莫桑比克马普托ART-naïve艾滋病毒感染者乙型肝炎感染的流行病学和临床概况:一项横断面研究。

BMJ public health Pub Date : 2025-08-04 eCollection Date: 2025-01-01 DOI:10.1136/bmjph-2024-001563
Lucia Mabalane Chambal, Charlotta Nilsson, Elias Manjate, Corssino Tchavana, Orvalho Augusto, Vanda Dos Muchangos, Júlia Muando, Esperanca Sevene
{"title":"莫桑比克马普托ART-naïve艾滋病毒感染者乙型肝炎感染的流行病学和临床概况:一项横断面研究。","authors":"Lucia Mabalane Chambal, Charlotta Nilsson, Elias Manjate, Corssino Tchavana, Orvalho Augusto, Vanda Dos Muchangos, Júlia Muando, Esperanca Sevene","doi":"10.1136/bmjph-2024-001563","DOIUrl":null,"url":null,"abstract":"<p><strong>Introduction: </strong>Globally, more than 254 million people are living with hepatitis B virus (HBV), and 7.4% of the people living with HIV (PLHIV) are coinfected with HBV. More than 70% of them reside in Africa. We aimed to describe the characteristics of newly diagnosed antiretroviral treatment (ART)-naïve HIV/HBV co-infected and HIV monoinfected patients.</p><p><strong>Methods: </strong>This cross-sectional study included newly HIV-diagnosed ART-naïve patients recruited at Mavalane Health Centre located in a periurban area of Maputo City. Between May 2021 and November 2022, all patients over 18 years old were enrolled and screened for hepatitis B surface antigen (HBsAg). Data on socio-demographic and clinical characteristics, haematology, liver and kidney function tests, CD4+T cell counts, serological markers of hepatitis B (IgM Core hepatitis B antibody, hepatitis B e antigen, and hepatitis B e antibody), HIV and HBV viral loads were assessed using standard procedures.</p><p><strong>Results: </strong>A total of 1106 participants were included. The age of the participants ranged from 18 years to 71 years with a median of 34.0 (IQR: 28.0-42.0) years, 513 (46.4%) were men and HBsAg was reactive in 81 participants, yielding a co-infection rate of 7.3%. Being male (OR, 1.72; 95% CI, 1.06 to 2.83) or a sex worker (OR, 3.69; 95% CI, 1.10 to 10.58) was associated with the co-infection. The median Aspartate Aminotransferase-Platelet Ratio Index (APRI) of the HIV/HBV co-infected was 0.5 (IQR 0.3-1.1), with 40/81 (49.4%) presenting with an APRI>0.5. Overall, 67/81 (80.2%) of the co-infected people were HBeAg-negative. The median APRI was 0.5 (IQR, 0.3-1.1) for the HBeAg-negative and 0.7 (IQR 0.3-1.4) for the HBeAg-positive subjects. The median HBV-DNA was 258.0 IU (IQR, 10.0-4974.5) for the HBeAg-negative and 746 287.0 IU (IQR 2720.0-49 899 213.0) for the HBeAg-positive subjects. Two (3.0%) HBeAg-negative and one (7.1%) HBeAg-positive subjects presented with hepatocellular carcinoma.</p><p><strong>Conclusion: </strong>These data confirm the high prevalence of HIV/HBV co-infection in Mozambique and bring new data related to HBeAg status, reinforcing the need to test all PLHIV for HBV and to integrate the management and monitoring of hepatitis B and liver disease-specific tests in public ART programmes to predict and reduce the occurrence of HBV complications and mortality.</p>","PeriodicalId":101362,"journal":{"name":"BMJ public health","volume":"3 2","pages":"e001563"},"PeriodicalIF":0.0000,"publicationDate":"2025-08-04","publicationTypes":"Journal Article","fieldsOfStudy":null,"isOpenAccess":false,"openAccessPdf":"https://www.ncbi.nlm.nih.gov/pmc/articles/PMC12323539/pdf/","citationCount":"0","resultStr":"{\"title\":\"Epidemiological and clinical profile of hepatitis B infection in ART-naïve people living with HIV in Maputo, Mozambique: a cross-sectional study.\",\"authors\":\"Lucia Mabalane Chambal, Charlotta Nilsson, Elias Manjate, Corssino Tchavana, Orvalho Augusto, Vanda Dos Muchangos, Júlia Muando, Esperanca Sevene\",\"doi\":\"10.1136/bmjph-2024-001563\",\"DOIUrl\":null,\"url\":null,\"abstract\":\"<p><strong>Introduction: </strong>Globally, more than 254 million people are living with hepatitis B virus (HBV), and 7.4% of the people living with HIV (PLHIV) are coinfected with HBV. More than 70% of them reside in Africa. We aimed to describe the characteristics of newly diagnosed antiretroviral treatment (ART)-naïve HIV/HBV co-infected and HIV monoinfected patients.</p><p><strong>Methods: </strong>This cross-sectional study included newly HIV-diagnosed ART-naïve patients recruited at Mavalane Health Centre located in a periurban area of Maputo City. Between May 2021 and November 2022, all patients over 18 years old were enrolled and screened for hepatitis B surface antigen (HBsAg). Data on socio-demographic and clinical characteristics, haematology, liver and kidney function tests, CD4+T cell counts, serological markers of hepatitis B (IgM Core hepatitis B antibody, hepatitis B e antigen, and hepatitis B e antibody), HIV and HBV viral loads were assessed using standard procedures.</p><p><strong>Results: </strong>A total of 1106 participants were included. The age of the participants ranged from 18 years to 71 years with a median of 34.0 (IQR: 28.0-42.0) years, 513 (46.4%) were men and HBsAg was reactive in 81 participants, yielding a co-infection rate of 7.3%. Being male (OR, 1.72; 95% CI, 1.06 to 2.83) or a sex worker (OR, 3.69; 95% CI, 1.10 to 10.58) was associated with the co-infection. The median Aspartate Aminotransferase-Platelet Ratio Index (APRI) of the HIV/HBV co-infected was 0.5 (IQR 0.3-1.1), with 40/81 (49.4%) presenting with an APRI>0.5. Overall, 67/81 (80.2%) of the co-infected people were HBeAg-negative. The median APRI was 0.5 (IQR, 0.3-1.1) for the HBeAg-negative and 0.7 (IQR 0.3-1.4) for the HBeAg-positive subjects. The median HBV-DNA was 258.0 IU (IQR, 10.0-4974.5) for the HBeAg-negative and 746 287.0 IU (IQR 2720.0-49 899 213.0) for the HBeAg-positive subjects. Two (3.0%) HBeAg-negative and one (7.1%) HBeAg-positive subjects presented with hepatocellular carcinoma.</p><p><strong>Conclusion: </strong>These data confirm the high prevalence of HIV/HBV co-infection in Mozambique and bring new data related to HBeAg status, reinforcing the need to test all PLHIV for HBV and to integrate the management and monitoring of hepatitis B and liver disease-specific tests in public ART programmes to predict and reduce the occurrence of HBV complications and mortality.</p>\",\"PeriodicalId\":101362,\"journal\":{\"name\":\"BMJ public health\",\"volume\":\"3 2\",\"pages\":\"e001563\"},\"PeriodicalIF\":0.0000,\"publicationDate\":\"2025-08-04\",\"publicationTypes\":\"Journal Article\",\"fieldsOfStudy\":null,\"isOpenAccess\":false,\"openAccessPdf\":\"https://www.ncbi.nlm.nih.gov/pmc/articles/PMC12323539/pdf/\",\"citationCount\":\"0\",\"resultStr\":null,\"platform\":\"Semanticscholar\",\"paperid\":null,\"PeriodicalName\":\"BMJ public health\",\"FirstCategoryId\":\"1085\",\"ListUrlMain\":\"https://doi.org/10.1136/bmjph-2024-001563\",\"RegionNum\":0,\"RegionCategory\":null,\"ArticlePicture\":[],\"TitleCN\":null,\"AbstractTextCN\":null,\"PMCID\":null,\"EPubDate\":\"2025/1/1 0:00:00\",\"PubModel\":\"eCollection\",\"JCR\":\"\",\"JCRName\":\"\",\"Score\":null,\"Total\":0}","platform":"Semanticscholar","paperid":null,"PeriodicalName":"BMJ public health","FirstCategoryId":"1085","ListUrlMain":"https://doi.org/10.1136/bmjph-2024-001563","RegionNum":0,"RegionCategory":null,"ArticlePicture":[],"TitleCN":null,"AbstractTextCN":null,"PMCID":null,"EPubDate":"2025/1/1 0:00:00","PubModel":"eCollection","JCR":"","JCRName":"","Score":null,"Total":0}
引用次数: 0

摘要

导语:在全球范围内,超过2.54亿人感染乙型肝炎病毒(HBV), 7.4%的艾滋病毒感染者(PLHIV)合并感染HBV。其中70%以上居住在非洲。我们的目的是描述新诊断的抗逆转录病毒治疗(ART)-naïve HIV/HBV合并感染和HIV单感染患者的特点。方法:这项横断面研究包括在马普托市郊区的马瓦拉内卫生中心招募的新诊断为hiv的ART-naïve患者。在2021年5月至2022年11月期间,所有18岁以上的患者入组并进行乙型肝炎表面抗原(HBsAg)筛查。使用标准程序评估社会人口学和临床特征、血液学、肝肾功能测试、CD4+T细胞计数、乙型肝炎血清学标志物(IgM核心乙型肝炎抗体、乙型肝炎e抗原和乙型肝炎e抗体)、HIV和HBV病毒载量的数据。结果:共纳入1106名受试者。参与者的年龄范围从18岁到71岁,中位年龄为34.0 (IQR: 28.0-42.0)岁,男性513人(46.4%),81人HBsAg反应,合并感染率为7.3%。男性(OR, 1.72;95% CI, 1.06 - 2.83)或性工作者(or, 3.69;95% CI(1.10 ~ 10.58)与合并感染相关。HIV/HBV合并感染患者的中位天冬氨酸转氨酶-血小板比值指数(APRI)为0.5 (IQR为0.3-1.1),其中40/81(49.4%)患者的APRI为0.5。总体而言,合并感染者中67/81(80.2%)为hbeag阴性。hbeag阴性受试者的中位APRI为0.5 (IQR, 0.3-1.1), hbeag阳性受试者的中位APRI为0.7 (IQR, 0.3-1.4)。hbeag阴性组中位HBV-DNA为258.0 IU (IQR, 10.0-4974.5), hbeag阳性组中位HBV-DNA为746 287.0 IU (IQR, 2720.0-49 899 213.0)。2例(3.0%)hbeag阴性和1例(7.1%)hbeag阳性患者表现为肝细胞癌。结论:这些数据证实了莫桑比克艾滋病毒/HBV合并感染的高流行率,并带来了与HBeAg状态相关的新数据,加强了对所有艾滋病毒感染者进行HBV检测的必要性,并在公共抗逆转录病毒治疗规划中整合乙型肝炎的管理和监测以及肝脏疾病特异性检测,以预测和减少HBV并发症的发生和死亡率。
本文章由计算机程序翻译,如有差异,请以英文原文为准。

Epidemiological and clinical profile of hepatitis B infection in ART-naïve people living with HIV in Maputo, Mozambique: a cross-sectional study.

Epidemiological and clinical profile of hepatitis B infection in ART-naïve people living with HIV in Maputo, Mozambique: a cross-sectional study.

Epidemiological and clinical profile of hepatitis B infection in ART-naïve people living with HIV in Maputo, Mozambique: a cross-sectional study.

Introduction: Globally, more than 254 million people are living with hepatitis B virus (HBV), and 7.4% of the people living with HIV (PLHIV) are coinfected with HBV. More than 70% of them reside in Africa. We aimed to describe the characteristics of newly diagnosed antiretroviral treatment (ART)-naïve HIV/HBV co-infected and HIV monoinfected patients.

Methods: This cross-sectional study included newly HIV-diagnosed ART-naïve patients recruited at Mavalane Health Centre located in a periurban area of Maputo City. Between May 2021 and November 2022, all patients over 18 years old were enrolled and screened for hepatitis B surface antigen (HBsAg). Data on socio-demographic and clinical characteristics, haematology, liver and kidney function tests, CD4+T cell counts, serological markers of hepatitis B (IgM Core hepatitis B antibody, hepatitis B e antigen, and hepatitis B e antibody), HIV and HBV viral loads were assessed using standard procedures.

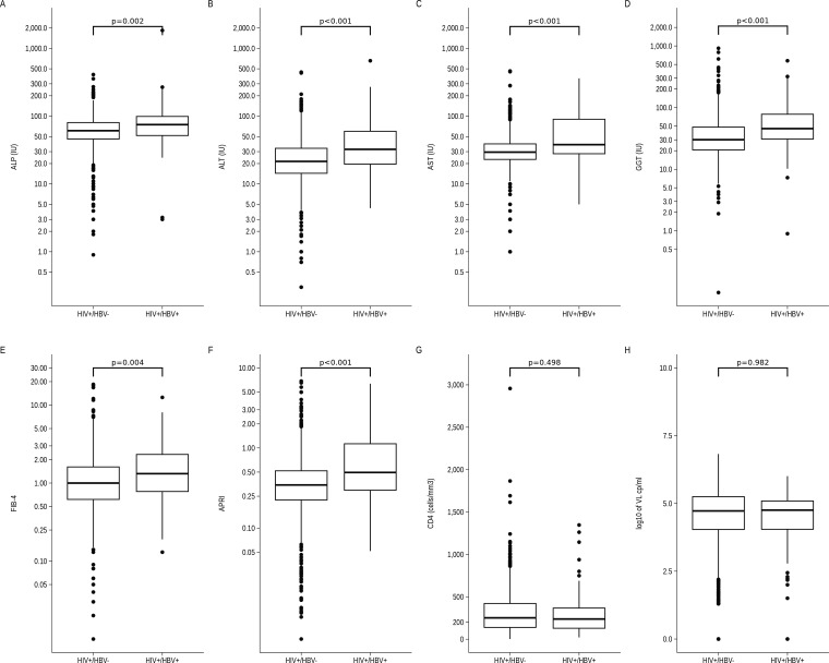
Results: A total of 1106 participants were included. The age of the participants ranged from 18 years to 71 years with a median of 34.0 (IQR: 28.0-42.0) years, 513 (46.4%) were men and HBsAg was reactive in 81 participants, yielding a co-infection rate of 7.3%. Being male (OR, 1.72; 95% CI, 1.06 to 2.83) or a sex worker (OR, 3.69; 95% CI, 1.10 to 10.58) was associated with the co-infection. The median Aspartate Aminotransferase-Platelet Ratio Index (APRI) of the HIV/HBV co-infected was 0.5 (IQR 0.3-1.1), with 40/81 (49.4%) presenting with an APRI>0.5. Overall, 67/81 (80.2%) of the co-infected people were HBeAg-negative. The median APRI was 0.5 (IQR, 0.3-1.1) for the HBeAg-negative and 0.7 (IQR 0.3-1.4) for the HBeAg-positive subjects. The median HBV-DNA was 258.0 IU (IQR, 10.0-4974.5) for the HBeAg-negative and 746 287.0 IU (IQR 2720.0-49 899 213.0) for the HBeAg-positive subjects. Two (3.0%) HBeAg-negative and one (7.1%) HBeAg-positive subjects presented with hepatocellular carcinoma.

Conclusion: These data confirm the high prevalence of HIV/HBV co-infection in Mozambique and bring new data related to HBeAg status, reinforcing the need to test all PLHIV for HBV and to integrate the management and monitoring of hepatitis B and liver disease-specific tests in public ART programmes to predict and reduce the occurrence of HBV complications and mortality.

求助全文
通过发布文献求助,成功后即可免费获取论文全文。 去求助
来源期刊
自引率
0.00%
发文量
0
×
引用
GB/T 7714-2015
复制
MLA
复制
APA
复制
导出至
BibTeX EndNote RefMan NoteFirst NoteExpress
×
提示
您的信息不完整,为了账户安全,请先补充。
现在去补充
×
提示
您因"违规操作"
具体请查看互助需知
我知道了
×
提示
确定
请完成安全验证×
copy
已复制链接
快去分享给好友吧!
我知道了
右上角分享
点击右上角分享
0
联系我们:info@booksci.cn Book学术提供免费学术资源搜索服务,方便国内外学者检索中英文文献。致力于提供最便捷和优质的服务体验。 Copyright © 2023 布克学术 All rights reserved.
京ICP备2023020795号-1
ghs 京公网安备 11010802042870号
Book学术文献互助
Book学术文献互助群
群 号:604180095
Book学术官方微信