肾脏超声分析的自然语言处理:与慢性肾脏疾病诊断相关的影像报告。

IF 3 3区 医学 Q1 UROLOGY & NEPHROLOGY
Renal Failure Pub Date : 2025-12-01 Epub Date: 2025-08-04 DOI:10.1080/0886022X.2025.2539938
Chenlu Wang, Ritwik Banerjee, Harry Kuperstein, Hamza Malick, Ruqiyya Bano, Robin L Cunningham, Hira Tahir, Priyal Sakhuja, Janos Hajagos, Farrukh M Koraishy
{"title":"肾脏超声分析的自然语言处理:与慢性肾脏疾病诊断相关的影像报告。","authors":"Chenlu Wang, Ritwik Banerjee, Harry Kuperstein, Hamza Malick, Ruqiyya Bano, Robin L Cunningham, Hira Tahir, Priyal Sakhuja, Janos Hajagos, Farrukh M Koraishy","doi":"10.1080/0886022X.2025.2539938","DOIUrl":null,"url":null,"abstract":"<p><strong>Introduction: </strong>Natural language processing (NLP) has been used to analyze unstructured imaging report data, yet its application in identifying chronic kidney disease (CKD) features from kidney ultrasound reports remains unexplored.</p><p><strong>Methods: </strong>In a single-center pilot study, we analyzed 1,068 kidney ultrasound reports using NLP techniques. To identify kidney echogenicity as either \"normal\" or \"increased,\" we used two methods: one that looks at individual words and another that analyzes full sentences. Kidney length was identified as \"small\" if its length was below the 10th percentile. Nephrologists reviewed 100 randomly selected reports to create the reference standard (ground truth) for initial model training followed by model validation on an independent set of 100 reports.</p><p><strong>Results: </strong>The word-level NLP model outperformed the sentence-level approach in classifying increased echogenicity (accuracy: 0.96 vs. 0.89 for the left kidney; 0.97 vs. 0.92 for the right kidney). This model was then applied to the full dataset to assess associations with CKD. Multivariable logistic regression identified bilaterally increased echogenicity as the strongest predictor of CKD (odds ratio [OR] = 7.642, 95% confidence interval [CI]: 4.887-11.949; <i>p</i> < 0.0001), followed by bilaterally small kidneys (OR = 4.981 [1.522, 16.300]; <i>p</i> = 0.008). Among individuals without CKD, those with bilaterally increased echogenicity had significantly lower kidney function than those with normal echogenicity.</p><p><strong>Conclusions: </strong>State-of-the-art NLP models can accurately extract CKD-related features from ultrasound reports, with the potential of providing a scalable tool for early detection and risk stratification. Future research should focus on validating these models across different healthcare systems.</p>","PeriodicalId":20839,"journal":{"name":"Renal Failure","volume":"47 1","pages":"2539938"},"PeriodicalIF":3.0000,"publicationDate":"2025-12-01","publicationTypes":"Journal Article","fieldsOfStudy":null,"isOpenAccess":false,"openAccessPdf":"https://www.ncbi.nlm.nih.gov/pmc/articles/PMC12322987/pdf/","citationCount":"0","resultStr":"{\"title\":\"Natural language processing for kidney ultrasound analysis: correlating imaging reports with chronic kidney disease diagnosis.\",\"authors\":\"Chenlu Wang, Ritwik Banerjee, Harry Kuperstein, Hamza Malick, Ruqiyya Bano, Robin L Cunningham, Hira Tahir, Priyal Sakhuja, Janos Hajagos, Farrukh M Koraishy\",\"doi\":\"10.1080/0886022X.2025.2539938\",\"DOIUrl\":null,\"url\":null,\"abstract\":\"<p><strong>Introduction: </strong>Natural language processing (NLP) has been used to analyze unstructured imaging report data, yet its application in identifying chronic kidney disease (CKD) features from kidney ultrasound reports remains unexplored.</p><p><strong>Methods: </strong>In a single-center pilot study, we analyzed 1,068 kidney ultrasound reports using NLP techniques. To identify kidney echogenicity as either \\\"normal\\\" or \\\"increased,\\\" we used two methods: one that looks at individual words and another that analyzes full sentences. Kidney length was identified as \\\"small\\\" if its length was below the 10th percentile. Nephrologists reviewed 100 randomly selected reports to create the reference standard (ground truth) for initial model training followed by model validation on an independent set of 100 reports.</p><p><strong>Results: </strong>The word-level NLP model outperformed the sentence-level approach in classifying increased echogenicity (accuracy: 0.96 vs. 0.89 for the left kidney; 0.97 vs. 0.92 for the right kidney). This model was then applied to the full dataset to assess associations with CKD. Multivariable logistic regression identified bilaterally increased echogenicity as the strongest predictor of CKD (odds ratio [OR] = 7.642, 95% confidence interval [CI]: 4.887-11.949; <i>p</i> < 0.0001), followed by bilaterally small kidneys (OR = 4.981 [1.522, 16.300]; <i>p</i> = 0.008). Among individuals without CKD, those with bilaterally increased echogenicity had significantly lower kidney function than those with normal echogenicity.</p><p><strong>Conclusions: </strong>State-of-the-art NLP models can accurately extract CKD-related features from ultrasound reports, with the potential of providing a scalable tool for early detection and risk stratification. Future research should focus on validating these models across different healthcare systems.</p>\",\"PeriodicalId\":20839,\"journal\":{\"name\":\"Renal Failure\",\"volume\":\"47 1\",\"pages\":\"2539938\"},\"PeriodicalIF\":3.0000,\"publicationDate\":\"2025-12-01\",\"publicationTypes\":\"Journal Article\",\"fieldsOfStudy\":null,\"isOpenAccess\":false,\"openAccessPdf\":\"https://www.ncbi.nlm.nih.gov/pmc/articles/PMC12322987/pdf/\",\"citationCount\":\"0\",\"resultStr\":null,\"platform\":\"Semanticscholar\",\"paperid\":null,\"PeriodicalName\":\"Renal Failure\",\"FirstCategoryId\":\"3\",\"ListUrlMain\":\"https://doi.org/10.1080/0886022X.2025.2539938\",\"RegionNum\":3,\"RegionCategory\":\"医学\",\"ArticlePicture\":[],\"TitleCN\":null,\"AbstractTextCN\":null,\"PMCID\":null,\"EPubDate\":\"2025/8/4 0:00:00\",\"PubModel\":\"Epub\",\"JCR\":\"Q1\",\"JCRName\":\"UROLOGY & NEPHROLOGY\",\"Score\":null,\"Total\":0}","platform":"Semanticscholar","paperid":null,"PeriodicalName":"Renal Failure","FirstCategoryId":"3","ListUrlMain":"https://doi.org/10.1080/0886022X.2025.2539938","RegionNum":3,"RegionCategory":"医学","ArticlePicture":[],"TitleCN":null,"AbstractTextCN":null,"PMCID":null,"EPubDate":"2025/8/4 0:00:00","PubModel":"Epub","JCR":"Q1","JCRName":"UROLOGY & NEPHROLOGY","Score":null,"Total":0}
引用次数: 0

摘要

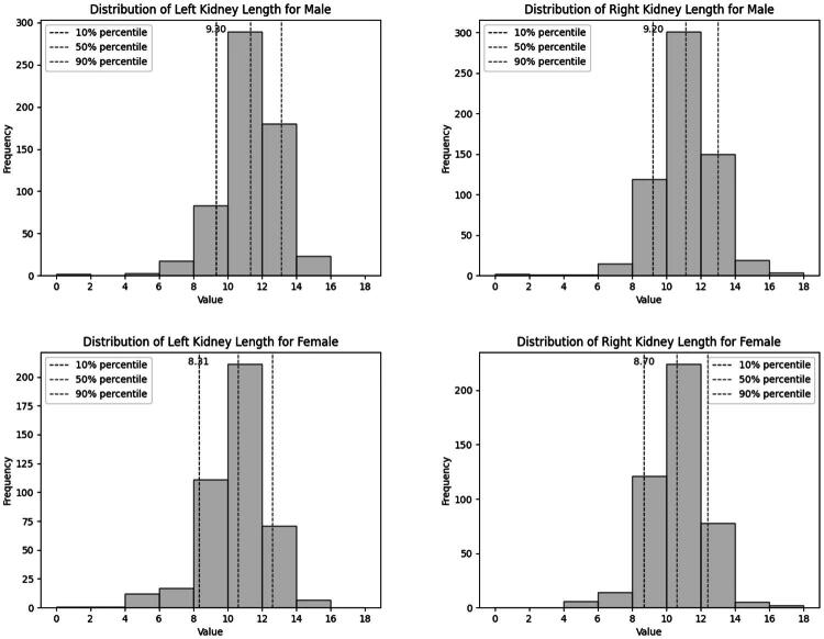
自然语言处理(NLP)已被用于分析非结构化成像报告数据,但其在从肾脏超声报告中识别慢性肾脏疾病(CKD)特征方面的应用仍未探索。方法:在一项单中心试点研究中,我们分析了1068例使用NLP技术的肾脏超声报告。为了确定肾脏回声是“正常”还是“增强”,我们使用了两种方法:一种是观察单个单词,另一种是分析整个句子。如果肾脏长度低于第10个百分位数,则确定为“小”。肾病学家回顾了100份随机选择的报告,为最初的模型训练创建参考标准(基础事实),然后在100份独立的报告上进行模型验证。结果:单词水平的NLP模型在分类增强回声性方面优于句子水平的方法(准确率:0.96比0.89左肾;右肾0.97 vs 0.92)。然后将该模型应用于完整数据集以评估与CKD的关联。多变量logistic回归发现双侧回声增强是CKD的最强预测因子(优势比[OR] = 7.642, 95%可信区间[CI]: 4.887-11.949;p = 0.008)。在无CKD的个体中,双侧回声增强者肾功能明显低于回声正常者。结论:最先进的NLP模型可以准确地从超声报告中提取ckd相关特征,具有提供早期发现和风险分层的可扩展工具的潜力。未来的研究应侧重于在不同的医疗保健系统中验证这些模型。
本文章由计算机程序翻译,如有差异,请以英文原文为准。

Natural language processing for kidney ultrasound analysis: correlating imaging reports with chronic kidney disease diagnosis.

Natural language processing for kidney ultrasound analysis: correlating imaging reports with chronic kidney disease diagnosis.

Natural language processing for kidney ultrasound analysis: correlating imaging reports with chronic kidney disease diagnosis.

Natural language processing for kidney ultrasound analysis: correlating imaging reports with chronic kidney disease diagnosis.

Introduction: Natural language processing (NLP) has been used to analyze unstructured imaging report data, yet its application in identifying chronic kidney disease (CKD) features from kidney ultrasound reports remains unexplored.

Methods: In a single-center pilot study, we analyzed 1,068 kidney ultrasound reports using NLP techniques. To identify kidney echogenicity as either "normal" or "increased," we used two methods: one that looks at individual words and another that analyzes full sentences. Kidney length was identified as "small" if its length was below the 10th percentile. Nephrologists reviewed 100 randomly selected reports to create the reference standard (ground truth) for initial model training followed by model validation on an independent set of 100 reports.

Results: The word-level NLP model outperformed the sentence-level approach in classifying increased echogenicity (accuracy: 0.96 vs. 0.89 for the left kidney; 0.97 vs. 0.92 for the right kidney). This model was then applied to the full dataset to assess associations with CKD. Multivariable logistic regression identified bilaterally increased echogenicity as the strongest predictor of CKD (odds ratio [OR] = 7.642, 95% confidence interval [CI]: 4.887-11.949; p < 0.0001), followed by bilaterally small kidneys (OR = 4.981 [1.522, 16.300]; p = 0.008). Among individuals without CKD, those with bilaterally increased echogenicity had significantly lower kidney function than those with normal echogenicity.

Conclusions: State-of-the-art NLP models can accurately extract CKD-related features from ultrasound reports, with the potential of providing a scalable tool for early detection and risk stratification. Future research should focus on validating these models across different healthcare systems.

求助全文
通过发布文献求助,成功后即可免费获取论文全文。 去求助
来源期刊
Renal Failure
Renal Failure 医学-泌尿学与肾脏学
CiteScore
3.90
自引率
13.30%
发文量
374
审稿时长
1 months
期刊介绍: Renal Failure primarily concentrates on acute renal injury and its consequence, but also addresses advances in the fields of chronic renal failure, hypertension, and renal transplantation. Bringing together both clinical and experimental aspects of renal failure, this publication presents timely, practical information on pathology and pathophysiology of acute renal failure; nephrotoxicity of drugs and other substances; prevention, treatment, and therapy of renal failure; renal failure in association with transplantation, hypertension, and diabetes mellitus.
×
引用
GB/T 7714-2015
复制
MLA
复制
APA
复制
导出至
BibTeX EndNote RefMan NoteFirst NoteExpress
×
提示
您的信息不完整,为了账户安全,请先补充。
现在去补充
×
提示
您因"违规操作"
具体请查看互助需知
我知道了
×
提示
确定
请完成安全验证×
copy
已复制链接
快去分享给好友吧!
我知道了
右上角分享
点击右上角分享
0
联系我们:info@booksci.cn Book学术提供免费学术资源搜索服务,方便国内外学者检索中英文文献。致力于提供最便捷和优质的服务体验。 Copyright © 2023 布克学术 All rights reserved.
京ICP备2023020795号-1
ghs 京公网安备 11010802042870号
Book学术文献互助
Book学术文献互助群
群 号:604180095
Book学术官方微信