综合知识翻译是如何工作的?现实主义的评论。

IF 3.2 2区 医学 Q1 HEALTH POLICY & SERVICES
Anita Kothari, Shannon L Sibbald, Chris McCutcheon, Whitney Berta, Robin Urquhart, Tanya Horsley, Leigha Comer, Ian D Graham
{"title":"综合知识翻译是如何工作的?现实主义的评论。","authors":"Anita Kothari, Shannon L Sibbald, Chris McCutcheon, Whitney Berta, Robin Urquhart, Tanya Horsley, Leigha Comer, Ian D Graham","doi":"10.1186/s12961-025-01374-0","DOIUrl":null,"url":null,"abstract":"<p><strong>Background: </strong>Integrated knowledge translation (IKT), or research co-production, is a research approach where researchers and knowledge users carry out a study as equal partners. A growing evidence base demonstrates that IKT produces research findings that are useful, usable and used. Despite knowing how IKT works, we have yet to ascertain how it operates. We conducted a realist review to examine the key mechanisms thought to explain how IKT approaches work in relation to the generation of research in the healthcare sector.</p><p><strong>Methods: </strong>The research question was the following: what are the necessary conditions (context) and key mechanisms that explain the success of IKT in the healthcare sector? We conducted the review in two phases. During phase 1, we collaborated with knowledge users and scoped the literature to develop preliminary program theories. In phase 2, we inductively tested the preliminary program theories against the literature. We searched OVID Medline, Embase, PsycINFO, the Cumulative Index of Nursing and Allied Health Literature, Social Sciences Abstracts, and ABI Inform for empirical articles published between 2002 and 2017. An updated search included Embase and OVID Medline articles published between 2017 and 2020. The review includes 84 papers. We included articles written in English that focused on the health sector; encompassed the co-generation of research with researchers, policy-makers, administrators and/or practitioners; and evaluated the IKT approach. In analysing the retained articles, we produced three program theories by looking for common patterns and challenging and refining these theories.</p><p><strong>Results: </strong>We postulate three program theories about how teams of researchers and knowledge users work to generate research. We identified three important conditions: infrastructure, role clarity and power sharing. Under particular infrastructure arrangements, effective partnerships are mechanisms that lead to the production of research findings relevant to knowledge users. Role clarity also triggers effective partnerships. With power sharing, synergy is a mechanism that leads to the use of findings.</p><p><strong>Conclusions: </strong>We identified different conditions (contextual factors), including infrastructure, role clarity and power sharing, in which IKT produces research findings that are of relevance to knowledge users and used in health settings. Effective partnerships are necessary but an insufficient mechanism for actual use of research findings, and must occur before the mechanism of partnership synergy. This work contributes to our understanding of how to enhance the uptake of evidence by presenting three program theories and a consolidated, mid-range theory of IKT.</p>","PeriodicalId":12870,"journal":{"name":"Health Research Policy and Systems","volume":"23 1","pages":"102"},"PeriodicalIF":3.2000,"publicationDate":"2025-08-05","publicationTypes":"Journal Article","fieldsOfStudy":null,"isOpenAccess":false,"openAccessPdf":"https://www.ncbi.nlm.nih.gov/pmc/articles/PMC12323222/pdf/","citationCount":"0","resultStr":"{\"title\":\"How does integrated knowledge translation work? A realist review.\",\"authors\":\"Anita Kothari, Shannon L Sibbald, Chris McCutcheon, Whitney Berta, Robin Urquhart, Tanya Horsley, Leigha Comer, Ian D Graham\",\"doi\":\"10.1186/s12961-025-01374-0\",\"DOIUrl\":null,\"url\":null,\"abstract\":\"<p><strong>Background: </strong>Integrated knowledge translation (IKT), or research co-production, is a research approach where researchers and knowledge users carry out a study as equal partners. A growing evidence base demonstrates that IKT produces research findings that are useful, usable and used. Despite knowing how IKT works, we have yet to ascertain how it operates. We conducted a realist review to examine the key mechanisms thought to explain how IKT approaches work in relation to the generation of research in the healthcare sector.</p><p><strong>Methods: </strong>The research question was the following: what are the necessary conditions (context) and key mechanisms that explain the success of IKT in the healthcare sector? We conducted the review in two phases. During phase 1, we collaborated with knowledge users and scoped the literature to develop preliminary program theories. In phase 2, we inductively tested the preliminary program theories against the literature. We searched OVID Medline, Embase, PsycINFO, the Cumulative Index of Nursing and Allied Health Literature, Social Sciences Abstracts, and ABI Inform for empirical articles published between 2002 and 2017. An updated search included Embase and OVID Medline articles published between 2017 and 2020. The review includes 84 papers. We included articles written in English that focused on the health sector; encompassed the co-generation of research with researchers, policy-makers, administrators and/or practitioners; and evaluated the IKT approach. In analysing the retained articles, we produced three program theories by looking for common patterns and challenging and refining these theories.</p><p><strong>Results: </strong>We postulate three program theories about how teams of researchers and knowledge users work to generate research. We identified three important conditions: infrastructure, role clarity and power sharing. Under particular infrastructure arrangements, effective partnerships are mechanisms that lead to the production of research findings relevant to knowledge users. Role clarity also triggers effective partnerships. With power sharing, synergy is a mechanism that leads to the use of findings.</p><p><strong>Conclusions: </strong>We identified different conditions (contextual factors), including infrastructure, role clarity and power sharing, in which IKT produces research findings that are of relevance to knowledge users and used in health settings. Effective partnerships are necessary but an insufficient mechanism for actual use of research findings, and must occur before the mechanism of partnership synergy. This work contributes to our understanding of how to enhance the uptake of evidence by presenting three program theories and a consolidated, mid-range theory of IKT.</p>\",\"PeriodicalId\":12870,\"journal\":{\"name\":\"Health Research Policy and Systems\",\"volume\":\"23 1\",\"pages\":\"102\"},\"PeriodicalIF\":3.2000,\"publicationDate\":\"2025-08-05\",\"publicationTypes\":\"Journal Article\",\"fieldsOfStudy\":null,\"isOpenAccess\":false,\"openAccessPdf\":\"https://www.ncbi.nlm.nih.gov/pmc/articles/PMC12323222/pdf/\",\"citationCount\":\"0\",\"resultStr\":null,\"platform\":\"Semanticscholar\",\"paperid\":null,\"PeriodicalName\":\"Health Research Policy and Systems\",\"FirstCategoryId\":\"3\",\"ListUrlMain\":\"https://doi.org/10.1186/s12961-025-01374-0\",\"RegionNum\":2,\"RegionCategory\":\"医学\",\"ArticlePicture\":[],\"TitleCN\":null,\"AbstractTextCN\":null,\"PMCID\":null,\"EPubDate\":\"\",\"PubModel\":\"\",\"JCR\":\"Q1\",\"JCRName\":\"HEALTH POLICY & SERVICES\",\"Score\":null,\"Total\":0}","platform":"Semanticscholar","paperid":null,"PeriodicalName":"Health Research Policy and Systems","FirstCategoryId":"3","ListUrlMain":"https://doi.org/10.1186/s12961-025-01374-0","RegionNum":2,"RegionCategory":"医学","ArticlePicture":[],"TitleCN":null,"AbstractTextCN":null,"PMCID":null,"EPubDate":"","PubModel":"","JCR":"Q1","JCRName":"HEALTH POLICY & SERVICES","Score":null,"Total":0}
引用次数: 0

摘要

集成知识翻译(Integrated knowledge translation, IKT),或称研究合作生产(research co-production),是研究人员和知识使用者作为平等伙伴进行研究的一种研究方法。越来越多的证据表明,IKT产生的研究成果是有用的,可用的和使用的。尽管我们知道IKT是如何工作的,但我们还没有确定它是如何运作的。我们进行了一项现实主义回顾,以检查被认为可以解释IKT方法如何与医疗保健部门的研究产生相关的关键机制。方法:研究问题如下:IKT在医疗保健行业成功的必要条件(背景)和关键机制是什么?我们分两个阶段进行检讨。在第一阶段,我们与知识使用者合作,并对文献进行范围界定,以发展初步的程序理论。在第二阶段,我们根据文献对初步的程序理论进行了归纳检验。我们检索了OVID Medline、Embase、PsycINFO、护理和相关健康文献累积索引、社会科学摘要和ABI Inform,检索了2002年至2017年间发表的实证文章。更新后的搜索包括Embase和OVID Medline在2017年至2020年间发表的文章。本综述包括84篇论文。我们收录了以卫生部门为重点的英文文章;包括与研究人员、决策者、管理人员和/或从业人员共同进行研究;并评估了IKT方法。在分析保留的文章时,我们通过寻找共同模式并对这些理论进行挑战和改进,得出了三个程序理论。结果:我们假设了三种关于研究人员和知识用户团队如何工作以产生研究的程序理论。我们确定了三个重要条件:基础设施、角色明晰和权力分享。在特定的基础设施安排下,有效的伙伴关系是导致产生与知识使用者有关的研究成果的机制。角色清晰也能促成有效的伙伴关系。在权力分享中,协同作用是一种导致使用发现的机制。结论:我们确定了不同的条件(背景因素),包括基础设施、角色清晰度和权力分享,在这些条件下,IKT产生的研究结果与知识用户相关,并在卫生环境中使用。有效的伙伴关系是研究成果实际运用的必要机制,但不是充分的机制,必须先于伙伴关系协同机制。这项工作有助于我们理解如何通过提出三个程序理论和一个巩固的、中等范围的IKT理论来提高证据的吸收。
本文章由计算机程序翻译,如有差异,请以英文原文为准。

How does integrated knowledge translation work? A realist review.

How does integrated knowledge translation work? A realist review.

How does integrated knowledge translation work? A realist review.

How does integrated knowledge translation work? A realist review.

How does integrated knowledge translation work? A realist review.

How does integrated knowledge translation work? A realist review.

How does integrated knowledge translation work? A realist review.

Background: Integrated knowledge translation (IKT), or research co-production, is a research approach where researchers and knowledge users carry out a study as equal partners. A growing evidence base demonstrates that IKT produces research findings that are useful, usable and used. Despite knowing how IKT works, we have yet to ascertain how it operates. We conducted a realist review to examine the key mechanisms thought to explain how IKT approaches work in relation to the generation of research in the healthcare sector.

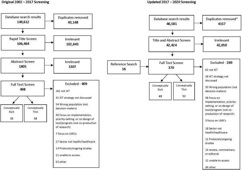
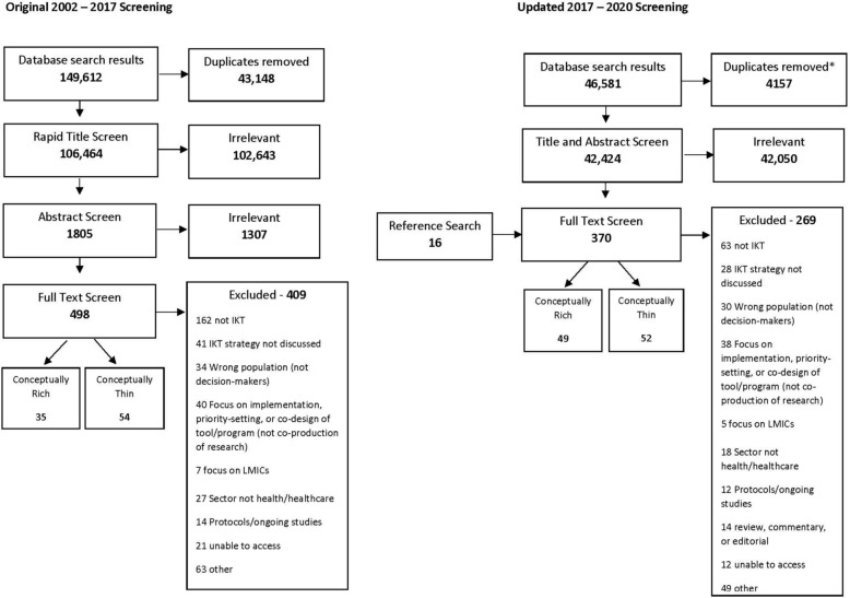
Methods: The research question was the following: what are the necessary conditions (context) and key mechanisms that explain the success of IKT in the healthcare sector? We conducted the review in two phases. During phase 1, we collaborated with knowledge users and scoped the literature to develop preliminary program theories. In phase 2, we inductively tested the preliminary program theories against the literature. We searched OVID Medline, Embase, PsycINFO, the Cumulative Index of Nursing and Allied Health Literature, Social Sciences Abstracts, and ABI Inform for empirical articles published between 2002 and 2017. An updated search included Embase and OVID Medline articles published between 2017 and 2020. The review includes 84 papers. We included articles written in English that focused on the health sector; encompassed the co-generation of research with researchers, policy-makers, administrators and/or practitioners; and evaluated the IKT approach. In analysing the retained articles, we produced three program theories by looking for common patterns and challenging and refining these theories.

Results: We postulate three program theories about how teams of researchers and knowledge users work to generate research. We identified three important conditions: infrastructure, role clarity and power sharing. Under particular infrastructure arrangements, effective partnerships are mechanisms that lead to the production of research findings relevant to knowledge users. Role clarity also triggers effective partnerships. With power sharing, synergy is a mechanism that leads to the use of findings.

Conclusions: We identified different conditions (contextual factors), including infrastructure, role clarity and power sharing, in which IKT produces research findings that are of relevance to knowledge users and used in health settings. Effective partnerships are necessary but an insufficient mechanism for actual use of research findings, and must occur before the mechanism of partnership synergy. This work contributes to our understanding of how to enhance the uptake of evidence by presenting three program theories and a consolidated, mid-range theory of IKT.

求助全文
通过发布文献求助,成功后即可免费获取论文全文。 去求助
来源期刊
Health Research Policy and Systems
Health Research Policy and Systems HEALTH POLICY & SERVICES-
CiteScore
7.50
自引率
7.50%
发文量
124
审稿时长
27 weeks
期刊介绍: Health Research Policy and Systems is an Open Access, peer-reviewed, online journal that aims to provide a platform for the global research community to share their views, findings, insights and successes. Health Research Policy and Systems considers manuscripts that investigate the role of evidence-based health policy and health research systems in ensuring the efficient utilization and application of knowledge to improve health and health equity, especially in developing countries. Research is the foundation for improvements in public health. The problem is that people involved in different areas of research, together with managers and administrators in charge of research entities, do not communicate sufficiently with each other.
×
引用
GB/T 7714-2015
复制
MLA
复制
APA
复制
导出至
BibTeX EndNote RefMan NoteFirst NoteExpress
×
提示
您的信息不完整,为了账户安全,请先补充。
现在去补充
×
提示
您因"违规操作"
具体请查看互助需知
我知道了
×
提示
确定
请完成安全验证×
copy
已复制链接
快去分享给好友吧!
我知道了
右上角分享
点击右上角分享
0
联系我们:info@booksci.cn Book学术提供免费学术资源搜索服务,方便国内外学者检索中英文文献。致力于提供最便捷和优质的服务体验。 Copyright © 2023 布克学术 All rights reserved.
京ICP备2023020795号-1
ghs 京公网安备 11010802042870号
Book学术文献互助
Book学术文献互助群
群 号:604180095
Book学术官方微信