中国国家批量药品采购的影响:高血压患者医疗费用的多层次中断时间序列分析

IF 5.1 3区 医学 Q2 HEALTH CARE SCIENCES & SERVICES
Yunxiang Huang, Yan Ren, Yuanjin Zhang, Yulong Jia, Qianrui Li, Minghong Yao, Yuning Wang, Fan Mei, Kang Zou, Huangang Hu, Jing Tan, Xin Sun
{"title":"中国国家批量药品采购的影响:高血压患者医疗费用的多层次中断时间序列分析","authors":"Yunxiang Huang, Yan Ren, Yuanjin Zhang, Yulong Jia, Qianrui Li, Minghong Yao, Yuning Wang, Fan Mei, Kang Zou, Huangang Hu, Jing Tan, Xin Sun","doi":"10.34172/ijhpm.8540","DOIUrl":null,"url":null,"abstract":"<p><strong>Background: </strong>The National Volume-Based Procurement (NVBP), implemented in China in 2019, aims to reduce patients' economic burden by lowering drug prices and promoting the use of NVBP drugs in public hospitals. We evaluated the impact of NVBP on medical expenditures among hypertensive patients, analyzing both the overall impact and variations in policy effects across individual hospitals.</p><p><strong>Methods: </strong>Using medical records from 1.17 million hypertensive patients across 82 hospitals in Tianjin (2017-2021), we conducted an interrupted time series analysis to assess expenditure changes among hypertensive patients for the treatment of hypertension, dyslipidaemia, type 2 diabetes, and chronic ischemic heart disease (IHD). Multilevel model was employed to estimate the overall impact and hospital-specific variations in policy effects.</p><p><strong>Results: </strong>NVBP implementation significantly reduced per-visit outpatient expenditures among hypertensive patients for the treatment of hypertension (-15.61%), dyslipidaemia (-25.77%), and diabetes (-17.59%) by lowering drug expenditures. Although drug expenditures for chronic IHD decreased, non-drug expenditures increased, leading to no significant change in total expenditures for chronic IHD (-8.97%). For inpatient expenditures, no significant changes in total per-admission expenditures were observed for chronic IHD or diabetes hospitalizations. Drug expenditures for diabetes decreased significantly, but diagnostic expenditures increased, while no significant change was found in chronic IHD drug expenditures. At the individual hospital level, significant variations in policy effects were observed. Despite the overall decrease in outpatient expenditures for the treatment of hypertension, dyslipidaemia, and diabetes, only 45.6%, 67.2%, and 46.3% of hospitals, respectively, showed significant decreases, while the remainder exhibited either non-significant changes or increases.</p><p><strong>Conclusion: </strong>NVBP effectively reduced outpatient expenditures among hypertensive patients for the treatment of hypertension, dyslipidaemia, and diabetes, suggesting its potential to alleviate patients' economic burdens. However, the increases in non-drug expenditures and substantial variations in policy effects across hospitals highlight a room for further improvement in policy implementation and overall effectiveness.</p>","PeriodicalId":14135,"journal":{"name":"International Journal of Health Policy and Management","volume":"14 ","pages":"8540"},"PeriodicalIF":5.1000,"publicationDate":"2025-01-01","publicationTypes":"Journal Article","fieldsOfStudy":null,"isOpenAccess":false,"openAccessPdf":"https://www.ncbi.nlm.nih.gov/pmc/articles/PMC12257203/pdf/","citationCount":"0","resultStr":"{\"title\":\"Impact of China's National Volume-Based Drug Procurement: A Multilevel Interrupted Time Series Analysis on Medical Expenditures in Hypertensive Patients.\",\"authors\":\"Yunxiang Huang, Yan Ren, Yuanjin Zhang, Yulong Jia, Qianrui Li, Minghong Yao, Yuning Wang, Fan Mei, Kang Zou, Huangang Hu, Jing Tan, Xin Sun\",\"doi\":\"10.34172/ijhpm.8540\",\"DOIUrl\":null,\"url\":null,\"abstract\":\"<p><strong>Background: </strong>The National Volume-Based Procurement (NVBP), implemented in China in 2019, aims to reduce patients' economic burden by lowering drug prices and promoting the use of NVBP drugs in public hospitals. We evaluated the impact of NVBP on medical expenditures among hypertensive patients, analyzing both the overall impact and variations in policy effects across individual hospitals.</p><p><strong>Methods: </strong>Using medical records from 1.17 million hypertensive patients across 82 hospitals in Tianjin (2017-2021), we conducted an interrupted time series analysis to assess expenditure changes among hypertensive patients for the treatment of hypertension, dyslipidaemia, type 2 diabetes, and chronic ischemic heart disease (IHD). Multilevel model was employed to estimate the overall impact and hospital-specific variations in policy effects.</p><p><strong>Results: </strong>NVBP implementation significantly reduced per-visit outpatient expenditures among hypertensive patients for the treatment of hypertension (-15.61%), dyslipidaemia (-25.77%), and diabetes (-17.59%) by lowering drug expenditures. Although drug expenditures for chronic IHD decreased, non-drug expenditures increased, leading to no significant change in total expenditures for chronic IHD (-8.97%). For inpatient expenditures, no significant changes in total per-admission expenditures were observed for chronic IHD or diabetes hospitalizations. Drug expenditures for diabetes decreased significantly, but diagnostic expenditures increased, while no significant change was found in chronic IHD drug expenditures. At the individual hospital level, significant variations in policy effects were observed. Despite the overall decrease in outpatient expenditures for the treatment of hypertension, dyslipidaemia, and diabetes, only 45.6%, 67.2%, and 46.3% of hospitals, respectively, showed significant decreases, while the remainder exhibited either non-significant changes or increases.</p><p><strong>Conclusion: </strong>NVBP effectively reduced outpatient expenditures among hypertensive patients for the treatment of hypertension, dyslipidaemia, and diabetes, suggesting its potential to alleviate patients' economic burdens. However, the increases in non-drug expenditures and substantial variations in policy effects across hospitals highlight a room for further improvement in policy implementation and overall effectiveness.</p>\",\"PeriodicalId\":14135,\"journal\":{\"name\":\"International Journal of Health Policy and Management\",\"volume\":\"14 \",\"pages\":\"8540\"},\"PeriodicalIF\":5.1000,\"publicationDate\":\"2025-01-01\",\"publicationTypes\":\"Journal Article\",\"fieldsOfStudy\":null,\"isOpenAccess\":false,\"openAccessPdf\":\"https://www.ncbi.nlm.nih.gov/pmc/articles/PMC12257203/pdf/\",\"citationCount\":\"0\",\"resultStr\":null,\"platform\":\"Semanticscholar\",\"paperid\":null,\"PeriodicalName\":\"International Journal of Health Policy and Management\",\"FirstCategoryId\":\"3\",\"ListUrlMain\":\"https://doi.org/10.34172/ijhpm.8540\",\"RegionNum\":3,\"RegionCategory\":\"医学\",\"ArticlePicture\":[],\"TitleCN\":null,\"AbstractTextCN\":null,\"PMCID\":null,\"EPubDate\":\"2025/5/25 0:00:00\",\"PubModel\":\"Epub\",\"JCR\":\"Q2\",\"JCRName\":\"HEALTH CARE SCIENCES & SERVICES\",\"Score\":null,\"Total\":0}","platform":"Semanticscholar","paperid":null,"PeriodicalName":"International Journal of Health Policy and Management","FirstCategoryId":"3","ListUrlMain":"https://doi.org/10.34172/ijhpm.8540","RegionNum":3,"RegionCategory":"医学","ArticlePicture":[],"TitleCN":null,"AbstractTextCN":null,"PMCID":null,"EPubDate":"2025/5/25 0:00:00","PubModel":"Epub","JCR":"Q2","JCRName":"HEALTH CARE SCIENCES & SERVICES","Score":null,"Total":0}
引用次数: 0

摘要

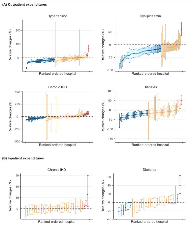
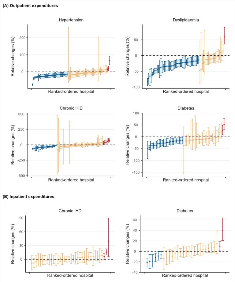
背景:2019年在中国实施的国家批量采购(NVBP)旨在通过降低药品价格和促进公立医院使用NVBP药物来减轻患者的经济负担。我们评估了NVBP对高血压患者医疗支出的影响,分析了各个医院的总体影响和政策效果的差异。方法:利用天津市82家医院117万高血压患者(2017-2021年)的医疗记录,进行中断时间序列分析,评估高血压患者治疗高血压、血脂异常、2型糖尿病和慢性缺血性心脏病(IHD)的费用变化。采用多水平模型来估计政策效果的总体影响和医院特异性变化。结果:通过降低药物支出,NVBP的实施显著降低了高血压患者治疗高血压(-15.61%)、血脂异常(-25.77%)和糖尿病(-17.59%)的门诊费用。虽然慢性IHD的药物支出下降,但非药物支出增加,导致慢性IHD的总支出没有显著变化(-8.97%)。对于住院费用,未观察到慢性IHD或糖尿病住院总住院费用的显著变化。糖尿病药物支出显著下降,但诊断支出增加,而慢性IHD药物支出无显著变化。在个别医院层面,观察到政策效果的显著差异。尽管治疗高血压、血脂异常和糖尿病的门诊费用总体下降,但分别只有45.6%、67.2%和46.3%的医院出现了显著下降,而其余的医院要么没有显著变化,要么有所增加。结论:NVBP可有效降低高血压患者治疗高血压、血脂异常、糖尿病的门诊费用,具有减轻患者经济负担的潜力。然而,非药品支出的增加和各医院之间政策效果的巨大差异突出表明,在政策执行和整体有效性方面仍有进一步改进的余地。
本文章由计算机程序翻译,如有差异,请以英文原文为准。

Impact of China's National Volume-Based Drug Procurement: A Multilevel Interrupted Time Series Analysis on Medical Expenditures in Hypertensive Patients.

Impact of China's National Volume-Based Drug Procurement: A Multilevel Interrupted Time Series Analysis on Medical Expenditures in Hypertensive Patients.

Impact of China's National Volume-Based Drug Procurement: A Multilevel Interrupted Time Series Analysis on Medical Expenditures in Hypertensive Patients.

Impact of China's National Volume-Based Drug Procurement: A Multilevel Interrupted Time Series Analysis on Medical Expenditures in Hypertensive Patients.

Impact of China's National Volume-Based Drug Procurement: A Multilevel Interrupted Time Series Analysis on Medical Expenditures in Hypertensive Patients.

Impact of China's National Volume-Based Drug Procurement: A Multilevel Interrupted Time Series Analysis on Medical Expenditures in Hypertensive Patients.

Impact of China's National Volume-Based Drug Procurement: A Multilevel Interrupted Time Series Analysis on Medical Expenditures in Hypertensive Patients.

Background: The National Volume-Based Procurement (NVBP), implemented in China in 2019, aims to reduce patients' economic burden by lowering drug prices and promoting the use of NVBP drugs in public hospitals. We evaluated the impact of NVBP on medical expenditures among hypertensive patients, analyzing both the overall impact and variations in policy effects across individual hospitals.

Methods: Using medical records from 1.17 million hypertensive patients across 82 hospitals in Tianjin (2017-2021), we conducted an interrupted time series analysis to assess expenditure changes among hypertensive patients for the treatment of hypertension, dyslipidaemia, type 2 diabetes, and chronic ischemic heart disease (IHD). Multilevel model was employed to estimate the overall impact and hospital-specific variations in policy effects.

Results: NVBP implementation significantly reduced per-visit outpatient expenditures among hypertensive patients for the treatment of hypertension (-15.61%), dyslipidaemia (-25.77%), and diabetes (-17.59%) by lowering drug expenditures. Although drug expenditures for chronic IHD decreased, non-drug expenditures increased, leading to no significant change in total expenditures for chronic IHD (-8.97%). For inpatient expenditures, no significant changes in total per-admission expenditures were observed for chronic IHD or diabetes hospitalizations. Drug expenditures for diabetes decreased significantly, but diagnostic expenditures increased, while no significant change was found in chronic IHD drug expenditures. At the individual hospital level, significant variations in policy effects were observed. Despite the overall decrease in outpatient expenditures for the treatment of hypertension, dyslipidaemia, and diabetes, only 45.6%, 67.2%, and 46.3% of hospitals, respectively, showed significant decreases, while the remainder exhibited either non-significant changes or increases.

Conclusion: NVBP effectively reduced outpatient expenditures among hypertensive patients for the treatment of hypertension, dyslipidaemia, and diabetes, suggesting its potential to alleviate patients' economic burdens. However, the increases in non-drug expenditures and substantial variations in policy effects across hospitals highlight a room for further improvement in policy implementation and overall effectiveness.

求助全文
通过发布文献求助,成功后即可免费获取论文全文。 去求助
来源期刊
International Journal of Health Policy and Management
International Journal of Health Policy and Management Health Professions-Health Information Management
CiteScore
5.40
自引率
14.30%
发文量
142
审稿时长
9 weeks
期刊介绍: International Journal of Health Policy and Management (IJHPM) is a monthly open access, peer-reviewed journal which serves as an international and interdisciplinary setting for the dissemination of health policy and management research. It brings together individual specialties from different fields, notably health management/policy/economics, epidemiology, social/public policy, and philosophy into a dynamic academic mix.
×
引用
GB/T 7714-2015
复制
MLA
复制
APA
复制
导出至
BibTeX EndNote RefMan NoteFirst NoteExpress
×
提示
您的信息不完整,为了账户安全,请先补充。
现在去补充
×
提示
您因"违规操作"
具体请查看互助需知
我知道了
×
提示
确定
请完成安全验证×
copy
已复制链接
快去分享给好友吧!
我知道了
右上角分享
点击右上角分享
0
联系我们:info@booksci.cn Book学术提供免费学术资源搜索服务,方便国内外学者检索中英文文献。致力于提供最便捷和优质的服务体验。 Copyright © 2023 布克学术 All rights reserved.
京ICP备2023020795号-1
ghs 京公网安备 11010802042870号
Book学术文献互助
Book学术文献互助群
群 号:604180095
Book学术官方微信