非甾体抗炎药对早期CKD发展的影响:一项基于韩国老年队列的10年人群研究。

IF 3.8 3区 医学 Q2 GERIATRICS & GERONTOLOGY
Drugs & Aging Pub Date : 2025-10-01 Epub Date: 2025-08-06 DOI:10.1007/s40266-025-01239-9
Jung-Sun Lim, Sujeong Han, Jong Seung Kim, Sunyoung Kim, Bumjo Oh
{"title":"非甾体抗炎药对早期CKD发展的影响:一项基于韩国老年队列的10年人群研究。","authors":"Jung-Sun Lim, Sujeong Han, Jong Seung Kim, Sunyoung Kim, Bumjo Oh","doi":"10.1007/s40266-025-01239-9","DOIUrl":null,"url":null,"abstract":"<p><strong>Background: </strong>Nonsteroidal anti-inflammatory drugs (NSAIDs) are widely used for pain management but are associated with nephrotoxicity, particularly in senior populations. While the acute nephrotoxicity of NSAIDs is well established, evidence on their long-term effects on renal function-particularly in community-dwelling older adults-has been mixed across studies.</p><p><strong>Objectives: </strong>This study investigated the association between NSAID use and chronic kidney disease (CKD) risk in the general senior population.</p><p><strong>Methods: </strong>Data from the National Health Insurance Service-Senior Cohort (NHIS-SC) in South Korea were analyzed, including 1812 participants (604 NSAID users and 1208 controls) matched 1:2 by propensity score. Kidney dysfunction was defined as glomerular filtration rate (eGFR) < 60 mL/min/1.73m<sup>2</sup> with a ≥ 10% decline from baseline. Hazard ratios (HRs) for CKD were estimated using Cox regression.</p><p><strong>Results: </strong>NSAID use was associated with an increased CKD risk (HR 1.46; 95% confidence interval (CI) 1.11-1.93) and faster eGFR decline. Subgroup analysis showed elevated risks for Cox-1 (HR 1.53) and Cox-2 inhibitors (HR 1.61). End-stage renal disease (ESRD) incidence was rare and not significant.</p><p><strong>Conclusions: </strong>NSAIDs increase CKD risk and accelerate kidney function decline in senior individuals. Cautious prescription and regular kidney monitoring are recommended, and further randomized trials are needed.</p>","PeriodicalId":11489,"journal":{"name":"Drugs & Aging","volume":" ","pages":"953-961"},"PeriodicalIF":3.8000,"publicationDate":"2025-10-01","publicationTypes":"Journal Article","fieldsOfStudy":null,"isOpenAccess":false,"openAccessPdf":"https://www.ncbi.nlm.nih.gov/pmc/articles/PMC12479701/pdf/","citationCount":"0","resultStr":"{\"title\":\"Effects of NSAIDs on Early CKD Development: A 10-Year Population-Based Study Using the Korean Senior Cohort.\",\"authors\":\"Jung-Sun Lim, Sujeong Han, Jong Seung Kim, Sunyoung Kim, Bumjo Oh\",\"doi\":\"10.1007/s40266-025-01239-9\",\"DOIUrl\":null,\"url\":null,\"abstract\":\"<p><strong>Background: </strong>Nonsteroidal anti-inflammatory drugs (NSAIDs) are widely used for pain management but are associated with nephrotoxicity, particularly in senior populations. While the acute nephrotoxicity of NSAIDs is well established, evidence on their long-term effects on renal function-particularly in community-dwelling older adults-has been mixed across studies.</p><p><strong>Objectives: </strong>This study investigated the association between NSAID use and chronic kidney disease (CKD) risk in the general senior population.</p><p><strong>Methods: </strong>Data from the National Health Insurance Service-Senior Cohort (NHIS-SC) in South Korea were analyzed, including 1812 participants (604 NSAID users and 1208 controls) matched 1:2 by propensity score. Kidney dysfunction was defined as glomerular filtration rate (eGFR) < 60 mL/min/1.73m<sup>2</sup> with a ≥ 10% decline from baseline. Hazard ratios (HRs) for CKD were estimated using Cox regression.</p><p><strong>Results: </strong>NSAID use was associated with an increased CKD risk (HR 1.46; 95% confidence interval (CI) 1.11-1.93) and faster eGFR decline. Subgroup analysis showed elevated risks for Cox-1 (HR 1.53) and Cox-2 inhibitors (HR 1.61). End-stage renal disease (ESRD) incidence was rare and not significant.</p><p><strong>Conclusions: </strong>NSAIDs increase CKD risk and accelerate kidney function decline in senior individuals. Cautious prescription and regular kidney monitoring are recommended, and further randomized trials are needed.</p>\",\"PeriodicalId\":11489,\"journal\":{\"name\":\"Drugs & Aging\",\"volume\":\" \",\"pages\":\"953-961\"},\"PeriodicalIF\":3.8000,\"publicationDate\":\"2025-10-01\",\"publicationTypes\":\"Journal Article\",\"fieldsOfStudy\":null,\"isOpenAccess\":false,\"openAccessPdf\":\"https://www.ncbi.nlm.nih.gov/pmc/articles/PMC12479701/pdf/\",\"citationCount\":\"0\",\"resultStr\":null,\"platform\":\"Semanticscholar\",\"paperid\":null,\"PeriodicalName\":\"Drugs & Aging\",\"FirstCategoryId\":\"3\",\"ListUrlMain\":\"https://doi.org/10.1007/s40266-025-01239-9\",\"RegionNum\":3,\"RegionCategory\":\"医学\",\"ArticlePicture\":[],\"TitleCN\":null,\"AbstractTextCN\":null,\"PMCID\":null,\"EPubDate\":\"2025/8/6 0:00:00\",\"PubModel\":\"Epub\",\"JCR\":\"Q2\",\"JCRName\":\"GERIATRICS & GERONTOLOGY\",\"Score\":null,\"Total\":0}","platform":"Semanticscholar","paperid":null,"PeriodicalName":"Drugs & Aging","FirstCategoryId":"3","ListUrlMain":"https://doi.org/10.1007/s40266-025-01239-9","RegionNum":3,"RegionCategory":"医学","ArticlePicture":[],"TitleCN":null,"AbstractTextCN":null,"PMCID":null,"EPubDate":"2025/8/6 0:00:00","PubModel":"Epub","JCR":"Q2","JCRName":"GERIATRICS & GERONTOLOGY","Score":null,"Total":0}
引用次数: 0

摘要

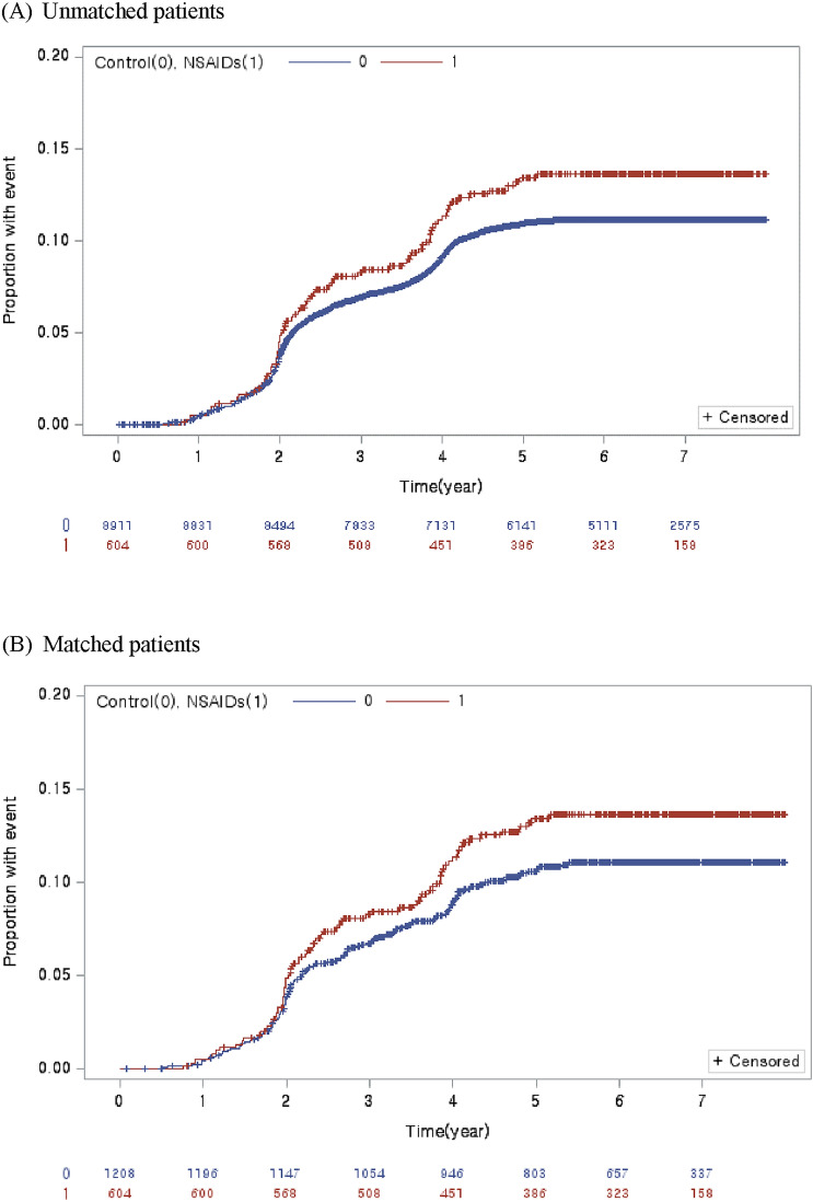
背景:非甾体抗炎药(NSAIDs)广泛用于疼痛治疗,但与肾毒性有关,特别是在老年人中。虽然非甾体抗炎药的急性肾毒性已被证实,但其对肾功能的长期影响的证据——特别是对社区居住的老年人的影响——在不同的研究中存在分歧。目的:本研究调查了一般老年人使用非甾体抗炎药与慢性肾脏疾病(CKD)风险之间的关系。方法:分析来自韩国国家健康保险服务-老年人队列(NHIS-SC)的数据,包括1812名参与者(604名NSAID使用者和1208名对照组),倾向评分匹配1:2。肾功能障碍定义为肾小球滤过率(eGFR) < 60 mL/min/1.73m2,较基线下降≥10%。使用Cox回归估计CKD的风险比(hr)。结果:非甾体抗炎药的使用与CKD风险增加相关(HR 1.46;95%可信区间(CI) 1.11-1.93)和eGFR下降更快。亚组分析显示Cox-1 (HR 1.53)和Cox-2抑制剂(HR 1.61)的风险升高。终末期肾脏疾病(ESRD)的发生率罕见且不显著。结论:非甾体抗炎药增加老年人CKD风险,加速肾功能下降。建议谨慎用药和定期肾监测,并需要进一步的随机试验。
本文章由计算机程序翻译,如有差异,请以英文原文为准。

Effects of NSAIDs on Early CKD Development: A 10-Year Population-Based Study Using the Korean Senior Cohort.

Effects of NSAIDs on Early CKD Development: A 10-Year Population-Based Study Using the Korean Senior Cohort.

Effects of NSAIDs on Early CKD Development: A 10-Year Population-Based Study Using the Korean Senior Cohort.

Background: Nonsteroidal anti-inflammatory drugs (NSAIDs) are widely used for pain management but are associated with nephrotoxicity, particularly in senior populations. While the acute nephrotoxicity of NSAIDs is well established, evidence on their long-term effects on renal function-particularly in community-dwelling older adults-has been mixed across studies.

Objectives: This study investigated the association between NSAID use and chronic kidney disease (CKD) risk in the general senior population.

Methods: Data from the National Health Insurance Service-Senior Cohort (NHIS-SC) in South Korea were analyzed, including 1812 participants (604 NSAID users and 1208 controls) matched 1:2 by propensity score. Kidney dysfunction was defined as glomerular filtration rate (eGFR) < 60 mL/min/1.73m2 with a ≥ 10% decline from baseline. Hazard ratios (HRs) for CKD were estimated using Cox regression.

Results: NSAID use was associated with an increased CKD risk (HR 1.46; 95% confidence interval (CI) 1.11-1.93) and faster eGFR decline. Subgroup analysis showed elevated risks for Cox-1 (HR 1.53) and Cox-2 inhibitors (HR 1.61). End-stage renal disease (ESRD) incidence was rare and not significant.

Conclusions: NSAIDs increase CKD risk and accelerate kidney function decline in senior individuals. Cautious prescription and regular kidney monitoring are recommended, and further randomized trials are needed.

求助全文
通过发布文献求助,成功后即可免费获取论文全文。 去求助
来源期刊
Drugs & Aging
Drugs & Aging 医学-老年医学
CiteScore
5.50
自引率
7.10%
发文量
68
审稿时长
6-12 weeks
期刊介绍: Drugs & Aging delivers essential information on the most important aspects of drug therapy to professionals involved in the care of the elderly. The journal addresses in a timely way the major issues relating to drug therapy in older adults including: the management of specific diseases, particularly those associated with aging, age-related physiological changes impacting drug therapy, drug utilization and prescribing in the elderly, polypharmacy and drug interactions.
×
引用
GB/T 7714-2015
复制
MLA
复制
APA
复制
导出至
BibTeX EndNote RefMan NoteFirst NoteExpress
×
提示
您的信息不完整,为了账户安全,请先补充。
现在去补充
×
提示
您因"违规操作"
具体请查看互助需知
我知道了
×
提示
确定
请完成安全验证×
copy
已复制链接
快去分享给好友吧!
我知道了
右上角分享
点击右上角分享
0
联系我们:info@booksci.cn Book学术提供免费学术资源搜索服务,方便国内外学者检索中英文文献。致力于提供最便捷和优质的服务体验。 Copyright © 2023 布克学术 All rights reserved.
京ICP备2023020795号-1
ghs 京公网安备 11010802042870号
Book学术文献互助
Book学术文献互助群
群 号:604180095
Book学术官方微信