类风湿关节炎、血清阳性和改善疾病的抗风湿药物对支气管扩张患者死亡风险的影响

IF 3 3区 医学 Q2 RESPIRATORY SYSTEM
Hayoung Choi, Kyungdo Han, Jin Hyung Jung, Anthony De Soyza, Hyungjin Kim, Dong Wook Shin, Hyun Lee
{"title":"类风湿关节炎、血清阳性和改善疾病的抗风湿药物对支气管扩张患者死亡风险的影响","authors":"Hayoung Choi, Kyungdo Han, Jin Hyung Jung, Anthony De Soyza, Hyungjin Kim, Dong Wook Shin, Hyun Lee","doi":"10.1177/17534666251360071","DOIUrl":null,"url":null,"abstract":"<p><strong>Background: </strong>Comorbid rheumatoid arthritis (RA) is known to be associated with excess mortality in patients with bronchiectasis. However, whether excess mortality is affected by RA seropositivity and is altered by using disease-modifying anti-rheumatic drugs (DMARDs) remains unknown.</p><p><strong>Objectives: </strong>To assess the association between comorbid RA and mortality in participants with bronchiectasis, plus the impacts of seropositivity and DMARDs on this association.</p><p><strong>Design: </strong>A retrospective cohort study.</p><p><strong>Methods: </strong>Mortality rates were compared between participants with bronchiectasis-RA overlap syndrome (BROS) (<i>n</i> = 3355; 2632 seropositive RA (SPRA) and 723 seronegative RA (SNRA)) and 1:5 age- and sex-matched participants with bronchiectasis only (<i>n</i> = 16,240) who were enrolled between 2010 and 2017 in the Korean National Health Insurance Service database. The participants were followed up from 1 year after RA diagnosis or the corresponding index date to the date of death, censored date, or 31 December 2020.</p><p><strong>Results: </strong>During a median follow-up of 5.8 years (interquartile range, 4.2-7.8 years), participants with BROS revealed a 2.09-fold higher mortality risk compared with participants with bronchiectasis only, even after adjusting for potential confounders (95% confidence interval (CI), 1.88-2.33). In an analysis of RA serologic status using a fully adjusted model, participants with SPRA and those with SNRA showed 2.34-fold (95% CI, 2.09-2.62) and 1.29-fold (95% CI, 1.01-1.65) increased risks, respectively, than participants with bronchiectasis only. DMARDs use was related to increased mortality.</p><p><strong>Conclusion: </strong>The presence of RA doubles the mortality risk in patients with bronchiectasis. Increased mortality risk was more evident in patients with SPRA and those who use DMARDs. Causality cannot be ascertained, but these data suggest that rheumatic inflammation may affect disease progression and excess mortality in patients with BROS.</p>","PeriodicalId":22884,"journal":{"name":"Therapeutic Advances in Respiratory Disease","volume":"19 ","pages":"17534666251360071"},"PeriodicalIF":3.0000,"publicationDate":"2025-01-01","publicationTypes":"Journal Article","fieldsOfStudy":null,"isOpenAccess":false,"openAccessPdf":"https://www.ncbi.nlm.nih.gov/pmc/articles/PMC12329186/pdf/","citationCount":"0","resultStr":"{\"title\":\"Impact of rheumatoid arthritis, seropositivity and disease-modifying anti-rheumatic drugs on mortality risk in bronchiectasis.\",\"authors\":\"Hayoung Choi, Kyungdo Han, Jin Hyung Jung, Anthony De Soyza, Hyungjin Kim, Dong Wook Shin, Hyun Lee\",\"doi\":\"10.1177/17534666251360071\",\"DOIUrl\":null,\"url\":null,\"abstract\":\"<p><strong>Background: </strong>Comorbid rheumatoid arthritis (RA) is known to be associated with excess mortality in patients with bronchiectasis. However, whether excess mortality is affected by RA seropositivity and is altered by using disease-modifying anti-rheumatic drugs (DMARDs) remains unknown.</p><p><strong>Objectives: </strong>To assess the association between comorbid RA and mortality in participants with bronchiectasis, plus the impacts of seropositivity and DMARDs on this association.</p><p><strong>Design: </strong>A retrospective cohort study.</p><p><strong>Methods: </strong>Mortality rates were compared between participants with bronchiectasis-RA overlap syndrome (BROS) (<i>n</i> = 3355; 2632 seropositive RA (SPRA) and 723 seronegative RA (SNRA)) and 1:5 age- and sex-matched participants with bronchiectasis only (<i>n</i> = 16,240) who were enrolled between 2010 and 2017 in the Korean National Health Insurance Service database. The participants were followed up from 1 year after RA diagnosis or the corresponding index date to the date of death, censored date, or 31 December 2020.</p><p><strong>Results: </strong>During a median follow-up of 5.8 years (interquartile range, 4.2-7.8 years), participants with BROS revealed a 2.09-fold higher mortality risk compared with participants with bronchiectasis only, even after adjusting for potential confounders (95% confidence interval (CI), 1.88-2.33). In an analysis of RA serologic status using a fully adjusted model, participants with SPRA and those with SNRA showed 2.34-fold (95% CI, 2.09-2.62) and 1.29-fold (95% CI, 1.01-1.65) increased risks, respectively, than participants with bronchiectasis only. DMARDs use was related to increased mortality.</p><p><strong>Conclusion: </strong>The presence of RA doubles the mortality risk in patients with bronchiectasis. Increased mortality risk was more evident in patients with SPRA and those who use DMARDs. Causality cannot be ascertained, but these data suggest that rheumatic inflammation may affect disease progression and excess mortality in patients with BROS.</p>\",\"PeriodicalId\":22884,\"journal\":{\"name\":\"Therapeutic Advances in Respiratory Disease\",\"volume\":\"19 \",\"pages\":\"17534666251360071\"},\"PeriodicalIF\":3.0000,\"publicationDate\":\"2025-01-01\",\"publicationTypes\":\"Journal Article\",\"fieldsOfStudy\":null,\"isOpenAccess\":false,\"openAccessPdf\":\"https://www.ncbi.nlm.nih.gov/pmc/articles/PMC12329186/pdf/\",\"citationCount\":\"0\",\"resultStr\":null,\"platform\":\"Semanticscholar\",\"paperid\":null,\"PeriodicalName\":\"Therapeutic Advances in Respiratory Disease\",\"FirstCategoryId\":\"3\",\"ListUrlMain\":\"https://doi.org/10.1177/17534666251360071\",\"RegionNum\":3,\"RegionCategory\":\"医学\",\"ArticlePicture\":[],\"TitleCN\":null,\"AbstractTextCN\":null,\"PMCID\":null,\"EPubDate\":\"2025/8/5 0:00:00\",\"PubModel\":\"Epub\",\"JCR\":\"Q2\",\"JCRName\":\"RESPIRATORY SYSTEM\",\"Score\":null,\"Total\":0}","platform":"Semanticscholar","paperid":null,"PeriodicalName":"Therapeutic Advances in Respiratory Disease","FirstCategoryId":"3","ListUrlMain":"https://doi.org/10.1177/17534666251360071","RegionNum":3,"RegionCategory":"医学","ArticlePicture":[],"TitleCN":null,"AbstractTextCN":null,"PMCID":null,"EPubDate":"2025/8/5 0:00:00","PubModel":"Epub","JCR":"Q2","JCRName":"RESPIRATORY SYSTEM","Score":null,"Total":0}
引用次数: 0

摘要

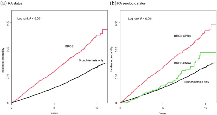
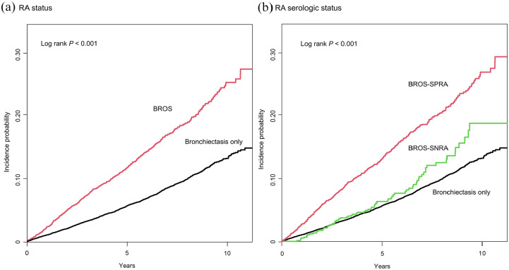
背景:已知共病类风湿性关节炎(RA)与支气管扩张患者的高死亡率相关。然而,过量死亡率是否受到RA血清阳性的影响,并通过使用改善疾病的抗风湿药物(DMARDs)而改变,目前尚不清楚。目的:评估支气管扩张患者合并症RA与死亡率之间的关系,以及血清阳性和DMARDs对这种关系的影响。设计:回顾性队列研究。方法:比较支气管扩张-类风湿关节炎重叠综合征(BROS)患者的死亡率(n = 3355;在2010年至2017年期间,在韩国国民健康保险服务数据库中招募了2632名血清阳性RA (SPRA)和723名血清阴性RA (SNRA))和1:5年龄和性别匹配的支气管扩张患者(n = 16,240)。参与者从RA诊断后1年或相应的索引日期随访至死亡日期、审查日期或2020年12月31日。结果:在中位随访5.8年(四分位数范围4.2-7.8年)期间,即使在调整了潜在的混杂因素(95%置信区间(CI), 1.88-2.33)后,BROS患者的死亡风险也比仅支气管扩张患者高2.09倍。在使用完全调整模型的RA血清学状态分析中,SPRA和SNRA患者的风险分别比单纯支气管扩张患者增加2.34倍(95% CI, 2.09-2.62)和1.29倍(95% CI, 1.01-1.65)。dmard的使用与死亡率增加有关。结论:RA的存在使支气管扩张患者的死亡风险增加一倍。在SPRA患者和使用DMARDs的患者中,死亡风险增加更为明显。因果关系尚不能确定,但这些数据表明风湿性炎症可能影响BROS患者的疾病进展和过高死亡率。
本文章由计算机程序翻译,如有差异,请以英文原文为准。

Impact of rheumatoid arthritis, seropositivity and disease-modifying anti-rheumatic drugs on mortality risk in bronchiectasis.

Impact of rheumatoid arthritis, seropositivity and disease-modifying anti-rheumatic drugs on mortality risk in bronchiectasis.

Impact of rheumatoid arthritis, seropositivity and disease-modifying anti-rheumatic drugs on mortality risk in bronchiectasis.

Impact of rheumatoid arthritis, seropositivity and disease-modifying anti-rheumatic drugs on mortality risk in bronchiectasis.

Impact of rheumatoid arthritis, seropositivity and disease-modifying anti-rheumatic drugs on mortality risk in bronchiectasis.

Impact of rheumatoid arthritis, seropositivity and disease-modifying anti-rheumatic drugs on mortality risk in bronchiectasis.

Impact of rheumatoid arthritis, seropositivity and disease-modifying anti-rheumatic drugs on mortality risk in bronchiectasis.

Background: Comorbid rheumatoid arthritis (RA) is known to be associated with excess mortality in patients with bronchiectasis. However, whether excess mortality is affected by RA seropositivity and is altered by using disease-modifying anti-rheumatic drugs (DMARDs) remains unknown.

Objectives: To assess the association between comorbid RA and mortality in participants with bronchiectasis, plus the impacts of seropositivity and DMARDs on this association.

Design: A retrospective cohort study.

Methods: Mortality rates were compared between participants with bronchiectasis-RA overlap syndrome (BROS) (n = 3355; 2632 seropositive RA (SPRA) and 723 seronegative RA (SNRA)) and 1:5 age- and sex-matched participants with bronchiectasis only (n = 16,240) who were enrolled between 2010 and 2017 in the Korean National Health Insurance Service database. The participants were followed up from 1 year after RA diagnosis or the corresponding index date to the date of death, censored date, or 31 December 2020.

Results: During a median follow-up of 5.8 years (interquartile range, 4.2-7.8 years), participants with BROS revealed a 2.09-fold higher mortality risk compared with participants with bronchiectasis only, even after adjusting for potential confounders (95% confidence interval (CI), 1.88-2.33). In an analysis of RA serologic status using a fully adjusted model, participants with SPRA and those with SNRA showed 2.34-fold (95% CI, 2.09-2.62) and 1.29-fold (95% CI, 1.01-1.65) increased risks, respectively, than participants with bronchiectasis only. DMARDs use was related to increased mortality.

Conclusion: The presence of RA doubles the mortality risk in patients with bronchiectasis. Increased mortality risk was more evident in patients with SPRA and those who use DMARDs. Causality cannot be ascertained, but these data suggest that rheumatic inflammation may affect disease progression and excess mortality in patients with BROS.

求助全文
通过发布文献求助,成功后即可免费获取论文全文。 去求助
来源期刊
CiteScore
6.90
自引率
0.00%
发文量
57
审稿时长
15 weeks
期刊介绍: Therapeutic Advances in Respiratory Disease delivers the highest quality peer-reviewed articles, reviews, and scholarly comment on pioneering efforts and innovative studies across all areas of respiratory disease.
×
引用
GB/T 7714-2015
复制
MLA
复制
APA
复制
导出至
BibTeX EndNote RefMan NoteFirst NoteExpress
×
提示
您的信息不完整,为了账户安全,请先补充。
现在去补充
×
提示
您因"违规操作"
具体请查看互助需知
我知道了
×
提示
确定
请完成安全验证×
copy
已复制链接
快去分享给好友吧!
我知道了
右上角分享
点击右上角分享
0
联系我们:info@booksci.cn Book学术提供免费学术资源搜索服务,方便国内外学者检索中英文文献。致力于提供最便捷和优质的服务体验。 Copyright © 2023 布克学术 All rights reserved.
京ICP备2023020795号-1
ghs 京公网安备 11010802042870号
Book学术文献互助
Book学术文献互助群
群 号:604180095
Book学术官方微信