推断物种动态和相互作用的计算框架与微生物群生态学的应用。

IF 3.5 2区 生物学 Q1 MATHEMATICAL & COMPUTATIONAL BIOLOGY
Yuanwei Xu, Georgios V Gkoutos
{"title":"推断物种动态和相互作用的计算框架与微生物群生态学的应用。","authors":"Yuanwei Xu, Georgios V Gkoutos","doi":"10.1038/s41540-025-00568-0","DOIUrl":null,"url":null,"abstract":"<p><p>We present MBPert, a generic computational framework for inferring species interactions and predicting dynamics in time-evolving ecosystems from perturbation and time-series data. In this work, we contextualize the framework in microbial ecosystem modeling by coupling a modified generalized Lotka-Volterra formulation with machine learning optimization. Unlike traditional methods that rely on gradient matching, MBPert leverages numerical solutions of differential equations and iterative parameter estimation to robustly capture microbial dynamics. The framework is assessed within the context of two experimental scenarios: (i) paired before-and-after measurements under targeted perturbations, and (ii) longitudinal time-series data with time-dependent perturbations. Extensive simulation studies, benchmarking on standardized MTIST datasets, and application to Clostridium difficile infection in mice and repeated antibiotic perturbations of human gut micribiota, demonstrate that MBPert accurately recapitulates species interactions and predicts system dynamics. Our results highlight MBPert as a powerful and flexible tool for mechanistic insight into microbiota ecology, with broad potential applicability to other complex dynamical systems.</p>","PeriodicalId":19345,"journal":{"name":"NPJ Systems Biology and Applications","volume":"11 1","pages":"87"},"PeriodicalIF":3.5000,"publicationDate":"2025-08-05","publicationTypes":"Journal Article","fieldsOfStudy":null,"isOpenAccess":false,"openAccessPdf":"https://www.ncbi.nlm.nih.gov/pmc/articles/PMC12325733/pdf/","citationCount":"0","resultStr":"{\"title\":\"A computational framework for inferring species dynamics and interactions with applications in microbiota ecology.\",\"authors\":\"Yuanwei Xu, Georgios V Gkoutos\",\"doi\":\"10.1038/s41540-025-00568-0\",\"DOIUrl\":null,\"url\":null,\"abstract\":\"<p><p>We present MBPert, a generic computational framework for inferring species interactions and predicting dynamics in time-evolving ecosystems from perturbation and time-series data. In this work, we contextualize the framework in microbial ecosystem modeling by coupling a modified generalized Lotka-Volterra formulation with machine learning optimization. Unlike traditional methods that rely on gradient matching, MBPert leverages numerical solutions of differential equations and iterative parameter estimation to robustly capture microbial dynamics. The framework is assessed within the context of two experimental scenarios: (i) paired before-and-after measurements under targeted perturbations, and (ii) longitudinal time-series data with time-dependent perturbations. Extensive simulation studies, benchmarking on standardized MTIST datasets, and application to Clostridium difficile infection in mice and repeated antibiotic perturbations of human gut micribiota, demonstrate that MBPert accurately recapitulates species interactions and predicts system dynamics. Our results highlight MBPert as a powerful and flexible tool for mechanistic insight into microbiota ecology, with broad potential applicability to other complex dynamical systems.</p>\",\"PeriodicalId\":19345,\"journal\":{\"name\":\"NPJ Systems Biology and Applications\",\"volume\":\"11 1\",\"pages\":\"87\"},\"PeriodicalIF\":3.5000,\"publicationDate\":\"2025-08-05\",\"publicationTypes\":\"Journal Article\",\"fieldsOfStudy\":null,\"isOpenAccess\":false,\"openAccessPdf\":\"https://www.ncbi.nlm.nih.gov/pmc/articles/PMC12325733/pdf/\",\"citationCount\":\"0\",\"resultStr\":null,\"platform\":\"Semanticscholar\",\"paperid\":null,\"PeriodicalName\":\"NPJ Systems Biology and Applications\",\"FirstCategoryId\":\"99\",\"ListUrlMain\":\"https://doi.org/10.1038/s41540-025-00568-0\",\"RegionNum\":2,\"RegionCategory\":\"生物学\",\"ArticlePicture\":[],\"TitleCN\":null,\"AbstractTextCN\":null,\"PMCID\":null,\"EPubDate\":\"\",\"PubModel\":\"\",\"JCR\":\"Q1\",\"JCRName\":\"MATHEMATICAL & COMPUTATIONAL BIOLOGY\",\"Score\":null,\"Total\":0}","platform":"Semanticscholar","paperid":null,"PeriodicalName":"NPJ Systems Biology and Applications","FirstCategoryId":"99","ListUrlMain":"https://doi.org/10.1038/s41540-025-00568-0","RegionNum":2,"RegionCategory":"生物学","ArticlePicture":[],"TitleCN":null,"AbstractTextCN":null,"PMCID":null,"EPubDate":"","PubModel":"","JCR":"Q1","JCRName":"MATHEMATICAL & COMPUTATIONAL BIOLOGY","Score":null,"Total":0}
引用次数: 0

摘要

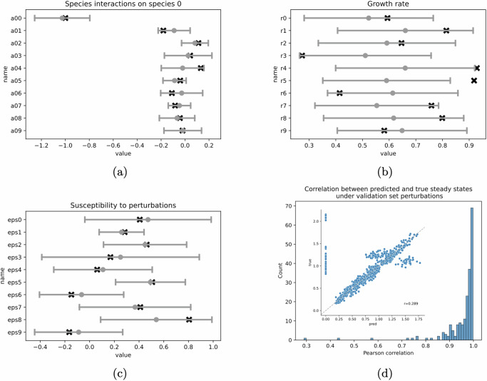
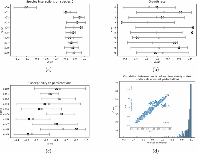
我们提出MBPert,这是一个通用的计算框架,用于从扰动和时间序列数据推断物种相互作用和预测时间进化生态系统的动态。在这项工作中,我们通过将改进的广义Lotka-Volterra公式与机器学习优化相结合,将微生物生态系统建模框架置于背景中。与依赖梯度匹配的传统方法不同,MBPert利用微分方程的数值解和迭代参数估计来稳健地捕获微生物动力学。该框架是在两个实验场景的背景下进行评估的:(i)在目标扰动下成对的前后测量,以及(ii)具有时间相关扰动的纵向时间序列数据。广泛的模拟研究,标准化MTIST数据集的基准测试,以及对小鼠艰难梭菌感染和人类肠道微生物群重复抗生素扰动的应用,表明MBPert准确地概述了物种相互作用并预测了系统动力学。我们的研究结果突出了MBPert作为一种强大而灵活的工具,可以深入了解微生物群生态学的机制,并具有广泛的潜在适用性。
本文章由计算机程序翻译,如有差异,请以英文原文为准。

A computational framework for inferring species dynamics and interactions with applications in microbiota ecology.

A computational framework for inferring species dynamics and interactions with applications in microbiota ecology.

A computational framework for inferring species dynamics and interactions with applications in microbiota ecology.

A computational framework for inferring species dynamics and interactions with applications in microbiota ecology.

A computational framework for inferring species dynamics and interactions with applications in microbiota ecology.

A computational framework for inferring species dynamics and interactions with applications in microbiota ecology.

A computational framework for inferring species dynamics and interactions with applications in microbiota ecology.

We present MBPert, a generic computational framework for inferring species interactions and predicting dynamics in time-evolving ecosystems from perturbation and time-series data. In this work, we contextualize the framework in microbial ecosystem modeling by coupling a modified generalized Lotka-Volterra formulation with machine learning optimization. Unlike traditional methods that rely on gradient matching, MBPert leverages numerical solutions of differential equations and iterative parameter estimation to robustly capture microbial dynamics. The framework is assessed within the context of two experimental scenarios: (i) paired before-and-after measurements under targeted perturbations, and (ii) longitudinal time-series data with time-dependent perturbations. Extensive simulation studies, benchmarking on standardized MTIST datasets, and application to Clostridium difficile infection in mice and repeated antibiotic perturbations of human gut micribiota, demonstrate that MBPert accurately recapitulates species interactions and predicts system dynamics. Our results highlight MBPert as a powerful and flexible tool for mechanistic insight into microbiota ecology, with broad potential applicability to other complex dynamical systems.

求助全文
通过发布文献求助,成功后即可免费获取论文全文。 去求助
来源期刊
NPJ Systems Biology and Applications
NPJ Systems Biology and Applications Mathematics-Applied Mathematics
CiteScore
5.80
自引率
0.00%
发文量
46
审稿时长
8 weeks
期刊介绍: npj Systems Biology and Applications is an online Open Access journal dedicated to publishing the premier research that takes a systems-oriented approach. The journal aims to provide a forum for the presentation of articles that help define this nascent field, as well as those that apply the advances to wider fields. We encourage studies that integrate, or aid the integration of, data, analyses and insight from molecules to organisms and broader systems. Important areas of interest include not only fundamental biological systems and drug discovery, but also applications to health, medical practice and implementation, big data, biotechnology, food science, human behaviour, broader biological systems and industrial applications of systems biology. We encourage all approaches, including network biology, application of control theory to biological systems, computational modelling and analysis, comprehensive and/or high-content measurements, theoretical, analytical and computational studies of system-level properties of biological systems and computational/software/data platforms enabling such studies.
×
引用
GB/T 7714-2015
复制
MLA
复制
APA
复制
导出至
BibTeX EndNote RefMan NoteFirst NoteExpress
×
提示
您的信息不完整,为了账户安全,请先补充。
现在去补充
×
提示
您因"违规操作"
具体请查看互助需知
我知道了
×
提示
确定
请完成安全验证×
copy
已复制链接
快去分享给好友吧!
我知道了
右上角分享
点击右上角分享
0
联系我们:info@booksci.cn Book学术提供免费学术资源搜索服务,方便国内外学者检索中英文文献。致力于提供最便捷和优质的服务体验。 Copyright © 2023 布克学术 All rights reserved.
京ICP备2023020795号-1
ghs 京公网安备 11010802042870号
Book学术文献互助
Book学术文献互助群
群 号:604180095
Book学术官方微信