利用自录呼吸音的时频特征筛查慢性阻塞性肺疾病。

IF 3.4 Q2 HEALTH CARE SCIENCES & SERVICES
JAMIA Open Pub Date : 2025-08-04 eCollection Date: 2025-08-01 DOI:10.1093/jamiaopen/ooaf083
Alberto Tena, Ivan Juez-Garcia, Iván D Benítez, Francesc Clariá, Jessica González, Jordi de Batlle, Francesc Solsona
{"title":"利用自录呼吸音的时频特征筛查慢性阻塞性肺疾病。","authors":"Alberto Tena, Ivan Juez-Garcia, Iván D Benítez, Francesc Clariá, Jessica González, Jordi de Batlle, Francesc Solsona","doi":"10.1093/jamiaopen/ooaf083","DOIUrl":null,"url":null,"abstract":"<p><strong>Objectives: </strong>Chronic obstructive pulmonary disease (COPD) is the third leading cause of death worldwide, with up to 70% of cases remaining undiagnosed. This paper proposes a COPD screening tool based on time-frequency representation features of self-recorded respiratory sounds.</p><p><strong>Materials and methods: </strong>Respiratory sound samples (breath and cough sounds) were extracted from COPD and asymptomatic non-COPD volunteers using a large, scientific-purpose database. We analyzed 39 time-frequency representation features of breath and cough sounds, combined with age, sex, and smoking status, using Autoencoder neural networks and random forest (RF) algorithms. We compared the performance of different breath and cough RF models built to detect COPD: one based exclusively on sound features, one based exclusively on sociodemographic characteristics, and one based on sound features and sociodemographic characteristics.</p><p><strong>Results: </strong>Models including breathing features outperformed models exclusively based on sociodemographic characteristics. Specifically, the model combining sociodemographic characteristics and breathing features achieved an area under the curve (AUC), accuracy, sensitivity, and specificity of 0.901, 0.836, 0.871, and 0.761, respectively, in the test set, representing a substantial increase in AUC when compared to the model based exclusively on sociodemographic characteristics (0.901 vs 0.818).</p><p><strong>Discussion: </strong>Our results suggest that a lightweight collection of the time-frequency representation features of self-recorded beathing sounds could effectively improve the predictive performance of COPD screening or case-finding questionnaires.</p><p><strong>Conclusion: </strong>COPD screening through self-recorded breathing sounds could be easily integrated as a low-cost first step in case-finding programs, potentially contributing to mitigate COPD underdiagnosis.</p>","PeriodicalId":36278,"journal":{"name":"JAMIA Open","volume":"8 4","pages":"ooaf083"},"PeriodicalIF":3.4000,"publicationDate":"2025-08-04","publicationTypes":"Journal Article","fieldsOfStudy":null,"isOpenAccess":false,"openAccessPdf":"https://www.ncbi.nlm.nih.gov/pmc/articles/PMC12322310/pdf/","citationCount":"0","resultStr":"{\"title\":\"Chronic obstructive pulmonary disease screening using time-frequency features of self-recorded respiratory sounds.\",\"authors\":\"Alberto Tena, Ivan Juez-Garcia, Iván D Benítez, Francesc Clariá, Jessica González, Jordi de Batlle, Francesc Solsona\",\"doi\":\"10.1093/jamiaopen/ooaf083\",\"DOIUrl\":null,\"url\":null,\"abstract\":\"<p><strong>Objectives: </strong>Chronic obstructive pulmonary disease (COPD) is the third leading cause of death worldwide, with up to 70% of cases remaining undiagnosed. This paper proposes a COPD screening tool based on time-frequency representation features of self-recorded respiratory sounds.</p><p><strong>Materials and methods: </strong>Respiratory sound samples (breath and cough sounds) were extracted from COPD and asymptomatic non-COPD volunteers using a large, scientific-purpose database. We analyzed 39 time-frequency representation features of breath and cough sounds, combined with age, sex, and smoking status, using Autoencoder neural networks and random forest (RF) algorithms. We compared the performance of different breath and cough RF models built to detect COPD: one based exclusively on sound features, one based exclusively on sociodemographic characteristics, and one based on sound features and sociodemographic characteristics.</p><p><strong>Results: </strong>Models including breathing features outperformed models exclusively based on sociodemographic characteristics. Specifically, the model combining sociodemographic characteristics and breathing features achieved an area under the curve (AUC), accuracy, sensitivity, and specificity of 0.901, 0.836, 0.871, and 0.761, respectively, in the test set, representing a substantial increase in AUC when compared to the model based exclusively on sociodemographic characteristics (0.901 vs 0.818).</p><p><strong>Discussion: </strong>Our results suggest that a lightweight collection of the time-frequency representation features of self-recorded beathing sounds could effectively improve the predictive performance of COPD screening or case-finding questionnaires.</p><p><strong>Conclusion: </strong>COPD screening through self-recorded breathing sounds could be easily integrated as a low-cost first step in case-finding programs, potentially contributing to mitigate COPD underdiagnosis.</p>\",\"PeriodicalId\":36278,\"journal\":{\"name\":\"JAMIA Open\",\"volume\":\"8 4\",\"pages\":\"ooaf083\"},\"PeriodicalIF\":3.4000,\"publicationDate\":\"2025-08-04\",\"publicationTypes\":\"Journal Article\",\"fieldsOfStudy\":null,\"isOpenAccess\":false,\"openAccessPdf\":\"https://www.ncbi.nlm.nih.gov/pmc/articles/PMC12322310/pdf/\",\"citationCount\":\"0\",\"resultStr\":null,\"platform\":\"Semanticscholar\",\"paperid\":null,\"PeriodicalName\":\"JAMIA Open\",\"FirstCategoryId\":\"1085\",\"ListUrlMain\":\"https://doi.org/10.1093/jamiaopen/ooaf083\",\"RegionNum\":0,\"RegionCategory\":null,\"ArticlePicture\":[],\"TitleCN\":null,\"AbstractTextCN\":null,\"PMCID\":null,\"EPubDate\":\"2025/8/1 0:00:00\",\"PubModel\":\"eCollection\",\"JCR\":\"Q2\",\"JCRName\":\"HEALTH CARE SCIENCES & SERVICES\",\"Score\":null,\"Total\":0}","platform":"Semanticscholar","paperid":null,"PeriodicalName":"JAMIA Open","FirstCategoryId":"1085","ListUrlMain":"https://doi.org/10.1093/jamiaopen/ooaf083","RegionNum":0,"RegionCategory":null,"ArticlePicture":[],"TitleCN":null,"AbstractTextCN":null,"PMCID":null,"EPubDate":"2025/8/1 0:00:00","PubModel":"eCollection","JCR":"Q2","JCRName":"HEALTH CARE SCIENCES & SERVICES","Score":null,"Total":0}
引用次数: 0

摘要

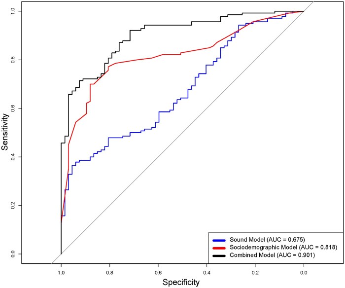
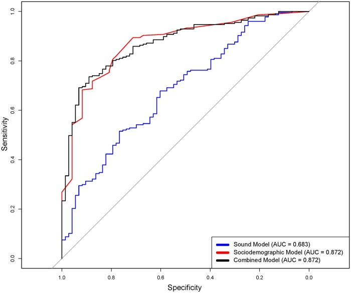
慢性阻塞性肺疾病(COPD)是全球第三大死亡原因,高达70%的病例仍未得到诊断。本文提出了一种基于自录呼吸音时频表征特征的慢阻肺筛查工具。材料和方法:使用大型科学数据库从COPD和无症状非COPD志愿者中提取呼吸声音样本(呼吸声和咳嗽声)。我们使用Autoencoder神经网络和随机森林(RF)算法,结合年龄、性别和吸烟状况,分析了呼吸和咳嗽声音的39个时频表示特征。我们比较了用于检测COPD的不同呼吸和咳嗽RF模型的性能:一个完全基于声音特征,一个完全基于社会人口特征,一个基于声音特征和社会人口特征。结果:包括呼吸特征的模型优于完全基于社会人口特征的模型。具体而言,结合社会人口特征和呼吸特征的模型在测试集中分别获得了0.901、0.836、0.871和0.761的曲线下面积(AUC)、准确性、灵敏度和特异性,与仅基于社会人口特征的模型相比,AUC大幅增加(0.901 vs 0.818)。讨论:我们的研究结果表明,自录的呼吸声的时间频率表征特征的轻量级集合可以有效地提高COPD筛查或病例查找问卷的预测性能。结论:通过自录呼吸音进行COPD筛查可以很容易地整合为病例发现项目的低成本第一步,可能有助于减轻COPD的漏诊。
本文章由计算机程序翻译,如有差异,请以英文原文为准。

Chronic obstructive pulmonary disease screening using time-frequency features of self-recorded respiratory sounds.

Chronic obstructive pulmonary disease screening using time-frequency features of self-recorded respiratory sounds.

Chronic obstructive pulmonary disease screening using time-frequency features of self-recorded respiratory sounds.

Chronic obstructive pulmonary disease screening using time-frequency features of self-recorded respiratory sounds.

Objectives: Chronic obstructive pulmonary disease (COPD) is the third leading cause of death worldwide, with up to 70% of cases remaining undiagnosed. This paper proposes a COPD screening tool based on time-frequency representation features of self-recorded respiratory sounds.

Materials and methods: Respiratory sound samples (breath and cough sounds) were extracted from COPD and asymptomatic non-COPD volunteers using a large, scientific-purpose database. We analyzed 39 time-frequency representation features of breath and cough sounds, combined with age, sex, and smoking status, using Autoencoder neural networks and random forest (RF) algorithms. We compared the performance of different breath and cough RF models built to detect COPD: one based exclusively on sound features, one based exclusively on sociodemographic characteristics, and one based on sound features and sociodemographic characteristics.

Results: Models including breathing features outperformed models exclusively based on sociodemographic characteristics. Specifically, the model combining sociodemographic characteristics and breathing features achieved an area under the curve (AUC), accuracy, sensitivity, and specificity of 0.901, 0.836, 0.871, and 0.761, respectively, in the test set, representing a substantial increase in AUC when compared to the model based exclusively on sociodemographic characteristics (0.901 vs 0.818).

Discussion: Our results suggest that a lightweight collection of the time-frequency representation features of self-recorded beathing sounds could effectively improve the predictive performance of COPD screening or case-finding questionnaires.

Conclusion: COPD screening through self-recorded breathing sounds could be easily integrated as a low-cost first step in case-finding programs, potentially contributing to mitigate COPD underdiagnosis.

求助全文
通过发布文献求助,成功后即可免费获取论文全文。 去求助
来源期刊
JAMIA Open
JAMIA Open Medicine-Health Informatics
CiteScore
4.10
自引率
4.80%
发文量
102
审稿时长
16 weeks
×
引用
GB/T 7714-2015
复制
MLA
复制
APA
复制
导出至
BibTeX EndNote RefMan NoteFirst NoteExpress
×
提示
您的信息不完整,为了账户安全,请先补充。
现在去补充
×
提示
您因"违规操作"
具体请查看互助需知
我知道了
×
提示
确定
请完成安全验证×
copy
已复制链接
快去分享给好友吧!
我知道了
右上角分享
点击右上角分享
0
联系我们:info@booksci.cn Book学术提供免费学术资源搜索服务,方便国内外学者检索中英文文献。致力于提供最便捷和优质的服务体验。 Copyright © 2023 布克学术 All rights reserved.
京ICP备2023020795号-1
ghs 京公网安备 11010802042870号
Book学术文献互助
Book学术文献互助群
群 号:604180095
Book学术官方微信