巴西西部亚马逊地区布兰科市摩托车司机工作时睡眠时间与能量消耗:一项横断面研究。

IF 0.8 Q4 PUBLIC, ENVIRONMENTAL & OCCUPATIONAL HEALTH
Orivaldo F de Souza, Narjara C de Araújo, Elyecleyde K da Silva Oliveira, Edson Dos Santos Farias, Francisco N C Leitão, Luiz C de Abreu
{"title":"巴西西部亚马逊地区布兰科市摩托车司机工作时睡眠时间与能量消耗:一项横断面研究。","authors":"Orivaldo F de Souza, Narjara C de Araújo, Elyecleyde K da Silva Oliveira, Edson Dos Santos Farias, Francisco N C Leitão, Luiz C de Abreu","doi":"10.4103/ijoem.ijoem_229_24","DOIUrl":null,"url":null,"abstract":"<p><strong>Background: </strong>Sleep duration disorders impact the quality of life and energy expenditure in workers. However, there is a lack of understanding about the relationship between sleep duration and energy expenditure at work among motorcycle taxi drivers.</p><p><strong>Aims: </strong>To analyze the relationship between sleep duration and energy expenditure at work in motorcycle taxi drivers.</p><p><strong>Settings and design: </strong>A cross-sectional study was conducted with 296 male motorcycle taxi drivers from Rio Branco City, western Brazilian Amazon. Methods and Material: The motorcycle taxi driver reported the number of hours daily spent sleeping on a typical day during the week. Uncorrected and corrected energy expenditures of motorcycle taxi drivers during the working day were calculated according to the 2011 Physical Activity Compendium. The metabolic equivalent (MET) was corrected for the basal metabolic rate using the equation proposed by Harris and Benedict.</p><p><strong>Statistical analysis: </strong>The relationship between sleep duration and energy expenditure at work was analyzed using fractional polynomial regression.</p><p><strong>Results: </strong>The mean sleep duration in hours was 7.4 (SD: 1.4). There was a relationship between sleep duration and corrected energy expenditure at work, with a first-degree logarithmic transformation. The nonlinear relationship between sleep duration and uncorrected energy expenditure at work was a fractional polynomial with a power of -0.5 for the first degree.</p><p><strong>Conclusions: </strong>The results suggest a nonlinear relationship between sleep duration and energy expenditure at work among motorcycle taxi drivers. Motorcycle taxi drivers with short sleep durations had high energy expenditures at work.</p>","PeriodicalId":43585,"journal":{"name":"Indian Journal of Occupational and Environmental Medicine","volume":"29 2","pages":"91-95"},"PeriodicalIF":0.8000,"publicationDate":"2025-04-01","publicationTypes":"Journal Article","fieldsOfStudy":null,"isOpenAccess":false,"openAccessPdf":"https://www.ncbi.nlm.nih.gov/pmc/articles/PMC12318551/pdf/","citationCount":"0","resultStr":"{\"title\":\"Sleep Duration and Energy Expenditure at Work in Motorcycle Taxi Drivers from Rio Branco City, Western Brazilian Amazon: A Cross-Sectional Study.\",\"authors\":\"Orivaldo F de Souza, Narjara C de Araújo, Elyecleyde K da Silva Oliveira, Edson Dos Santos Farias, Francisco N C Leitão, Luiz C de Abreu\",\"doi\":\"10.4103/ijoem.ijoem_229_24\",\"DOIUrl\":null,\"url\":null,\"abstract\":\"<p><strong>Background: </strong>Sleep duration disorders impact the quality of life and energy expenditure in workers. However, there is a lack of understanding about the relationship between sleep duration and energy expenditure at work among motorcycle taxi drivers.</p><p><strong>Aims: </strong>To analyze the relationship between sleep duration and energy expenditure at work in motorcycle taxi drivers.</p><p><strong>Settings and design: </strong>A cross-sectional study was conducted with 296 male motorcycle taxi drivers from Rio Branco City, western Brazilian Amazon. Methods and Material: The motorcycle taxi driver reported the number of hours daily spent sleeping on a typical day during the week. Uncorrected and corrected energy expenditures of motorcycle taxi drivers during the working day were calculated according to the 2011 Physical Activity Compendium. The metabolic equivalent (MET) was corrected for the basal metabolic rate using the equation proposed by Harris and Benedict.</p><p><strong>Statistical analysis: </strong>The relationship between sleep duration and energy expenditure at work was analyzed using fractional polynomial regression.</p><p><strong>Results: </strong>The mean sleep duration in hours was 7.4 (SD: 1.4). There was a relationship between sleep duration and corrected energy expenditure at work, with a first-degree logarithmic transformation. The nonlinear relationship between sleep duration and uncorrected energy expenditure at work was a fractional polynomial with a power of -0.5 for the first degree.</p><p><strong>Conclusions: </strong>The results suggest a nonlinear relationship between sleep duration and energy expenditure at work among motorcycle taxi drivers. Motorcycle taxi drivers with short sleep durations had high energy expenditures at work.</p>\",\"PeriodicalId\":43585,\"journal\":{\"name\":\"Indian Journal of Occupational and Environmental Medicine\",\"volume\":\"29 2\",\"pages\":\"91-95\"},\"PeriodicalIF\":0.8000,\"publicationDate\":\"2025-04-01\",\"publicationTypes\":\"Journal Article\",\"fieldsOfStudy\":null,\"isOpenAccess\":false,\"openAccessPdf\":\"https://www.ncbi.nlm.nih.gov/pmc/articles/PMC12318551/pdf/\",\"citationCount\":\"0\",\"resultStr\":null,\"platform\":\"Semanticscholar\",\"paperid\":null,\"PeriodicalName\":\"Indian Journal of Occupational and Environmental Medicine\",\"FirstCategoryId\":\"1085\",\"ListUrlMain\":\"https://doi.org/10.4103/ijoem.ijoem_229_24\",\"RegionNum\":0,\"RegionCategory\":null,\"ArticlePicture\":[],\"TitleCN\":null,\"AbstractTextCN\":null,\"PMCID\":null,\"EPubDate\":\"2025/5/26 0:00:00\",\"PubModel\":\"Epub\",\"JCR\":\"Q4\",\"JCRName\":\"PUBLIC, ENVIRONMENTAL & OCCUPATIONAL HEALTH\",\"Score\":null,\"Total\":0}","platform":"Semanticscholar","paperid":null,"PeriodicalName":"Indian Journal of Occupational and Environmental Medicine","FirstCategoryId":"1085","ListUrlMain":"https://doi.org/10.4103/ijoem.ijoem_229_24","RegionNum":0,"RegionCategory":null,"ArticlePicture":[],"TitleCN":null,"AbstractTextCN":null,"PMCID":null,"EPubDate":"2025/5/26 0:00:00","PubModel":"Epub","JCR":"Q4","JCRName":"PUBLIC, ENVIRONMENTAL & OCCUPATIONAL HEALTH","Score":null,"Total":0}
引用次数: 0

摘要

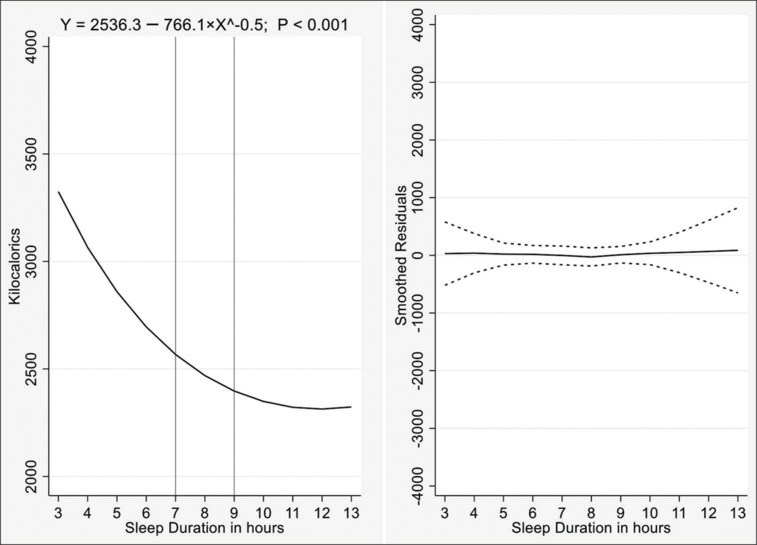
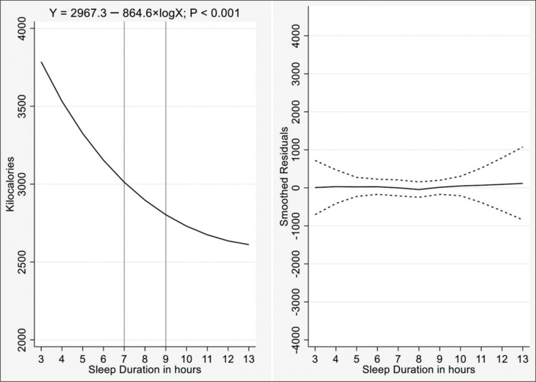
背景:睡眠持续时间障碍影响工人的生活质量和能量消耗。然而,人们对摩的司机睡眠时间与工作时能量消耗之间的关系缺乏了解。目的:分析摩的司机睡眠时间与工作时能量消耗的关系。背景与设计:对巴西西部亚马逊地区布兰科市296名男性摩的司机进行横断面研究。方法和材料:摩托车出租车司机报告了一周中典型的一天每天睡觉的小时数。根据2011年《身体活动纲要》计算摩的司机工作日内未校正和校正后的能量消耗。使用Harris和Benedict提出的公式对基础代谢率的代谢当量(MET)进行了校正。统计分析:采用分数多项式回归分析睡眠时间与工作时能量消耗的关系。结果:平均睡眠时间7.4小时(SD: 1.4)。睡眠时间与校正后的工作能量消耗之间存在一种一级对数变换关系。睡眠时间与工作中未校正的能量消耗之间的非线性关系是一个分数阶多项式,一次幂为-0.5。结论:摩的司机睡眠时间与工作能量消耗之间存在非线性关系。睡眠时间短的摩的司机在工作时能量消耗高。
本文章由计算机程序翻译,如有差异,请以英文原文为准。

Sleep Duration and Energy Expenditure at Work in Motorcycle Taxi Drivers from Rio Branco City, Western Brazilian Amazon: A Cross-Sectional Study.

Sleep Duration and Energy Expenditure at Work in Motorcycle Taxi Drivers from Rio Branco City, Western Brazilian Amazon: A Cross-Sectional Study.

Sleep Duration and Energy Expenditure at Work in Motorcycle Taxi Drivers from Rio Branco City, Western Brazilian Amazon: A Cross-Sectional Study.

Background: Sleep duration disorders impact the quality of life and energy expenditure in workers. However, there is a lack of understanding about the relationship between sleep duration and energy expenditure at work among motorcycle taxi drivers.

Aims: To analyze the relationship between sleep duration and energy expenditure at work in motorcycle taxi drivers.

Settings and design: A cross-sectional study was conducted with 296 male motorcycle taxi drivers from Rio Branco City, western Brazilian Amazon. Methods and Material: The motorcycle taxi driver reported the number of hours daily spent sleeping on a typical day during the week. Uncorrected and corrected energy expenditures of motorcycle taxi drivers during the working day were calculated according to the 2011 Physical Activity Compendium. The metabolic equivalent (MET) was corrected for the basal metabolic rate using the equation proposed by Harris and Benedict.

Statistical analysis: The relationship between sleep duration and energy expenditure at work was analyzed using fractional polynomial regression.

Results: The mean sleep duration in hours was 7.4 (SD: 1.4). There was a relationship between sleep duration and corrected energy expenditure at work, with a first-degree logarithmic transformation. The nonlinear relationship between sleep duration and uncorrected energy expenditure at work was a fractional polynomial with a power of -0.5 for the first degree.

Conclusions: The results suggest a nonlinear relationship between sleep duration and energy expenditure at work among motorcycle taxi drivers. Motorcycle taxi drivers with short sleep durations had high energy expenditures at work.

求助全文
通过发布文献求助,成功后即可免费获取论文全文。 去求助
来源期刊
Indian Journal of Occupational and Environmental Medicine
Indian Journal of Occupational and Environmental Medicine PUBLIC, ENVIRONMENTAL & OCCUPATIONAL HEALTH-
CiteScore
1.60
自引率
0.00%
发文量
25
期刊介绍: The website of Indian Journal of Occupational and Environmental Medicine aims to make the printed version of the journal available to the scientific community on the web. The site is purely for educational purpose of the medical community. The site does not cater to the needs of individual patients and is designed to support, not replace, the relationship that exists between a patient/site visitor and his/her existing physician.
×
引用
GB/T 7714-2015
复制
MLA
复制
APA
复制
导出至
BibTeX EndNote RefMan NoteFirst NoteExpress
×
提示
您的信息不完整,为了账户安全,请先补充。
现在去补充
×
提示
您因"违规操作"
具体请查看互助需知
我知道了
×
提示
确定
请完成安全验证×
copy
已复制链接
快去分享给好友吧!
我知道了
右上角分享
点击右上角分享
0
联系我们:info@booksci.cn Book学术提供免费学术资源搜索服务,方便国内外学者检索中英文文献。致力于提供最便捷和优质的服务体验。 Copyright © 2023 布克学术 All rights reserved.
京ICP备2023020795号-1
ghs 京公网安备 11010802042870号
Book学术文献互助
Book学术文献互助群
群 号:604180095
Book学术官方微信