health professionals rather than consumers/citizens, which is the focus of JMIR), publishes even faster, and also allows papers which are more technical or more formative than what would be published in the Journal of Medical Internet Research.
×
引用
GB/T 7714-2015
复制
MLA
复制
APA
复制
导出至
BibTeX EndNote RefMan NoteFirst NoteExpress
×
提示
您的信息不完整,为了账户安全,请先补充。
现在去补充
×
提示
您因"违规操作"
具体请查看互助需知
我知道了
×
提示
确定
请完成安全验证×
copy
已复制链接
快去分享给好友吧!
我知道了
右上角分享
点击右上角分享
0
联系我们:info@booksci.cn Book学术提供免费学术资源搜索服务,方便国内外学者检索中英文文献。致力于提供最便捷和优质的服务体验。 Copyright © 2023 布克学术 All rights reserved.
京ICP备2023020795号-1
ghs 京公网安备 11010802042870号
Book学术文献互助
Book学术文献互助群
群 号:604180095
Book学术官方微信