质子治疗成人型idh突变胶质瘤:Proglio-1,一项多中心回顾性研究

IF 3.3 2区 医学 Q2 ONCOLOGY
Nicolas Goliot, Emmanuel Jouglar, Julian Jacob, François Christy, Eva Seutin, Renaud Schiappa, Sarah Dumont, Selim Mohssine, Dinu Stefan, Arthur Leclerc, Evelyne Emery, Cyril Moignier, Jeanne Riverain, Fernand Missohou, Maxime Fontanilles, Samuel Valable, Jacques Balosso, Jérôme Doyen, Paul Lesueur
{"title":"质子治疗成人型idh突变胶质瘤:Proglio-1,一项多中心回顾性研究","authors":"Nicolas Goliot, Emmanuel Jouglar, Julian Jacob, François Christy, Eva Seutin, Renaud Schiappa, Sarah Dumont, Selim Mohssine, Dinu Stefan, Arthur Leclerc, Evelyne Emery, Cyril Moignier, Jeanne Riverain, Fernand Missohou, Maxime Fontanilles, Samuel Valable, Jacques Balosso, Jérôme Doyen, Paul Lesueur","doi":"10.1186/s13014-025-02702-y","DOIUrl":null,"url":null,"abstract":"<p><strong>Background: </strong>Gliomas with isocitrate dehydrogenase (IDH) mutation affect young adults with a long-life expectancy. While radiotherapy is effective, studies have shown its detrimental effects on cognition and quality of life. Unlike photon radiotherapy, proton therapy better spares healthy tissue. This study aimed to report mid-term survival and toxicities of proton therapy in a multicentric cohort of adults with IDH-mutant gliomas.</p><p><strong>Methods: </strong>We retrospectively analyzed 90 patients treated with proton therapy in France since 2016, including 60 with IDH-mutated astrocytomas and 30 with oligodendrogliomas. Overall survival (OS) and progression-free survival (PFS) were estimated by Kaplan-Meier and compared with the log-rank test. Prognostic factors were assessed using univariate Cox models. Toxicities, radiation-induced-contrast-enhancement (RICE) and patterns of recurrence were evaluated.</p><p><strong>Results: </strong>At the time of proton therapy, World Health Organization (WHO) pathology grades 2, 3, and 4 were observed in 42%, 54%, and 3% of patients, respectively. Protons were delivered as upfront therapy in 41 patients and after recurrence in 49. After a median follow-up of 27.3 months, median OS was not reached, and median PFS was 42.5 months for the whole cohort. WHO grades 3-4 had lower PFS than WHO grade 2 (p = 0.044). Patterns of recurrence were in-field (79%), out-of-field (7%), borderline (4%), and mixed (11%). Proton therapy was well tolerated, with only three grade > 2 toxicities. RICE occurred in 23 patients, but 74% of them did not require any treatment.</p><p><strong>Conclusions: </strong>Proton therapy in IDH-mutated gliomas shows a favorable mid-term tolerance and efficacy profile.</p>","PeriodicalId":49639,"journal":{"name":"Radiation Oncology","volume":"20 1","pages":"124"},"PeriodicalIF":3.3000,"publicationDate":"2025-08-05","publicationTypes":"Journal Article","fieldsOfStudy":null,"isOpenAccess":false,"openAccessPdf":"https://www.ncbi.nlm.nih.gov/pmc/articles/PMC12326604/pdf/","citationCount":"0","resultStr":"{\"title\":\"Proton therapy for adult type IDH-mutated glioma: Proglio-1, a multicenter retrospective study.\",\"authors\":\"Nicolas Goliot, Emmanuel Jouglar, Julian Jacob, François Christy, Eva Seutin, Renaud Schiappa, Sarah Dumont, Selim Mohssine, Dinu Stefan, Arthur Leclerc, Evelyne Emery, Cyril Moignier, Jeanne Riverain, Fernand Missohou, Maxime Fontanilles, Samuel Valable, Jacques Balosso, Jérôme Doyen, Paul Lesueur\",\"doi\":\"10.1186/s13014-025-02702-y\",\"DOIUrl\":null,\"url\":null,\"abstract\":\"<p><strong>Background: </strong>Gliomas with isocitrate dehydrogenase (IDH) mutation affect young adults with a long-life expectancy. While radiotherapy is effective, studies have shown its detrimental effects on cognition and quality of life. Unlike photon radiotherapy, proton therapy better spares healthy tissue. This study aimed to report mid-term survival and toxicities of proton therapy in a multicentric cohort of adults with IDH-mutant gliomas.</p><p><strong>Methods: </strong>We retrospectively analyzed 90 patients treated with proton therapy in France since 2016, including 60 with IDH-mutated astrocytomas and 30 with oligodendrogliomas. Overall survival (OS) and progression-free survival (PFS) were estimated by Kaplan-Meier and compared with the log-rank test. Prognostic factors were assessed using univariate Cox models. Toxicities, radiation-induced-contrast-enhancement (RICE) and patterns of recurrence were evaluated.</p><p><strong>Results: </strong>At the time of proton therapy, World Health Organization (WHO) pathology grades 2, 3, and 4 were observed in 42%, 54%, and 3% of patients, respectively. Protons were delivered as upfront therapy in 41 patients and after recurrence in 49. After a median follow-up of 27.3 months, median OS was not reached, and median PFS was 42.5 months for the whole cohort. WHO grades 3-4 had lower PFS than WHO grade 2 (p = 0.044). Patterns of recurrence were in-field (79%), out-of-field (7%), borderline (4%), and mixed (11%). Proton therapy was well tolerated, with only three grade > 2 toxicities. RICE occurred in 23 patients, but 74% of them did not require any treatment.</p><p><strong>Conclusions: </strong>Proton therapy in IDH-mutated gliomas shows a favorable mid-term tolerance and efficacy profile.</p>\",\"PeriodicalId\":49639,\"journal\":{\"name\":\"Radiation Oncology\",\"volume\":\"20 1\",\"pages\":\"124\"},\"PeriodicalIF\":3.3000,\"publicationDate\":\"2025-08-05\",\"publicationTypes\":\"Journal Article\",\"fieldsOfStudy\":null,\"isOpenAccess\":false,\"openAccessPdf\":\"https://www.ncbi.nlm.nih.gov/pmc/articles/PMC12326604/pdf/\",\"citationCount\":\"0\",\"resultStr\":null,\"platform\":\"Semanticscholar\",\"paperid\":null,\"PeriodicalName\":\"Radiation Oncology\",\"FirstCategoryId\":\"3\",\"ListUrlMain\":\"https://doi.org/10.1186/s13014-025-02702-y\",\"RegionNum\":2,\"RegionCategory\":\"医学\",\"ArticlePicture\":[],\"TitleCN\":null,\"AbstractTextCN\":null,\"PMCID\":null,\"EPubDate\":\"\",\"PubModel\":\"\",\"JCR\":\"Q2\",\"JCRName\":\"ONCOLOGY\",\"Score\":null,\"Total\":0}","platform":"Semanticscholar","paperid":null,"PeriodicalName":"Radiation Oncology","FirstCategoryId":"3","ListUrlMain":"https://doi.org/10.1186/s13014-025-02702-y","RegionNum":2,"RegionCategory":"医学","ArticlePicture":[],"TitleCN":null,"AbstractTextCN":null,"PMCID":null,"EPubDate":"","PubModel":"","JCR":"Q2","JCRName":"ONCOLOGY","Score":null,"Total":0}
引用次数: 0

摘要

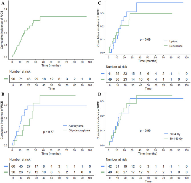
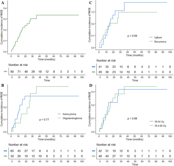
背景:异柠檬酸脱氢酶(IDH)突变的胶质瘤影响预期寿命长的年轻人。虽然放疗是有效的,但研究表明它对认知和生活质量有不利影响。与光子放射治疗不同,质子治疗能更好地保护健康组织。本研究旨在报告质子治疗在idh突变型胶质瘤成人多中心队列中的中期生存率和毒性。方法:回顾性分析2016年以来在法国接受质子治疗的90例患者,其中idh突变星形细胞瘤60例,少突胶质细胞瘤30例。Kaplan-Meier法估计总生存期(OS)和无进展生存期(PFS),并与log-rank检验进行比较。使用单变量Cox模型评估预后因素。评估了毒性、辐射诱导对比增强(RICE)和复发模式。结果:质子治疗时,分别有42%、54%和3%的患者观察到世界卫生组织(WHO) 2级、3级和4级病理。41例患者作为前期治疗给予质子治疗,49例复发后给予质子治疗。中位随访27.3个月后,整个队列的中位OS未达到,中位PFS为42.5个月。WHO分级3-4的PFS低于WHO分级2的PFS (p = 0.044)。复发类型为场内(79%)、场外(7%)、边缘(4%)和混合(11%)。质子治疗耐受性良好,只有3个bbb2级毒性。23例患者发生RICE,但其中74%不需要任何治疗。结论:质子治疗在idh突变胶质瘤中表现出良好的中期耐受性和疗效。
本文章由计算机程序翻译,如有差异,请以英文原文为准。

Proton therapy for adult type IDH-mutated glioma: Proglio-1, a multicenter retrospective study.

Proton therapy for adult type IDH-mutated glioma: Proglio-1, a multicenter retrospective study.

Proton therapy for adult type IDH-mutated glioma: Proglio-1, a multicenter retrospective study.

Proton therapy for adult type IDH-mutated glioma: Proglio-1, a multicenter retrospective study.

Proton therapy for adult type IDH-mutated glioma: Proglio-1, a multicenter retrospective study.

Proton therapy for adult type IDH-mutated glioma: Proglio-1, a multicenter retrospective study.

Proton therapy for adult type IDH-mutated glioma: Proglio-1, a multicenter retrospective study.

Background: Gliomas with isocitrate dehydrogenase (IDH) mutation affect young adults with a long-life expectancy. While radiotherapy is effective, studies have shown its detrimental effects on cognition and quality of life. Unlike photon radiotherapy, proton therapy better spares healthy tissue. This study aimed to report mid-term survival and toxicities of proton therapy in a multicentric cohort of adults with IDH-mutant gliomas.

Methods: We retrospectively analyzed 90 patients treated with proton therapy in France since 2016, including 60 with IDH-mutated astrocytomas and 30 with oligodendrogliomas. Overall survival (OS) and progression-free survival (PFS) were estimated by Kaplan-Meier and compared with the log-rank test. Prognostic factors were assessed using univariate Cox models. Toxicities, radiation-induced-contrast-enhancement (RICE) and patterns of recurrence were evaluated.

Results: At the time of proton therapy, World Health Organization (WHO) pathology grades 2, 3, and 4 were observed in 42%, 54%, and 3% of patients, respectively. Protons were delivered as upfront therapy in 41 patients and after recurrence in 49. After a median follow-up of 27.3 months, median OS was not reached, and median PFS was 42.5 months for the whole cohort. WHO grades 3-4 had lower PFS than WHO grade 2 (p = 0.044). Patterns of recurrence were in-field (79%), out-of-field (7%), borderline (4%), and mixed (11%). Proton therapy was well tolerated, with only three grade > 2 toxicities. RICE occurred in 23 patients, but 74% of them did not require any treatment.

Conclusions: Proton therapy in IDH-mutated gliomas shows a favorable mid-term tolerance and efficacy profile.

求助全文
通过发布文献求助,成功后即可免费获取论文全文。 去求助
来源期刊
Radiation Oncology
Radiation Oncology ONCOLOGY-RADIOLOGY, NUCLEAR MEDICINE & MEDICAL IMAGING
CiteScore
6.50
自引率
2.80%
发文量
181
审稿时长
3-6 weeks
期刊介绍: Radiation Oncology encompasses all aspects of research that impacts on the treatment of cancer using radiation. It publishes findings in molecular and cellular radiation biology, radiation physics, radiation technology, and clinical oncology.
×
引用
GB/T 7714-2015
复制
MLA
复制
APA
复制
导出至
BibTeX EndNote RefMan NoteFirst NoteExpress
×
提示
您的信息不完整,为了账户安全,请先补充。
现在去补充
×
提示
您因"违规操作"
具体请查看互助需知
我知道了
×
提示
确定
请完成安全验证×
copy
已复制链接
快去分享给好友吧!
我知道了
右上角分享
点击右上角分享
0
联系我们:info@booksci.cn Book学术提供免费学术资源搜索服务,方便国内外学者检索中英文文献。致力于提供最便捷和优质的服务体验。 Copyright © 2023 布克学术 All rights reserved.
京ICP备2023020795号-1
ghs 京公网安备 11010802042870号
Book学术文献互助
Book学术文献互助群
群 号:604180095
Book学术官方微信