对于纤维化间质性肺病患者来说,身体活动的重要组成部分是什么?

IF 2.3 3区 医学 Q2 RESPIRATORY SYSTEM
Chronic Respiratory Disease Pub Date : 2025-01-01 Epub Date: 2025-08-05 DOI:10.1177/14799731251358584
Mariana Hoffman, Christie R Mellerick, Angela T Burge, Anne E Holland
{"title":"对于纤维化间质性肺病患者来说,身体活动的重要组成部分是什么?","authors":"Mariana Hoffman, Christie R Mellerick, Angela T Burge, Anne E Holland","doi":"10.1177/14799731251358584","DOIUrl":null,"url":null,"abstract":"<p><p>IntroductionFibrotic interstitial lung disease (fILD) is characterized by scarring of the lungs, decline in lung function and compromised exercise capacity. People with fILD participate in less daily physical activity compared to healthy controls, however, the relative importance of physical activity components (volume, intensity, duration) is unknown. This study aimed to examine the relationship between the components of physical activity and established disease severity and impact measures in fILD.MethodsParticipant data were from baseline assessment of a randomized controlled trial recruiting people with fILD and exertional desaturation during exercise testing on room air. Physical activity components including volume (steps per day), intensity (light, moderate and vigorous) and duration (time spent in different physical activity intensities) were objectively assessed for 7 days using two physical activity monitors. Associations of these components with lung function (FVC, FEV<sub>1</sub>, TLCO), functional exercise capacity (6-min walk distance, 6MWD) and dyspnea (Dyspnea-12 questionnaire) were investigated.Results106 participants with mild to severe fILD were included. Physical activity volume was not associated with 6MWD (r = 0.027, <i>p</i> = 0.78) and weakly associated with lung function (FVC r = 0.33, <i>p</i> = 0.001; FEV<sub>1</sub> r = 0.34, <i>p</i> = 0.001). Physical activity intensity and duration were weakly associated with 6MWD (light r = 0.22 <i>p</i> = 0.02; moderate r = 0.42, <i>p</i> < 0.001; vigorous r = 0.33, <i>p</i> = 0.01). Time spent in vigorous physical activity was weakly associated with lung function (FVC r = 0.19, <i>p</i> = 0.05; FEV<sub>1</sub> r = 0.18, <i>p</i> = 0.006). Dyspnea scores were not associated with any physical activity variables. Relationships remained consistent after adjusting for age, gender and disease severity, with the exception of vigorous physical activity which was no longer associated with lung function or 6MWD.ConclusionIn people with fILD, the physical activity components of volume, intensity and duration were associated with different measures of disease severity and impact. This highlights the importance of considering specific physical activity components when evaluating and promoting physical activity in this group.</p>","PeriodicalId":10217,"journal":{"name":"Chronic Respiratory Disease","volume":"22 ","pages":"14799731251358584"},"PeriodicalIF":2.3000,"publicationDate":"2025-01-01","publicationTypes":"Journal Article","fieldsOfStudy":null,"isOpenAccess":false,"openAccessPdf":"https://www.ncbi.nlm.nih.gov/pmc/articles/PMC12326094/pdf/","citationCount":"0","resultStr":"{\"title\":\"What are the important components of physical activity for people with fibrotic interstitial lung disease?\",\"authors\":\"Mariana Hoffman, Christie R Mellerick, Angela T Burge, Anne E Holland\",\"doi\":\"10.1177/14799731251358584\",\"DOIUrl\":null,\"url\":null,\"abstract\":\"<p><p>IntroductionFibrotic interstitial lung disease (fILD) is characterized by scarring of the lungs, decline in lung function and compromised exercise capacity. People with fILD participate in less daily physical activity compared to healthy controls, however, the relative importance of physical activity components (volume, intensity, duration) is unknown. This study aimed to examine the relationship between the components of physical activity and established disease severity and impact measures in fILD.MethodsParticipant data were from baseline assessment of a randomized controlled trial recruiting people with fILD and exertional desaturation during exercise testing on room air. Physical activity components including volume (steps per day), intensity (light, moderate and vigorous) and duration (time spent in different physical activity intensities) were objectively assessed for 7 days using two physical activity monitors. Associations of these components with lung function (FVC, FEV<sub>1</sub>, TLCO), functional exercise capacity (6-min walk distance, 6MWD) and dyspnea (Dyspnea-12 questionnaire) were investigated.Results106 participants with mild to severe fILD were included. Physical activity volume was not associated with 6MWD (r = 0.027, <i>p</i> = 0.78) and weakly associated with lung function (FVC r = 0.33, <i>p</i> = 0.001; FEV<sub>1</sub> r = 0.34, <i>p</i> = 0.001). Physical activity intensity and duration were weakly associated with 6MWD (light r = 0.22 <i>p</i> = 0.02; moderate r = 0.42, <i>p</i> < 0.001; vigorous r = 0.33, <i>p</i> = 0.01). Time spent in vigorous physical activity was weakly associated with lung function (FVC r = 0.19, <i>p</i> = 0.05; FEV<sub>1</sub> r = 0.18, <i>p</i> = 0.006). Dyspnea scores were not associated with any physical activity variables. Relationships remained consistent after adjusting for age, gender and disease severity, with the exception of vigorous physical activity which was no longer associated with lung function or 6MWD.ConclusionIn people with fILD, the physical activity components of volume, intensity and duration were associated with different measures of disease severity and impact. This highlights the importance of considering specific physical activity components when evaluating and promoting physical activity in this group.</p>\",\"PeriodicalId\":10217,\"journal\":{\"name\":\"Chronic Respiratory Disease\",\"volume\":\"22 \",\"pages\":\"14799731251358584\"},\"PeriodicalIF\":2.3000,\"publicationDate\":\"2025-01-01\",\"publicationTypes\":\"Journal Article\",\"fieldsOfStudy\":null,\"isOpenAccess\":false,\"openAccessPdf\":\"https://www.ncbi.nlm.nih.gov/pmc/articles/PMC12326094/pdf/\",\"citationCount\":\"0\",\"resultStr\":null,\"platform\":\"Semanticscholar\",\"paperid\":null,\"PeriodicalName\":\"Chronic Respiratory Disease\",\"FirstCategoryId\":\"3\",\"ListUrlMain\":\"https://doi.org/10.1177/14799731251358584\",\"RegionNum\":3,\"RegionCategory\":\"医学\",\"ArticlePicture\":[],\"TitleCN\":null,\"AbstractTextCN\":null,\"PMCID\":null,\"EPubDate\":\"2025/8/5 0:00:00\",\"PubModel\":\"Epub\",\"JCR\":\"Q2\",\"JCRName\":\"RESPIRATORY SYSTEM\",\"Score\":null,\"Total\":0}","platform":"Semanticscholar","paperid":null,"PeriodicalName":"Chronic Respiratory Disease","FirstCategoryId":"3","ListUrlMain":"https://doi.org/10.1177/14799731251358584","RegionNum":3,"RegionCategory":"医学","ArticlePicture":[],"TitleCN":null,"AbstractTextCN":null,"PMCID":null,"EPubDate":"2025/8/5 0:00:00","PubModel":"Epub","JCR":"Q2","JCRName":"RESPIRATORY SYSTEM","Score":null,"Total":0}
引用次数: 0

摘要

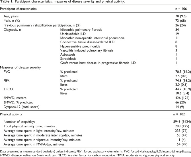
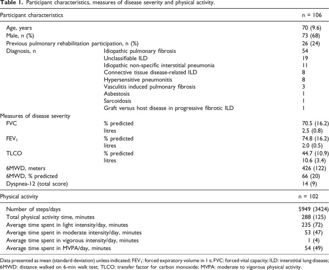
纤维化间质性肺病(fILD)的特征是肺瘢痕、肺功能下降和运动能力受损。与健康对照组相比,患有field的人每天参加的体力活动较少,然而,体力活动成分(体积、强度、持续时间)的相对重要性尚不清楚。本研究旨在研究体力活动组成部分与field中已建立的疾病严重程度和影响措施之间的关系。方法参与者数据来自一项随机对照试验的基线评估,该试验招募了在室内空气运动测试中患有field和运动性去饱和的人。使用两个身体活动监测器客观评估7天的身体活动成分,包括量(每天步数)、强度(轻度、中度和剧烈)和持续时间(不同身体活动强度的时间)。研究了这些成分与肺功能(FVC、FEV1、TLCO)、功能运动能力(6分钟步行距离,6MWD)和呼吸困难(呼吸困难-12问卷)的关系。结果共纳入轻至重度field患者106例。体力活动量与6MWD无相关性(r = 0.027, p = 0.78),与肺功能相关性较弱(FVC r = 0.33, p = 0.001;FEV1 r = 0.34, p = 0.001)。体力活动强度和持续时间与6MWD呈弱相关(轻r = 0.22 p = 0.02;中度r = 0.42, p < 0.001;有力r = 0.33, p = 0.01)。剧烈运动时间与肺功能弱相关(FVC r = 0.19, p = 0.05;FEV1 r = 0.18, p = 0.006)。呼吸困难评分与任何身体活动变量无关。在调整了年龄、性别和疾病严重程度后,两者之间的关系保持一致,但剧烈的体育活动不再与肺功能或6MWD相关。结论在field患者中,体力活动成分的量、强度和持续时间与疾病严重程度和影响的不同指标相关。这突出了在评估和促进这一群体的体育活动时考虑特定体育活动组成部分的重要性。
本文章由计算机程序翻译,如有差异,请以英文原文为准。

What are the important components of physical activity for people with fibrotic interstitial lung disease?

What are the important components of physical activity for people with fibrotic interstitial lung disease?

What are the important components of physical activity for people with fibrotic interstitial lung disease?

What are the important components of physical activity for people with fibrotic interstitial lung disease?

What are the important components of physical activity for people with fibrotic interstitial lung disease?

IntroductionFibrotic interstitial lung disease (fILD) is characterized by scarring of the lungs, decline in lung function and compromised exercise capacity. People with fILD participate in less daily physical activity compared to healthy controls, however, the relative importance of physical activity components (volume, intensity, duration) is unknown. This study aimed to examine the relationship between the components of physical activity and established disease severity and impact measures in fILD.MethodsParticipant data were from baseline assessment of a randomized controlled trial recruiting people with fILD and exertional desaturation during exercise testing on room air. Physical activity components including volume (steps per day), intensity (light, moderate and vigorous) and duration (time spent in different physical activity intensities) were objectively assessed for 7 days using two physical activity monitors. Associations of these components with lung function (FVC, FEV1, TLCO), functional exercise capacity (6-min walk distance, 6MWD) and dyspnea (Dyspnea-12 questionnaire) were investigated.Results106 participants with mild to severe fILD were included. Physical activity volume was not associated with 6MWD (r = 0.027, p = 0.78) and weakly associated with lung function (FVC r = 0.33, p = 0.001; FEV1 r = 0.34, p = 0.001). Physical activity intensity and duration were weakly associated with 6MWD (light r = 0.22 p = 0.02; moderate r = 0.42, p < 0.001; vigorous r = 0.33, p = 0.01). Time spent in vigorous physical activity was weakly associated with lung function (FVC r = 0.19, p = 0.05; FEV1 r = 0.18, p = 0.006). Dyspnea scores were not associated with any physical activity variables. Relationships remained consistent after adjusting for age, gender and disease severity, with the exception of vigorous physical activity which was no longer associated with lung function or 6MWD.ConclusionIn people with fILD, the physical activity components of volume, intensity and duration were associated with different measures of disease severity and impact. This highlights the importance of considering specific physical activity components when evaluating and promoting physical activity in this group.

求助全文
通过发布文献求助,成功后即可免费获取论文全文。 去求助
来源期刊
Chronic Respiratory Disease
Chronic Respiratory Disease RESPIRATORY SYSTEM-
CiteScore
5.90
自引率
7.30%
发文量
47
审稿时长
11 weeks
期刊介绍: Chronic Respiratory Disease is a peer-reviewed, open access, scholarly journal, created in response to the rising incidence of chronic respiratory diseases worldwide. It publishes high quality research papers and original articles that have immediate relevance to clinical practice and its multi-disciplinary perspective reflects the nature of modern treatment. The journal provides a high quality, multi-disciplinary focus for the publication of original papers, reviews and commentary in the broad area of chronic respiratory disease, particularly its treatment and management.
×
引用
GB/T 7714-2015
复制
MLA
复制
APA
复制
导出至
BibTeX EndNote RefMan NoteFirst NoteExpress
×
提示
您的信息不完整,为了账户安全,请先补充。
现在去补充
×
提示
您因"违规操作"
具体请查看互助需知
我知道了
×
提示
确定
请完成安全验证×
copy
已复制链接
快去分享给好友吧!
我知道了
右上角分享
点击右上角分享
0
联系我们:info@booksci.cn Book学术提供免费学术资源搜索服务,方便国内外学者检索中英文文献。致力于提供最便捷和优质的服务体验。 Copyright © 2023 布克学术 All rights reserved.
京ICP备2023020795号-1
ghs 京公网安备 11010802042870号
Book学术文献互助
Book学术文献互助群
群 号:604180095
Book学术官方微信