影响65岁以上髋部骨折手术患者一年死亡率的因素

IF 1
Zafer Güneş, Eralp Erdoğan, Kubilay Uğurcan Ceritoglu, Cem Nuri Aktekin
{"title":"影响65岁以上髋部骨折手术患者一年死亡率的因素","authors":"Zafer Güneş, Eralp Erdoğan, Kubilay Uğurcan Ceritoglu, Cem Nuri Aktekin","doi":"10.14744/tjtes.2025.69199","DOIUrl":null,"url":null,"abstract":"<p><strong>Objectives: </strong>In this study, our objective was to investigate the factors that affect 1-year mortality in patients over 65 years of age who were hospitalized due to hip fracture.</p><p><strong>Methods: </strong>This retrospective cohort study is based on data from our clinical archives collected between January 2013 and December 2021. All consecutive patients over 65 years of age with hip fractyres admitted to our hospital were considered for inclusion in the study.</p><p><strong>Results: </strong>During the period from January 2013 to December 2021, 834 patients met the inclusion criteria. The one-year mortality rate was 33.5 % (279/834). The mean surgery time was 5.64 days in patients with 1-year mortality; and 4.50 days in patients who lived longer than one year (P = 0,001). The mean values of hemoglobin, creatinine, lymphocyte count, and albumin of patients in the one-year mortality group were 11.47 g/dL, 1.33 mg/dL, 1.10x103/μL and 3.42 g/L, respectively. The same values of those who survived for more than a year were 11.93 g/dL, 1.12 mg/dL, 1.35x103/μL and 3.68 g/L, respectively (P= 0.006, 0.002, 0.001 and 0,000, respectively).</p><p><strong>Conclusions: </strong>We found that older patient age, delayed surgery, low albumin level, low total lymphocyte count, and high creatinine levels at hospital admission are associated with increased mortality after hip fracture. Comorbidities, number of comorbidities, transfusions, and ICU requirements were not associated with increased mortality, unlike the literature.</p>","PeriodicalId":94263,"journal":{"name":"Ulusal travma ve acil cerrahi dergisi = Turkish journal of trauma & emergency surgery : TJTES","volume":"31 8","pages":"776-782"},"PeriodicalIF":1.0000,"publicationDate":"2025-08-01","publicationTypes":"Journal Article","fieldsOfStudy":null,"isOpenAccess":false,"openAccessPdf":"https://www.ncbi.nlm.nih.gov/pmc/articles/PMC12363141/pdf/","citationCount":"0","resultStr":"{\"title\":\"Factors affecting one-year mortality in patients over 65 years of age undergoing surgery for hip fracture.\",\"authors\":\"Zafer Güneş, Eralp Erdoğan, Kubilay Uğurcan Ceritoglu, Cem Nuri Aktekin\",\"doi\":\"10.14744/tjtes.2025.69199\",\"DOIUrl\":null,\"url\":null,\"abstract\":\"<p><strong>Objectives: </strong>In this study, our objective was to investigate the factors that affect 1-year mortality in patients over 65 years of age who were hospitalized due to hip fracture.</p><p><strong>Methods: </strong>This retrospective cohort study is based on data from our clinical archives collected between January 2013 and December 2021. All consecutive patients over 65 years of age with hip fractyres admitted to our hospital were considered for inclusion in the study.</p><p><strong>Results: </strong>During the period from January 2013 to December 2021, 834 patients met the inclusion criteria. The one-year mortality rate was 33.5 % (279/834). The mean surgery time was 5.64 days in patients with 1-year mortality; and 4.50 days in patients who lived longer than one year (P = 0,001). The mean values of hemoglobin, creatinine, lymphocyte count, and albumin of patients in the one-year mortality group were 11.47 g/dL, 1.33 mg/dL, 1.10x103/μL and 3.42 g/L, respectively. The same values of those who survived for more than a year were 11.93 g/dL, 1.12 mg/dL, 1.35x103/μL and 3.68 g/L, respectively (P= 0.006, 0.002, 0.001 and 0,000, respectively).</p><p><strong>Conclusions: </strong>We found that older patient age, delayed surgery, low albumin level, low total lymphocyte count, and high creatinine levels at hospital admission are associated with increased mortality after hip fracture. Comorbidities, number of comorbidities, transfusions, and ICU requirements were not associated with increased mortality, unlike the literature.</p>\",\"PeriodicalId\":94263,\"journal\":{\"name\":\"Ulusal travma ve acil cerrahi dergisi = Turkish journal of trauma & emergency surgery : TJTES\",\"volume\":\"31 8\",\"pages\":\"776-782\"},\"PeriodicalIF\":1.0000,\"publicationDate\":\"2025-08-01\",\"publicationTypes\":\"Journal Article\",\"fieldsOfStudy\":null,\"isOpenAccess\":false,\"openAccessPdf\":\"https://www.ncbi.nlm.nih.gov/pmc/articles/PMC12363141/pdf/\",\"citationCount\":\"0\",\"resultStr\":null,\"platform\":\"Semanticscholar\",\"paperid\":null,\"PeriodicalName\":\"Ulusal travma ve acil cerrahi dergisi = Turkish journal of trauma & emergency surgery : TJTES\",\"FirstCategoryId\":\"1085\",\"ListUrlMain\":\"https://doi.org/10.14744/tjtes.2025.69199\",\"RegionNum\":0,\"RegionCategory\":null,\"ArticlePicture\":[],\"TitleCN\":null,\"AbstractTextCN\":null,\"PMCID\":null,\"EPubDate\":\"\",\"PubModel\":\"\",\"JCR\":\"\",\"JCRName\":\"\",\"Score\":null,\"Total\":0}","platform":"Semanticscholar","paperid":null,"PeriodicalName":"Ulusal travma ve acil cerrahi dergisi = Turkish journal of trauma & emergency surgery : TJTES","FirstCategoryId":"1085","ListUrlMain":"https://doi.org/10.14744/tjtes.2025.69199","RegionNum":0,"RegionCategory":null,"ArticlePicture":[],"TitleCN":null,"AbstractTextCN":null,"PMCID":null,"EPubDate":"","PubModel":"","JCR":"","JCRName":"","Score":null,"Total":0}
引用次数: 0

摘要

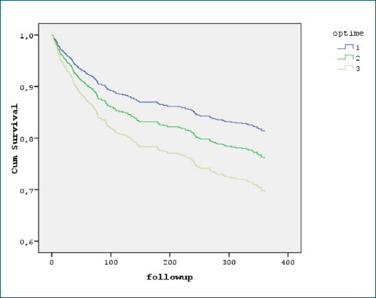
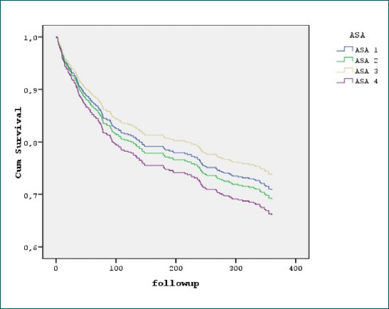
目的:在本研究中,我们的目的是调查影响65岁以上髋部骨折住院患者1年死亡率的因素。方法:这项回顾性队列研究基于2013年1月至2021年12月期间收集的临床档案数据。所有连续入住我院的65岁以上髋部骨折患者均被纳入研究。结果:2013年1月至2021年12月,834例患者符合纳入标准。一年死亡率为33.5%(279/834)。死亡率为1年的患者平均手术时间为5.64天;寿命超过1年的患者为4.50天(P = 0.001)。1年死亡组患者血红蛋白、肌酐、淋巴细胞计数、白蛋白平均值分别为11.47 g/dL、1.33 mg/dL、1.10 × 103/μL、3.42 g/L。存活1年以上的分别为11.93 g/dL、1.12 mg/dL、1.35 × 103/μL、3.68 g/L (P值分别为0.006、0.002、0.001、000)。结论:我们发现患者年龄较大、手术延迟、入院时白蛋白水平低、总淋巴细胞计数低和肌酐水平高与髋部骨折后死亡率增加有关。与文献不同,合并症、合并症数量、输血和ICU要求与死亡率增加无关。
本文章由计算机程序翻译,如有差异,请以英文原文为准。

Factors affecting one-year mortality in patients over 65 years of age undergoing surgery for hip fracture.

Factors affecting one-year mortality in patients over 65 years of age undergoing surgery for hip fracture.

Factors affecting one-year mortality in patients over 65 years of age undergoing surgery for hip fracture.

Objectives: In this study, our objective was to investigate the factors that affect 1-year mortality in patients over 65 years of age who were hospitalized due to hip fracture.

Methods: This retrospective cohort study is based on data from our clinical archives collected between January 2013 and December 2021. All consecutive patients over 65 years of age with hip fractyres admitted to our hospital were considered for inclusion in the study.

Results: During the period from January 2013 to December 2021, 834 patients met the inclusion criteria. The one-year mortality rate was 33.5 % (279/834). The mean surgery time was 5.64 days in patients with 1-year mortality; and 4.50 days in patients who lived longer than one year (P = 0,001). The mean values of hemoglobin, creatinine, lymphocyte count, and albumin of patients in the one-year mortality group were 11.47 g/dL, 1.33 mg/dL, 1.10x103/μL and 3.42 g/L, respectively. The same values of those who survived for more than a year were 11.93 g/dL, 1.12 mg/dL, 1.35x103/μL and 3.68 g/L, respectively (P= 0.006, 0.002, 0.001 and 0,000, respectively).

Conclusions: We found that older patient age, delayed surgery, low albumin level, low total lymphocyte count, and high creatinine levels at hospital admission are associated with increased mortality after hip fracture. Comorbidities, number of comorbidities, transfusions, and ICU requirements were not associated with increased mortality, unlike the literature.

求助全文
通过发布文献求助,成功后即可免费获取论文全文。 去求助
来源期刊
自引率
0.00%
发文量
0
×
引用
GB/T 7714-2015
复制
MLA
复制
APA
复制
导出至
BibTeX EndNote RefMan NoteFirst NoteExpress
×
提示
您的信息不完整,为了账户安全,请先补充。
现在去补充
×
提示
您因"违规操作"
具体请查看互助需知
我知道了
×
提示
确定
请完成安全验证×
copy
已复制链接
快去分享给好友吧!
我知道了
右上角分享
点击右上角分享
0
联系我们:info@booksci.cn Book学术提供免费学术资源搜索服务,方便国内外学者检索中英文文献。致力于提供最便捷和优质的服务体验。 Copyright © 2023 布克学术 All rights reserved.
京ICP备2023020795号-1
ghs 京公网安备 11010802042870号
Book学术文献互助
Book学术文献互助群
群 号:604180095
Book学术官方微信