利用深度学习和机器学习方法从骨盆平片中检测和分类股骨颈骨折。

IF 1
Hüseyin Fatih Sevinç, Kemal Üreten, Talha Karadeniz, Gökhan Koray Gültekin
{"title":"利用深度学习和机器学习方法从骨盆平片中检测和分类股骨颈骨折。","authors":"Hüseyin Fatih Sevinç, Kemal Üreten, Talha Karadeniz, Gökhan Koray Gültekin","doi":"10.14744/tjtes.2025.75806","DOIUrl":null,"url":null,"abstract":"<p><strong>Background: </strong>Femoral neck fractures are a serious health concern, particularly among the elderly. The aim of this study is to diagnose and classify femoral neck fractures from plain pelvic X-rays using deep learning and machine learning algorithms, and to compare the performance of these methods.</p><p><strong>Methods: </strong>The study was conducted on a total of 598 plain pelvic X-ray images, including 296 patients with femoral neck fractures and 302 individuals without femoral neck fractures. Initially, transfer learning was applied using pre-trained deep learning models: VGG-16, ResNet-50, and MobileNetv2.</p><p><strong>Results: </strong>The pre-trained VGG-16 network demonstrated slightly better performance than ResNet-50 and MobileNetV2 for de-tecting and classifying femoral neck fractures. Using the VGG-16 model, the following results were obtained: 95.6% accuracy, 95.5% sensitivity, 93.3% specificity, 95.7% precision, 95.5% F1 Score, a Cohen's kappa of 0.91, and the Receiver Operating Characteristic (ROC) curve of 0.99. Subsequently, features extracted from the convolution layers of VGG-16 were classified using common machine learning algorithms. Among these, the k-nearest neighbor (k-NN) algorithm outperformed the others and exceeded the accuracy of the VGG-16 model by 1%.</p><p><strong>Conclusion: </strong>Successful results were obtained using deep learning and machine learning methods for the detection and clas-sification of femoral neck fractures. The model can be further improved through multi-center studies. The proposed model may be especially useful for physicians working in emergency departments and for those not having sufficient experience in evaluating plain pelvic radiographs.</p>","PeriodicalId":94263,"journal":{"name":"Ulusal travma ve acil cerrahi dergisi = Turkish journal of trauma & emergency surgery : TJTES","volume":"31 8","pages":"783-788"},"PeriodicalIF":1.0000,"publicationDate":"2025-08-01","publicationTypes":"Journal Article","fieldsOfStudy":null,"isOpenAccess":false,"openAccessPdf":"https://www.ncbi.nlm.nih.gov/pmc/articles/PMC12363146/pdf/","citationCount":"0","resultStr":"{\"title\":\"Detection and classification of femoral neck fractures from plain pelvic X-rays using deep learning and machine learning methods.\",\"authors\":\"Hüseyin Fatih Sevinç, Kemal Üreten, Talha Karadeniz, Gökhan Koray Gültekin\",\"doi\":\"10.14744/tjtes.2025.75806\",\"DOIUrl\":null,\"url\":null,\"abstract\":\"<p><strong>Background: </strong>Femoral neck fractures are a serious health concern, particularly among the elderly. The aim of this study is to diagnose and classify femoral neck fractures from plain pelvic X-rays using deep learning and machine learning algorithms, and to compare the performance of these methods.</p><p><strong>Methods: </strong>The study was conducted on a total of 598 plain pelvic X-ray images, including 296 patients with femoral neck fractures and 302 individuals without femoral neck fractures. Initially, transfer learning was applied using pre-trained deep learning models: VGG-16, ResNet-50, and MobileNetv2.</p><p><strong>Results: </strong>The pre-trained VGG-16 network demonstrated slightly better performance than ResNet-50 and MobileNetV2 for de-tecting and classifying femoral neck fractures. Using the VGG-16 model, the following results were obtained: 95.6% accuracy, 95.5% sensitivity, 93.3% specificity, 95.7% precision, 95.5% F1 Score, a Cohen's kappa of 0.91, and the Receiver Operating Characteristic (ROC) curve of 0.99. Subsequently, features extracted from the convolution layers of VGG-16 were classified using common machine learning algorithms. Among these, the k-nearest neighbor (k-NN) algorithm outperformed the others and exceeded the accuracy of the VGG-16 model by 1%.</p><p><strong>Conclusion: </strong>Successful results were obtained using deep learning and machine learning methods for the detection and clas-sification of femoral neck fractures. The model can be further improved through multi-center studies. The proposed model may be especially useful for physicians working in emergency departments and for those not having sufficient experience in evaluating plain pelvic radiographs.</p>\",\"PeriodicalId\":94263,\"journal\":{\"name\":\"Ulusal travma ve acil cerrahi dergisi = Turkish journal of trauma & emergency surgery : TJTES\",\"volume\":\"31 8\",\"pages\":\"783-788\"},\"PeriodicalIF\":1.0000,\"publicationDate\":\"2025-08-01\",\"publicationTypes\":\"Journal Article\",\"fieldsOfStudy\":null,\"isOpenAccess\":false,\"openAccessPdf\":\"https://www.ncbi.nlm.nih.gov/pmc/articles/PMC12363146/pdf/\",\"citationCount\":\"0\",\"resultStr\":null,\"platform\":\"Semanticscholar\",\"paperid\":null,\"PeriodicalName\":\"Ulusal travma ve acil cerrahi dergisi = Turkish journal of trauma & emergency surgery : TJTES\",\"FirstCategoryId\":\"1085\",\"ListUrlMain\":\"https://doi.org/10.14744/tjtes.2025.75806\",\"RegionNum\":0,\"RegionCategory\":null,\"ArticlePicture\":[],\"TitleCN\":null,\"AbstractTextCN\":null,\"PMCID\":null,\"EPubDate\":\"\",\"PubModel\":\"\",\"JCR\":\"\",\"JCRName\":\"\",\"Score\":null,\"Total\":0}","platform":"Semanticscholar","paperid":null,"PeriodicalName":"Ulusal travma ve acil cerrahi dergisi = Turkish journal of trauma & emergency surgery : TJTES","FirstCategoryId":"1085","ListUrlMain":"https://doi.org/10.14744/tjtes.2025.75806","RegionNum":0,"RegionCategory":null,"ArticlePicture":[],"TitleCN":null,"AbstractTextCN":null,"PMCID":null,"EPubDate":"","PubModel":"","JCR":"","JCRName":"","Score":null,"Total":0}
引用次数: 0

摘要

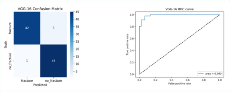
背景:股骨颈骨折是一个严重的健康问题,尤其是在老年人中。本研究的目的是利用深度学习和机器学习算法从骨盆x线平片诊断和分类股骨颈骨折,并比较这些方法的性能。方法:对598张骨盆x线平片进行研究,其中股骨颈骨折患者296例,非股骨颈骨折患者302例。最初,迁移学习应用于预训练的深度学习模型:VGG-16、ResNet-50和MobileNetv2。结果:预训练的VGG-16网络在股骨颈骨折检测和分类方面的性能略优于ResNet-50和MobileNetV2。采用VGG-16模型,准确率95.6%,灵敏度95.5%,特异性93.3%,精密度95.7%,F1评分95.5%,Cohen’s kappa为0.91,受试者工作特征(ROC)曲线为0.99。随后,使用常见的机器学习算法对VGG-16的卷积层提取的特征进行分类。其中,k近邻(k-NN)算法优于其他算法,比VGG-16模型的准确率高出1%。结论:采用深度学习和机器学习方法对股骨颈骨折进行检测和分类,取得了成功的结果。该模型可通过多中心研究进一步完善。所提出的模型对于在急诊科工作的医生和那些在评估骨盆平片方面没有足够经验的医生可能特别有用。
本文章由计算机程序翻译,如有差异,请以英文原文为准。

Detection and classification of femoral neck fractures from plain pelvic X-rays using deep learning and machine learning methods.

Detection and classification of femoral neck fractures from plain pelvic X-rays using deep learning and machine learning methods.

Detection and classification of femoral neck fractures from plain pelvic X-rays using deep learning and machine learning methods.

Detection and classification of femoral neck fractures from plain pelvic X-rays using deep learning and machine learning methods.

Background: Femoral neck fractures are a serious health concern, particularly among the elderly. The aim of this study is to diagnose and classify femoral neck fractures from plain pelvic X-rays using deep learning and machine learning algorithms, and to compare the performance of these methods.

Methods: The study was conducted on a total of 598 plain pelvic X-ray images, including 296 patients with femoral neck fractures and 302 individuals without femoral neck fractures. Initially, transfer learning was applied using pre-trained deep learning models: VGG-16, ResNet-50, and MobileNetv2.

Results: The pre-trained VGG-16 network demonstrated slightly better performance than ResNet-50 and MobileNetV2 for de-tecting and classifying femoral neck fractures. Using the VGG-16 model, the following results were obtained: 95.6% accuracy, 95.5% sensitivity, 93.3% specificity, 95.7% precision, 95.5% F1 Score, a Cohen's kappa of 0.91, and the Receiver Operating Characteristic (ROC) curve of 0.99. Subsequently, features extracted from the convolution layers of VGG-16 were classified using common machine learning algorithms. Among these, the k-nearest neighbor (k-NN) algorithm outperformed the others and exceeded the accuracy of the VGG-16 model by 1%.

Conclusion: Successful results were obtained using deep learning and machine learning methods for the detection and clas-sification of femoral neck fractures. The model can be further improved through multi-center studies. The proposed model may be especially useful for physicians working in emergency departments and for those not having sufficient experience in evaluating plain pelvic radiographs.

求助全文
通过发布文献求助,成功后即可免费获取论文全文。 去求助
来源期刊
自引率
0.00%
发文量
0
×
引用
GB/T 7714-2015
复制
MLA
复制
APA
复制
导出至
BibTeX EndNote RefMan NoteFirst NoteExpress
×
提示
您的信息不完整,为了账户安全,请先补充。
现在去补充
×
提示
您因"违规操作"
具体请查看互助需知
我知道了
×
提示
确定
请完成安全验证×
copy
已复制链接
快去分享给好友吧!
我知道了
右上角分享
点击右上角分享
0
联系我们:info@booksci.cn Book学术提供免费学术资源搜索服务,方便国内外学者检索中英文文献。致力于提供最便捷和优质的服务体验。 Copyright © 2023 布克学术 All rights reserved.
京ICP备2023020795号-1
ghs 京公网安备 11010802042870号
Book学术文献互助
Book学术文献互助群
群 号:604180095
Book学术官方微信