哈德逊湾西部北极熊(Ursus maritimus)怀孕率的时间动态:质量、年龄和首次繁殖时间的影响。

IF 2.5 3区 环境科学与生态学 Q2 BIODIVERSITY CONSERVATION
Conservation Physiology Pub Date : 2025-08-02 eCollection Date: 2025-01-01 DOI:10.1093/conphys/coaf058
David McGeachy, Nicholas J Lunn, Evan S Richardson, Andrew E Derocher
{"title":"哈德逊湾西部北极熊(Ursus maritimus)怀孕率的时间动态:质量、年龄和首次繁殖时间的影响。","authors":"David McGeachy, Nicholas J Lunn, Evan S Richardson, Andrew E Derocher","doi":"10.1093/conphys/coaf058","DOIUrl":null,"url":null,"abstract":"<p><p>Reproduction is the most energetically costly undertaking for female mammals and for capital breeders. Understanding factors that influence individual body condition and reproductive success is essential to understanding population demography. We investigated long-term trends in pregnancy rates to assess the impacts of individual and environmental factors on polar bear reproduction. Pregnancy status was determined from serum progesterone levels in blood collected from free-ranging polar bears captured on shore in late summer to early autumn in western Hudson Bay, Canada. We analysed 541 blood samples for progesterone level from 441 individuals from 1991 to 2021 and compared to data from 1982 to 1990 (354 individuals from 476 occasions). We used a generalized linear model to investigate individual and environmental factors that could influence pregnancy rates. The percent of solitary females that were pregnant declined significantly over time and between time periods from 85% in 1982-90 to 73% in 1991-2021. Interannual variation in pregnancy was high, ranging from 46 to 100%. Pregnancy rates were influenced by mass and age, with higher pregnancy rates for heavier females and those >4 and <24 years old. The percentage of pregnant 4-year-old females declined from 82% in 1982-90 to 55% in 1991-2021. The mass of pregnant females declined over time and the lightest pregnant female known to have produced cubs weighed 196 kg in the autumn. We suggest further research is needed to understand mechanisms resulting in pregnancy rate variation, which may be related to previous reproductive status and recent litter loss.</p>","PeriodicalId":54331,"journal":{"name":"Conservation Physiology","volume":"13 1","pages":"coaf058"},"PeriodicalIF":2.5000,"publicationDate":"2025-08-02","publicationTypes":"Journal Article","fieldsOfStudy":null,"isOpenAccess":false,"openAccessPdf":"https://www.ncbi.nlm.nih.gov/pmc/articles/PMC12318928/pdf/","citationCount":"0","resultStr":"{\"title\":\"Temporal dynamics of polar bear (<i>Ursus maritimus</i>) pregnancy rates in western Hudson Bay: influence of mass, age and timing of first breeding.\",\"authors\":\"David McGeachy, Nicholas J Lunn, Evan S Richardson, Andrew E Derocher\",\"doi\":\"10.1093/conphys/coaf058\",\"DOIUrl\":null,\"url\":null,\"abstract\":\"<p><p>Reproduction is the most energetically costly undertaking for female mammals and for capital breeders. Understanding factors that influence individual body condition and reproductive success is essential to understanding population demography. We investigated long-term trends in pregnancy rates to assess the impacts of individual and environmental factors on polar bear reproduction. Pregnancy status was determined from serum progesterone levels in blood collected from free-ranging polar bears captured on shore in late summer to early autumn in western Hudson Bay, Canada. We analysed 541 blood samples for progesterone level from 441 individuals from 1991 to 2021 and compared to data from 1982 to 1990 (354 individuals from 476 occasions). We used a generalized linear model to investigate individual and environmental factors that could influence pregnancy rates. The percent of solitary females that were pregnant declined significantly over time and between time periods from 85% in 1982-90 to 73% in 1991-2021. Interannual variation in pregnancy was high, ranging from 46 to 100%. Pregnancy rates were influenced by mass and age, with higher pregnancy rates for heavier females and those >4 and <24 years old. The percentage of pregnant 4-year-old females declined from 82% in 1982-90 to 55% in 1991-2021. The mass of pregnant females declined over time and the lightest pregnant female known to have produced cubs weighed 196 kg in the autumn. We suggest further research is needed to understand mechanisms resulting in pregnancy rate variation, which may be related to previous reproductive status and recent litter loss.</p>\",\"PeriodicalId\":54331,\"journal\":{\"name\":\"Conservation Physiology\",\"volume\":\"13 1\",\"pages\":\"coaf058\"},\"PeriodicalIF\":2.5000,\"publicationDate\":\"2025-08-02\",\"publicationTypes\":\"Journal Article\",\"fieldsOfStudy\":null,\"isOpenAccess\":false,\"openAccessPdf\":\"https://www.ncbi.nlm.nih.gov/pmc/articles/PMC12318928/pdf/\",\"citationCount\":\"0\",\"resultStr\":null,\"platform\":\"Semanticscholar\",\"paperid\":null,\"PeriodicalName\":\"Conservation Physiology\",\"FirstCategoryId\":\"93\",\"ListUrlMain\":\"https://doi.org/10.1093/conphys/coaf058\",\"RegionNum\":3,\"RegionCategory\":\"环境科学与生态学\",\"ArticlePicture\":[],\"TitleCN\":null,\"AbstractTextCN\":null,\"PMCID\":null,\"EPubDate\":\"2025/1/1 0:00:00\",\"PubModel\":\"eCollection\",\"JCR\":\"Q2\",\"JCRName\":\"BIODIVERSITY CONSERVATION\",\"Score\":null,\"Total\":0}","platform":"Semanticscholar","paperid":null,"PeriodicalName":"Conservation Physiology","FirstCategoryId":"93","ListUrlMain":"https://doi.org/10.1093/conphys/coaf058","RegionNum":3,"RegionCategory":"环境科学与生态学","ArticlePicture":[],"TitleCN":null,"AbstractTextCN":null,"PMCID":null,"EPubDate":"2025/1/1 0:00:00","PubModel":"eCollection","JCR":"Q2","JCRName":"BIODIVERSITY CONSERVATION","Score":null,"Total":0}
引用次数: 0

摘要

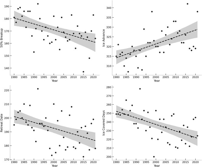
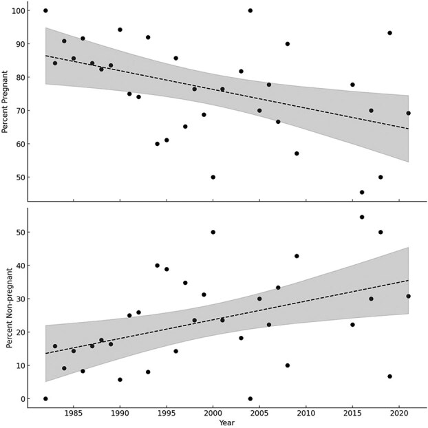
对于雌性哺乳动物和资本繁殖者来说,繁殖是最耗费精力的工作。了解影响个体身体状况和繁殖成功的因素对了解人口统计学至关重要。我们调查了怀孕率的长期趋势,以评估个体和环境因素对北极熊繁殖的影响。在加拿大哈德逊湾西部的夏末至初秋期间,从岸上捕获的自由放养的北极熊,通过血液中的血清孕酮水平来确定其妊娠状态。我们分析了1991年至2021年441人的541份血液样本的黄体酮水平,并与1982年至1990年的数据进行了比较(476次的354人)。我们使用广义线性模型来研究可能影响怀孕率的个体和环境因素。随着时间的推移,怀孕的独居女性的比例显著下降,从1982-90年的85%下降到1991-2021年的73%。怀孕的年际变化很大,从46%到100%不等。怀孕率受体重和年龄的影响,体重较重的女性怀孕率较高,体重40岁以上的女性怀孕率较高
本文章由计算机程序翻译,如有差异,请以英文原文为准。

Temporal dynamics of polar bear (<i>Ursus maritimus</i>) pregnancy rates in western Hudson Bay: influence of mass, age and timing of first breeding.

Temporal dynamics of polar bear (<i>Ursus maritimus</i>) pregnancy rates in western Hudson Bay: influence of mass, age and timing of first breeding.

Temporal dynamics of polar bear (<i>Ursus maritimus</i>) pregnancy rates in western Hudson Bay: influence of mass, age and timing of first breeding.

Temporal dynamics of polar bear (Ursus maritimus) pregnancy rates in western Hudson Bay: influence of mass, age and timing of first breeding.

Reproduction is the most energetically costly undertaking for female mammals and for capital breeders. Understanding factors that influence individual body condition and reproductive success is essential to understanding population demography. We investigated long-term trends in pregnancy rates to assess the impacts of individual and environmental factors on polar bear reproduction. Pregnancy status was determined from serum progesterone levels in blood collected from free-ranging polar bears captured on shore in late summer to early autumn in western Hudson Bay, Canada. We analysed 541 blood samples for progesterone level from 441 individuals from 1991 to 2021 and compared to data from 1982 to 1990 (354 individuals from 476 occasions). We used a generalized linear model to investigate individual and environmental factors that could influence pregnancy rates. The percent of solitary females that were pregnant declined significantly over time and between time periods from 85% in 1982-90 to 73% in 1991-2021. Interannual variation in pregnancy was high, ranging from 46 to 100%. Pregnancy rates were influenced by mass and age, with higher pregnancy rates for heavier females and those >4 and <24 years old. The percentage of pregnant 4-year-old females declined from 82% in 1982-90 to 55% in 1991-2021. The mass of pregnant females declined over time and the lightest pregnant female known to have produced cubs weighed 196 kg in the autumn. We suggest further research is needed to understand mechanisms resulting in pregnancy rate variation, which may be related to previous reproductive status and recent litter loss.

求助全文
通过发布文献求助,成功后即可免费获取论文全文。 去求助
来源期刊
Conservation Physiology
Conservation Physiology Environmental Science-Management, Monitoring, Policy and Law
CiteScore
5.10
自引率
3.70%
发文量
71
审稿时长
11 weeks
期刊介绍: Conservation Physiology is an online only, fully open access journal published on behalf of the Society for Experimental Biology. Biodiversity across the globe faces a growing number of threats associated with human activities. Conservation Physiology will publish research on all taxa (microbes, plants and animals) focused on understanding and predicting how organisms, populations, ecosystems and natural resources respond to environmental change and stressors. Physiology is considered in the broadest possible terms to include functional and mechanistic responses at all scales. We also welcome research towards developing and refining strategies to rebuild populations, restore ecosystems, inform conservation policy, and manage living resources. We define conservation physiology broadly and encourage potential authors to contact the editorial team if they have any questions regarding the remit of the journal.
×
引用
GB/T 7714-2015
复制
MLA
复制
APA
复制
导出至
BibTeX EndNote RefMan NoteFirst NoteExpress
×
提示
您的信息不完整,为了账户安全,请先补充。
现在去补充
×
提示
您因"违规操作"
具体请查看互助需知
我知道了
×
提示
确定
请完成安全验证×
copy
已复制链接
快去分享给好友吧!
我知道了
右上角分享
点击右上角分享
0
联系我们:info@booksci.cn Book学术提供免费学术资源搜索服务,方便国内外学者检索中英文文献。致力于提供最便捷和优质的服务体验。 Copyright © 2023 布克学术 All rights reserved.
京ICP备2023020795号-1
ghs 京公网安备 11010802042870号
Book学术文献互助
Book学术文献互助群
群 号:604180095
Book学术官方微信