在晚期非小细胞肺癌中,从匹配的基于血浆的与组织的下一代测序中检测可操作的突变:一项回顾性的单中心分析。

IF 12.8 1区 医学 Q1 ONCOLOGY
Christophe Bontoux, Caroline Lacoux, Jonathan Benzaquen, Jacques Boutros, Guylène Rignol, Elodie Long-Mira, Sandra Lassalle, Maryline Allegra, Doriane Bohly, Mathieu Garcia, Christelle Bonnetaud, Olivier Bordone, Jean-Marc Félix, Virginie Lespinet-Fabre, Virginie Tanga, Charles-Hugo Marquette, Valérie Taly, Aurélia Baurès, Simon Heeke, Marius Ilié, Véronique Hofman, Paul Hofman
{"title":"在晚期非小细胞肺癌中,从匹配的基于血浆的与组织的下一代测序中检测可操作的突变:一项回顾性的单中心分析。","authors":"Christophe Bontoux, Caroline Lacoux, Jonathan Benzaquen, Jacques Boutros, Guylène Rignol, Elodie Long-Mira, Sandra Lassalle, Maryline Allegra, Doriane Bohly, Mathieu Garcia, Christelle Bonnetaud, Olivier Bordone, Jean-Marc Félix, Virginie Lespinet-Fabre, Virginie Tanga, Charles-Hugo Marquette, Valérie Taly, Aurélia Baurès, Simon Heeke, Marius Ilié, Véronique Hofman, Paul Hofman","doi":"10.1186/s13046-025-03480-x","DOIUrl":null,"url":null,"abstract":"<p><strong>Background: </strong>Liquid biopsies (LB) are used increasingly to detect actionable mutations in patients newly diagnosed with advanced non-small cell lung cancer (aNSCLC), though tissue biopsies (TB) still remain the gold standard. The value of systematically combining LB and TB next-generation sequencing (NGS) for genomic profiling in these patients remains controversial.</p><p><strong>Methods: </strong>This single-centre retrospective study included 102 matched TB and LB samples collected from aNSCLC patients at diagnosis. Four circulating free DNA (cfDNA)-based NGS assays (1-4) were compared on site for performance and concordance with TB to detect ESMO Scale for Clinical Actionability of molecular Targets (ESCAT) I/II. Additionally, cfDNA droplet digital PCR methylation (ddPCR-met) testing estimated the tumour fraction to refine the interpretation of wild-type (WT) results.</p><p><strong>Results: </strong>Out of 102 patients, 13% had stage IIIB disease, and 11% presented with brain-only metastases. Adenocarcinoma was the predominant subtype (84%). Ninety LB samples yielded interpretable results across the four assays. Positive percent agreement with TB ranged from 56% (assay 2) to 79% (assay 4), with high concordance, particularly for single-nucleotide variants (SNVs). Hybrid capture-based assays (3 and 4) detected eight and seven gene fusions, respectively, while amplicon-based assays (1 and 2) detected only two each. Assay 3 only identified 12 MET amplifications, five of which were confirmed by fluorescence in situ hybridisation (FISH) but were missed by TB-based NGS. Five out of six negative cfDNA samples with ddPCR-met testing were WT across all assays. The plasma-first approach added incremental value, up to 21% (assay 3). Amplicon-based assays were faster and required less input of DNA for analysis. Patients with stage IIIB or brain-only metastases were significantly more likely to have negative/low levels of cfDNA ddPCR-met.</p><p><strong>Conclusions: </strong>LB-based NGS demonstrated high concordance with TB in newly diagnosed aNSCLC, particularly for detection of SNV. Hybrid capture assays showed superior performance in identifying gene fusions and MET amplifications. The incremental value of a plasma-first strategy was limited in this real-life study. Thus, LB-based NGS on site should be seen as a complementary tool to TB-based NGS or an alternative when tissue samples are unavailable. Additionally, cfDNA methylation analysis enhances diagnostic accuracy in specific cases.</p>","PeriodicalId":50199,"journal":{"name":"Journal of Experimental & Clinical Cancer Research","volume":"44 1","pages":"229"},"PeriodicalIF":12.8000,"publicationDate":"2025-08-06","publicationTypes":"Journal Article","fieldsOfStudy":null,"isOpenAccess":false,"openAccessPdf":"https://www.ncbi.nlm.nih.gov/pmc/articles/PMC12326616/pdf/","citationCount":"0","resultStr":"{\"title\":\"Detecting actionable mutations from matched plasma-based versus tissue next-generation sequencing in advanced non-small cell lung cancer: a retrospective single centre analysis on site.\",\"authors\":\"Christophe Bontoux, Caroline Lacoux, Jonathan Benzaquen, Jacques Boutros, Guylène Rignol, Elodie Long-Mira, Sandra Lassalle, Maryline Allegra, Doriane Bohly, Mathieu Garcia, Christelle Bonnetaud, Olivier Bordone, Jean-Marc Félix, Virginie Lespinet-Fabre, Virginie Tanga, Charles-Hugo Marquette, Valérie Taly, Aurélia Baurès, Simon Heeke, Marius Ilié, Véronique Hofman, Paul Hofman\",\"doi\":\"10.1186/s13046-025-03480-x\",\"DOIUrl\":null,\"url\":null,\"abstract\":\"<p><strong>Background: </strong>Liquid biopsies (LB) are used increasingly to detect actionable mutations in patients newly diagnosed with advanced non-small cell lung cancer (aNSCLC), though tissue biopsies (TB) still remain the gold standard. The value of systematically combining LB and TB next-generation sequencing (NGS) for genomic profiling in these patients remains controversial.</p><p><strong>Methods: </strong>This single-centre retrospective study included 102 matched TB and LB samples collected from aNSCLC patients at diagnosis. Four circulating free DNA (cfDNA)-based NGS assays (1-4) were compared on site for performance and concordance with TB to detect ESMO Scale for Clinical Actionability of molecular Targets (ESCAT) I/II. Additionally, cfDNA droplet digital PCR methylation (ddPCR-met) testing estimated the tumour fraction to refine the interpretation of wild-type (WT) results.</p><p><strong>Results: </strong>Out of 102 patients, 13% had stage IIIB disease, and 11% presented with brain-only metastases. Adenocarcinoma was the predominant subtype (84%). Ninety LB samples yielded interpretable results across the four assays. Positive percent agreement with TB ranged from 56% (assay 2) to 79% (assay 4), with high concordance, particularly for single-nucleotide variants (SNVs). Hybrid capture-based assays (3 and 4) detected eight and seven gene fusions, respectively, while amplicon-based assays (1 and 2) detected only two each. Assay 3 only identified 12 MET amplifications, five of which were confirmed by fluorescence in situ hybridisation (FISH) but were missed by TB-based NGS. Five out of six negative cfDNA samples with ddPCR-met testing were WT across all assays. The plasma-first approach added incremental value, up to 21% (assay 3). Amplicon-based assays were faster and required less input of DNA for analysis. Patients with stage IIIB or brain-only metastases were significantly more likely to have negative/low levels of cfDNA ddPCR-met.</p><p><strong>Conclusions: </strong>LB-based NGS demonstrated high concordance with TB in newly diagnosed aNSCLC, particularly for detection of SNV. Hybrid capture assays showed superior performance in identifying gene fusions and MET amplifications. The incremental value of a plasma-first strategy was limited in this real-life study. Thus, LB-based NGS on site should be seen as a complementary tool to TB-based NGS or an alternative when tissue samples are unavailable. Additionally, cfDNA methylation analysis enhances diagnostic accuracy in specific cases.</p>\",\"PeriodicalId\":50199,\"journal\":{\"name\":\"Journal of Experimental & Clinical Cancer Research\",\"volume\":\"44 1\",\"pages\":\"229\"},\"PeriodicalIF\":12.8000,\"publicationDate\":\"2025-08-06\",\"publicationTypes\":\"Journal Article\",\"fieldsOfStudy\":null,\"isOpenAccess\":false,\"openAccessPdf\":\"https://www.ncbi.nlm.nih.gov/pmc/articles/PMC12326616/pdf/\",\"citationCount\":\"0\",\"resultStr\":null,\"platform\":\"Semanticscholar\",\"paperid\":null,\"PeriodicalName\":\"Journal of Experimental & Clinical Cancer Research\",\"FirstCategoryId\":\"3\",\"ListUrlMain\":\"https://doi.org/10.1186/s13046-025-03480-x\",\"RegionNum\":1,\"RegionCategory\":\"医学\",\"ArticlePicture\":[],\"TitleCN\":null,\"AbstractTextCN\":null,\"PMCID\":null,\"EPubDate\":\"\",\"PubModel\":\"\",\"JCR\":\"Q1\",\"JCRName\":\"ONCOLOGY\",\"Score\":null,\"Total\":0}","platform":"Semanticscholar","paperid":null,"PeriodicalName":"Journal of Experimental & Clinical Cancer Research","FirstCategoryId":"3","ListUrlMain":"https://doi.org/10.1186/s13046-025-03480-x","RegionNum":1,"RegionCategory":"医学","ArticlePicture":[],"TitleCN":null,"AbstractTextCN":null,"PMCID":null,"EPubDate":"","PubModel":"","JCR":"Q1","JCRName":"ONCOLOGY","Score":null,"Total":0}
引用次数: 0

摘要

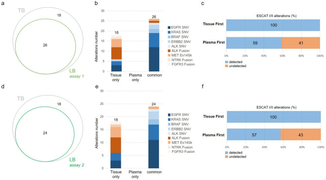
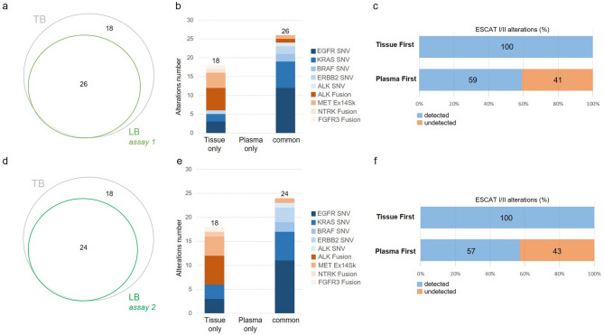
背景:液体活检(LB)越来越多地用于检测新诊断为晚期非小细胞肺癌(aNSCLC)患者的可操作突变,尽管组织活检(TB)仍然是金标准。系统地结合LB和TB下一代测序(NGS)对这些患者的基因组分析的价值仍然存在争议。方法:这项单中心回顾性研究包括102例在诊断时从aNSCLC患者中收集的匹配的TB和LB样本。我们现场比较了4种基于循环游离DNA (cfDNA)的NGS检测方法(1-4)在检测ESMO分子靶点临床可动性量表(ESCAT) I/II方面的性能和与TB的一致性。此外,cfDNA液滴数字PCR甲基化(ddPCR-met)测试估计了肿瘤部分,以完善野生型(WT)结果的解释。结果:102例患者中,13%为IIIB期,11%为仅脑转移。腺癌是主要亚型(84%)。90个LB样本在四种分析中产生了可解释的结果。结核病的阳性率从56%(试验2)到79%(试验4)不等,一致性很高,特别是单核苷酸变异(snv)。基于杂交捕获的分析(3和4)分别检测到8个和7个基因融合,而基于扩增子的分析(1和2)分别只检测到2个。实验3只鉴定了12个MET扩增,其中5个通过荧光原位杂交(FISH)确认,但通过基于tbs的NGS未发现。6个ddPCR-met检测阴性cfDNA样本中有5个在所有检测中均为WT。血浆优先方法增加了高达21%的增量值(试验3)。基于扩增子的分析更快,需要更少的DNA输入进行分析。IIIB期或仅脑转移的患者更有可能出现cfDNA ddPCR-met阴性/低水平。结论:基于lb的NGS在新诊断的aNSCLC中显示出与TB的高度一致性,特别是在SNV检测中。杂交捕获法在鉴定基因融合和MET扩增方面表现优异。在现实生活中,血浆优先策略的增量价值是有限的。因此,现场基于lb的NGS应被视为基于tb的NGS的补充工具,或者在无法获得组织样本时的替代方法。此外,cfDNA甲基化分析提高了特定病例的诊断准确性。
本文章由计算机程序翻译,如有差异,请以英文原文为准。

Detecting actionable mutations from matched plasma-based versus tissue next-generation sequencing in advanced non-small cell lung cancer: a retrospective single centre analysis on site.

Detecting actionable mutations from matched plasma-based versus tissue next-generation sequencing in advanced non-small cell lung cancer: a retrospective single centre analysis on site.

Detecting actionable mutations from matched plasma-based versus tissue next-generation sequencing in advanced non-small cell lung cancer: a retrospective single centre analysis on site.

Detecting actionable mutations from matched plasma-based versus tissue next-generation sequencing in advanced non-small cell lung cancer: a retrospective single centre analysis on site.

Detecting actionable mutations from matched plasma-based versus tissue next-generation sequencing in advanced non-small cell lung cancer: a retrospective single centre analysis on site.

Detecting actionable mutations from matched plasma-based versus tissue next-generation sequencing in advanced non-small cell lung cancer: a retrospective single centre analysis on site.

Detecting actionable mutations from matched plasma-based versus tissue next-generation sequencing in advanced non-small cell lung cancer: a retrospective single centre analysis on site.

Background: Liquid biopsies (LB) are used increasingly to detect actionable mutations in patients newly diagnosed with advanced non-small cell lung cancer (aNSCLC), though tissue biopsies (TB) still remain the gold standard. The value of systematically combining LB and TB next-generation sequencing (NGS) for genomic profiling in these patients remains controversial.

Methods: This single-centre retrospective study included 102 matched TB and LB samples collected from aNSCLC patients at diagnosis. Four circulating free DNA (cfDNA)-based NGS assays (1-4) were compared on site for performance and concordance with TB to detect ESMO Scale for Clinical Actionability of molecular Targets (ESCAT) I/II. Additionally, cfDNA droplet digital PCR methylation (ddPCR-met) testing estimated the tumour fraction to refine the interpretation of wild-type (WT) results.

Results: Out of 102 patients, 13% had stage IIIB disease, and 11% presented with brain-only metastases. Adenocarcinoma was the predominant subtype (84%). Ninety LB samples yielded interpretable results across the four assays. Positive percent agreement with TB ranged from 56% (assay 2) to 79% (assay 4), with high concordance, particularly for single-nucleotide variants (SNVs). Hybrid capture-based assays (3 and 4) detected eight and seven gene fusions, respectively, while amplicon-based assays (1 and 2) detected only two each. Assay 3 only identified 12 MET amplifications, five of which were confirmed by fluorescence in situ hybridisation (FISH) but were missed by TB-based NGS. Five out of six negative cfDNA samples with ddPCR-met testing were WT across all assays. The plasma-first approach added incremental value, up to 21% (assay 3). Amplicon-based assays were faster and required less input of DNA for analysis. Patients with stage IIIB or brain-only metastases were significantly more likely to have negative/low levels of cfDNA ddPCR-met.

Conclusions: LB-based NGS demonstrated high concordance with TB in newly diagnosed aNSCLC, particularly for detection of SNV. Hybrid capture assays showed superior performance in identifying gene fusions and MET amplifications. The incremental value of a plasma-first strategy was limited in this real-life study. Thus, LB-based NGS on site should be seen as a complementary tool to TB-based NGS or an alternative when tissue samples are unavailable. Additionally, cfDNA methylation analysis enhances diagnostic accuracy in specific cases.

求助全文
通过发布文献求助,成功后即可免费获取论文全文。 去求助
来源期刊
CiteScore
18.20
自引率
1.80%
发文量
333
审稿时长
1 months
期刊介绍: The Journal of Experimental & Clinical Cancer Research is an esteemed peer-reviewed publication that focuses on cancer research, encompassing everything from fundamental discoveries to practical applications. We welcome submissions that showcase groundbreaking advancements in the field of cancer research, especially those that bridge the gap between laboratory findings and clinical implementation. Our goal is to foster a deeper understanding of cancer, improve prevention and detection strategies, facilitate accurate diagnosis, and enhance treatment options. We are particularly interested in manuscripts that shed light on the mechanisms behind the development and progression of cancer, including metastasis. Additionally, we encourage submissions that explore molecular alterations or biomarkers that can help predict the efficacy of different treatments or identify drug resistance. Translational research related to targeted therapies, personalized medicine, tumor immunotherapy, and innovative approaches applicable to clinical investigations are also of great interest to us. We provide a platform for the dissemination of large-scale molecular characterizations of human tumors and encourage researchers to share their insights, discoveries, and methodologies with the wider scientific community. By publishing high-quality research articles, reviews, and commentaries, the Journal of Experimental & Clinical Cancer Research strives to contribute to the continuous improvement of cancer care and make a meaningful impact on patients' lives.
×
引用
GB/T 7714-2015
复制
MLA
复制
APA
复制
导出至
BibTeX EndNote RefMan NoteFirst NoteExpress
×
提示
您的信息不完整,为了账户安全,请先补充。
现在去补充
×
提示
您因"违规操作"
具体请查看互助需知
我知道了
×
提示
确定
请完成安全验证×
copy
已复制链接
快去分享给好友吧!
我知道了
右上角分享
点击右上角分享
0
联系我们:info@booksci.cn Book学术提供免费学术资源搜索服务,方便国内外学者检索中英文文献。致力于提供最便捷和优质的服务体验。 Copyright © 2023 布克学术 All rights reserved.
京ICP备2023020795号-1
ghs 京公网安备 11010802042870号
Book学术文献互助
Book学术文献互助群
群 号:604180095
Book学术官方微信