评估心力衰竭的容积状态:肾双工超声在评估心肾发病率和心力衰竭死亡率中的作用。

IF 1.7 Q4 CRITICAL CARE MEDICINE
Journal of Critical Care Medicine Pub Date : 2025-07-31 eCollection Date: 2025-07-01 DOI:10.2478/jccm-2025-0029
Mohamed Elsayed Elrokh, Waleed Shehata Hassan, Ramadan Ahmed Khalil, Ayman Nehad Moharam, Emad Eldin Omar Abdelaziz
{"title":"评估心力衰竭的容积状态:肾双工超声在评估心肾发病率和心力衰竭死亡率中的作用。","authors":"Mohamed Elsayed Elrokh, Waleed Shehata Hassan, Ramadan Ahmed Khalil, Ayman Nehad Moharam, Emad Eldin Omar Abdelaziz","doi":"10.2478/jccm-2025-0029","DOIUrl":null,"url":null,"abstract":"<p><strong>Background: </strong>Critical care physicians face challenges managing decompensated heart failure. This study aims to examine the volume status of patients with decompensated heart failure and evaluate the effectiveness of the renal resistive index (RRI) and renal venous flow pattern (VFP) in assessing volume status and predicting outcomes related to cardiorenal syndrome and mortality.</p><p><strong>Patients and methods: </strong>This prospective study was conducted in the intensive care unit of Kasr Elainy Hospital at Cairo University with patients admitted for acute decompensated heart failure (ADHF). Patients were subjected to clinical screening, laboratory measurements, and echocardiographic examination, including cardiac index renal duplex.</p><p><strong>Results: </strong>This study included 61 patients with a mean age of 64.8±9.1 years. Renal duplex parameters were 0.692±0.087 for the mean RRI, and the percentages of VFP were as follows: continuous 49.2%, biphasic 27.9%, and monophasic 23%. Elevated proBNP levels and IVC collapsibility index were significantly associated with RRI ≥0.75 and abnormal VFP patterns in assessing volume status. The ROC curve of the RRI, VFP, proBNP, SOFA score, ADHERE risk score, and GWTG-HF score for AKI occurrence showed that RRI has 68% sensitivity to detect AKI, but VFP has better results with 86.4% sensitivity. RRI has a prognostic role in predicting in-hospital mortality in acute heart failure, as RRI has 83.3% sensitivity, and VFP showed better results with 83.3% sensitivity. Also, VFP had a better predictive value for the incidence of 3 months mortality with 90.9% sensitivity, while RRI has 63.4% sensitivity.</p><p><strong>Conclusion: </strong>Renal duplex measures, such as VFP and RRI, are highly effective prognostic tools for identifying worsening renal function. Beyond renal outcomes, these measures also serve as reliable predictors of mortality and survival in patients with acute decompensated heart failure, offering clinicians the opportunity to tailor therapeutic approaches early during treatment.</p>","PeriodicalId":44227,"journal":{"name":"Journal of Critical Care Medicine","volume":"11 3","pages":"275-289"},"PeriodicalIF":1.7000,"publicationDate":"2025-07-31","publicationTypes":"Journal Article","fieldsOfStudy":null,"isOpenAccess":false,"openAccessPdf":"https://www.ncbi.nlm.nih.gov/pmc/articles/PMC12321260/pdf/","citationCount":"0","resultStr":"{\"title\":\"Assessing volume status in heart failure: The role of renal duplex ultrasound in evaluating cardiorenal morbidity and heart failure mortality.\",\"authors\":\"Mohamed Elsayed Elrokh, Waleed Shehata Hassan, Ramadan Ahmed Khalil, Ayman Nehad Moharam, Emad Eldin Omar Abdelaziz\",\"doi\":\"10.2478/jccm-2025-0029\",\"DOIUrl\":null,\"url\":null,\"abstract\":\"<p><strong>Background: </strong>Critical care physicians face challenges managing decompensated heart failure. This study aims to examine the volume status of patients with decompensated heart failure and evaluate the effectiveness of the renal resistive index (RRI) and renal venous flow pattern (VFP) in assessing volume status and predicting outcomes related to cardiorenal syndrome and mortality.</p><p><strong>Patients and methods: </strong>This prospective study was conducted in the intensive care unit of Kasr Elainy Hospital at Cairo University with patients admitted for acute decompensated heart failure (ADHF). Patients were subjected to clinical screening, laboratory measurements, and echocardiographic examination, including cardiac index renal duplex.</p><p><strong>Results: </strong>This study included 61 patients with a mean age of 64.8±9.1 years. Renal duplex parameters were 0.692±0.087 for the mean RRI, and the percentages of VFP were as follows: continuous 49.2%, biphasic 27.9%, and monophasic 23%. Elevated proBNP levels and IVC collapsibility index were significantly associated with RRI ≥0.75 and abnormal VFP patterns in assessing volume status. The ROC curve of the RRI, VFP, proBNP, SOFA score, ADHERE risk score, and GWTG-HF score for AKI occurrence showed that RRI has 68% sensitivity to detect AKI, but VFP has better results with 86.4% sensitivity. RRI has a prognostic role in predicting in-hospital mortality in acute heart failure, as RRI has 83.3% sensitivity, and VFP showed better results with 83.3% sensitivity. Also, VFP had a better predictive value for the incidence of 3 months mortality with 90.9% sensitivity, while RRI has 63.4% sensitivity.</p><p><strong>Conclusion: </strong>Renal duplex measures, such as VFP and RRI, are highly effective prognostic tools for identifying worsening renal function. Beyond renal outcomes, these measures also serve as reliable predictors of mortality and survival in patients with acute decompensated heart failure, offering clinicians the opportunity to tailor therapeutic approaches early during treatment.</p>\",\"PeriodicalId\":44227,\"journal\":{\"name\":\"Journal of Critical Care Medicine\",\"volume\":\"11 3\",\"pages\":\"275-289\"},\"PeriodicalIF\":1.7000,\"publicationDate\":\"2025-07-31\",\"publicationTypes\":\"Journal Article\",\"fieldsOfStudy\":null,\"isOpenAccess\":false,\"openAccessPdf\":\"https://www.ncbi.nlm.nih.gov/pmc/articles/PMC12321260/pdf/\",\"citationCount\":\"0\",\"resultStr\":null,\"platform\":\"Semanticscholar\",\"paperid\":null,\"PeriodicalName\":\"Journal of Critical Care Medicine\",\"FirstCategoryId\":\"1085\",\"ListUrlMain\":\"https://doi.org/10.2478/jccm-2025-0029\",\"RegionNum\":0,\"RegionCategory\":null,\"ArticlePicture\":[],\"TitleCN\":null,\"AbstractTextCN\":null,\"PMCID\":null,\"EPubDate\":\"2025/7/1 0:00:00\",\"PubModel\":\"eCollection\",\"JCR\":\"Q4\",\"JCRName\":\"CRITICAL CARE MEDICINE\",\"Score\":null,\"Total\":0}","platform":"Semanticscholar","paperid":null,"PeriodicalName":"Journal of Critical Care Medicine","FirstCategoryId":"1085","ListUrlMain":"https://doi.org/10.2478/jccm-2025-0029","RegionNum":0,"RegionCategory":null,"ArticlePicture":[],"TitleCN":null,"AbstractTextCN":null,"PMCID":null,"EPubDate":"2025/7/1 0:00:00","PubModel":"eCollection","JCR":"Q4","JCRName":"CRITICAL CARE MEDICINE","Score":null,"Total":0}
引用次数: 0

摘要

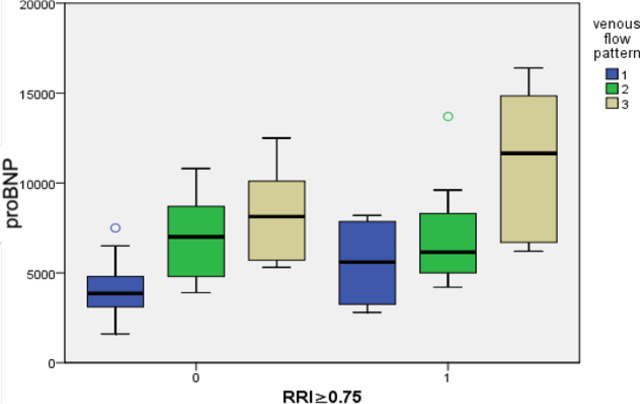
背景:重症监护医生面临着管理失代偿性心力衰竭的挑战。本研究旨在研究失代偿性心力衰竭患者的容量状态,并评估肾阻力指数(RRI)和肾静脉血流模式(VFP)在评估容量状态和预测心肾综合征相关结局和死亡率方面的有效性。患者和方法:这项前瞻性研究在开罗大学Kasr Elainy医院重症监护室进行,患者入院为急性失代偿性心力衰竭(ADHF)。患者接受临床筛查、实验室测量和超声心动图检查,包括心脏指数、肾双相。结果:纳入61例患者,平均年龄64.8±9.1岁。肾双相参数平均RRI为0.692±0.087,VFP百分比为:连续49.2%,双相27.9%,单相23%。proBNP水平升高和IVC湿陷性指数升高与RRI≥0.75和VFP异常模式在评估容量状态时显著相关。RRI、VFP、proBNP、SOFA评分、粘附风险评分、GWTG-HF评分对AKI发生的ROC曲线显示,RRI检测AKI的敏感性为68%,而VFP检测AKI的敏感性为86.4%。RRI对预测急性心力衰竭住院死亡率有预后作用,RRI的敏感性为83.3%,VFP的敏感性为83.3%,效果更好。VFP对3个月死亡率的敏感性为90.9%,而RRI的敏感性为63.4%。结论:肾双相测量,如VFP和RRI,是识别肾功能恶化的非常有效的预后工具。除了肾脏预后外,这些指标还可作为急性失代偿性心力衰竭患者死亡率和生存率的可靠预测指标,为临床医生提供了在治疗早期定制治疗方法的机会。
本文章由计算机程序翻译,如有差异,请以英文原文为准。

Assessing volume status in heart failure: The role of renal duplex ultrasound in evaluating cardiorenal morbidity and heart failure mortality.

Assessing volume status in heart failure: The role of renal duplex ultrasound in evaluating cardiorenal morbidity and heart failure mortality.

Assessing volume status in heart failure: The role of renal duplex ultrasound in evaluating cardiorenal morbidity and heart failure mortality.

Assessing volume status in heart failure: The role of renal duplex ultrasound in evaluating cardiorenal morbidity and heart failure mortality.

Background: Critical care physicians face challenges managing decompensated heart failure. This study aims to examine the volume status of patients with decompensated heart failure and evaluate the effectiveness of the renal resistive index (RRI) and renal venous flow pattern (VFP) in assessing volume status and predicting outcomes related to cardiorenal syndrome and mortality.

Patients and methods: This prospective study was conducted in the intensive care unit of Kasr Elainy Hospital at Cairo University with patients admitted for acute decompensated heart failure (ADHF). Patients were subjected to clinical screening, laboratory measurements, and echocardiographic examination, including cardiac index renal duplex.

Results: This study included 61 patients with a mean age of 64.8±9.1 years. Renal duplex parameters were 0.692±0.087 for the mean RRI, and the percentages of VFP were as follows: continuous 49.2%, biphasic 27.9%, and monophasic 23%. Elevated proBNP levels and IVC collapsibility index were significantly associated with RRI ≥0.75 and abnormal VFP patterns in assessing volume status. The ROC curve of the RRI, VFP, proBNP, SOFA score, ADHERE risk score, and GWTG-HF score for AKI occurrence showed that RRI has 68% sensitivity to detect AKI, but VFP has better results with 86.4% sensitivity. RRI has a prognostic role in predicting in-hospital mortality in acute heart failure, as RRI has 83.3% sensitivity, and VFP showed better results with 83.3% sensitivity. Also, VFP had a better predictive value for the incidence of 3 months mortality with 90.9% sensitivity, while RRI has 63.4% sensitivity.

Conclusion: Renal duplex measures, such as VFP and RRI, are highly effective prognostic tools for identifying worsening renal function. Beyond renal outcomes, these measures also serve as reliable predictors of mortality and survival in patients with acute decompensated heart failure, offering clinicians the opportunity to tailor therapeutic approaches early during treatment.

求助全文
通过发布文献求助,成功后即可免费获取论文全文。 去求助
来源期刊
Journal of Critical Care Medicine
Journal of Critical Care Medicine CRITICAL CARE MEDICINE-
CiteScore
2.00
自引率
9.10%
发文量
21
审稿时长
11 weeks
×
引用
GB/T 7714-2015
复制
MLA
复制
APA
复制
导出至
BibTeX EndNote RefMan NoteFirst NoteExpress
×
提示
您的信息不完整,为了账户安全,请先补充。
现在去补充
×
提示
您因"违规操作"
具体请查看互助需知
我知道了
×
提示
确定
请完成安全验证×
copy
已复制链接
快去分享给好友吧!
我知道了
右上角分享
点击右上角分享
0
联系我们:info@booksci.cn Book学术提供免费学术资源搜索服务,方便国内外学者检索中英文文献。致力于提供最便捷和优质的服务体验。 Copyright © 2023 布克学术 All rights reserved.
京ICP备2023020795号-1
ghs 京公网安备 11010802042870号
Book学术文献互助
Book学术文献互助群
群 号:604180095
Book学术官方微信