椎盂病变患者全髋关节置换术中髋臼杯放置的新型“个性化安全区域”:概念、构建和临床应用。

IF 2.1 2区 医学 Q2 ORTHOPEDICS
Orthopaedic Surgery Pub Date : 2025-09-01 Epub Date: 2025-08-05 DOI:10.1111/os.70129
Xiaoyu Wan, Tao Li, Jinsong Liu, Jun Luo, Zengrui Zhang, Wenqian Xu, Zhiguang Chen, Jiawen Xia, Yingxing Xu
{"title":"椎盂病变患者全髋关节置换术中髋臼杯放置的新型“个性化安全区域”:概念、构建和临床应用。","authors":"Xiaoyu Wan, Tao Li, Jinsong Liu, Jun Luo, Zengrui Zhang, Wenqian Xu, Zhiguang Chen, Jiawen Xia, Yingxing Xu","doi":"10.1111/os.70129","DOIUrl":null,"url":null,"abstract":"<p><strong>Objective: </strong>A higher risk of dislocation was still found in patients with spinopelvic disorders, despite the acetabular cup was placed within the classical \"Lewinnek safe zone.\" This study aimed to reveal the risk factors of acetabular cup placement during total hip arthroplasty (THA) in patients with spinopelvic pathology, construct and validate a novel \"Personalized Safe Zone\" based on the Hip-Spine Classification System (HSCS) to reduce the prosthetic impingement and dislocation in these patients.</p><p><strong>Methods: </strong>One retrospective study was conducted on patients with spinopelvic pathologies underwent the primary THA admitted to the First Affiliated Hospital of Kunming Medical University from January 2017 and May 2023. According to the inclusion and exclusion criteria, the general information (Age, gender, Primary disease, Side, BMI) and radiological parameters of patients were collected, including spinal parameters (pelvic incidence [PI], pelvic tilt [PT], sacral slope [SS], lumbar lordosis angle [LL], sagittal vertical axis, thoracic kyphosis angle, cobb angle), pelvic parameters (cup inclination [CI], cup anteversion [CA], disparity in bilateral femoral offset), and spinopelvic parameters (absolute value of PI minus LL [|PI-LL|], change of sacral slope [ΔSS], combined sagittal index [CSI]). The correlation between the above parameters and prosthesis dislocation after THA was assessed and a clinical prediction model was constructed by R language. Subsequently, the ranges of \"Personalized Safe Zone\" for the acetabular cup placement in the four subgroups classified by the HSCS, were defined as the mean ± standard deviation of CA and CI in each nondislocation subgroup, and were validated by a cohort study.</p><p><strong>Results: </strong>There were correlations between ΔSS, |PI-LL|, CA, standing CSI and anterior dislocation, ΔSS, |PI-LL|, CA, sitting CSI and posterior dislocation. The ranges of \"Personalized Safe Zone\" in each subgroup were as follows: 1A (CA = 14.11° ± 4.57°, CI = 38.65° ± 6.32°), 1B (CA = 17.23° ± 3.15°, CI = 38.19° ± 5.45°), 2A (CA = 15.76° ± 4.08°, CI = 38.95° ± 6.21°), 2B (CA = 19.50° ± 3.73°, CI = 39.50° ± 6.48°). Moreover, a significant reduction in prosthesis dislocation and impingement was investigated, when the acetabular cup was placed according to the \"Personalized Safe Zone.\"</p><p><strong>Conclusions: </strong>These parameters, including ΔSS, |PI-LL|, CA, CSI should be fully considered when placing acetabular cup during THA and the novel \"Personalized Safe Zone\" could reduce the dislocation and prosthetic impingement after THA in patients with spinopelvic pathology.</p>","PeriodicalId":19566,"journal":{"name":"Orthopaedic Surgery","volume":" ","pages":"2596-2607"},"PeriodicalIF":2.1000,"publicationDate":"2025-09-01","publicationTypes":"Journal Article","fieldsOfStudy":null,"isOpenAccess":false,"openAccessPdf":"https://www.ncbi.nlm.nih.gov/pmc/articles/PMC12404877/pdf/","citationCount":"0","resultStr":"{\"title\":\"A Novel \\\"Personalized Safe Zone\\\" for Acetabular Cup Placement During Total Hip Arthroplasty in Patients With Spinopelvic Pathology: Concept, Construction, and Clinical Application.\",\"authors\":\"Xiaoyu Wan, Tao Li, Jinsong Liu, Jun Luo, Zengrui Zhang, Wenqian Xu, Zhiguang Chen, Jiawen Xia, Yingxing Xu\",\"doi\":\"10.1111/os.70129\",\"DOIUrl\":null,\"url\":null,\"abstract\":\"<p><strong>Objective: </strong>A higher risk of dislocation was still found in patients with spinopelvic disorders, despite the acetabular cup was placed within the classical \\\"Lewinnek safe zone.\\\" This study aimed to reveal the risk factors of acetabular cup placement during total hip arthroplasty (THA) in patients with spinopelvic pathology, construct and validate a novel \\\"Personalized Safe Zone\\\" based on the Hip-Spine Classification System (HSCS) to reduce the prosthetic impingement and dislocation in these patients.</p><p><strong>Methods: </strong>One retrospective study was conducted on patients with spinopelvic pathologies underwent the primary THA admitted to the First Affiliated Hospital of Kunming Medical University from January 2017 and May 2023. According to the inclusion and exclusion criteria, the general information (Age, gender, Primary disease, Side, BMI) and radiological parameters of patients were collected, including spinal parameters (pelvic incidence [PI], pelvic tilt [PT], sacral slope [SS], lumbar lordosis angle [LL], sagittal vertical axis, thoracic kyphosis angle, cobb angle), pelvic parameters (cup inclination [CI], cup anteversion [CA], disparity in bilateral femoral offset), and spinopelvic parameters (absolute value of PI minus LL [|PI-LL|], change of sacral slope [ΔSS], combined sagittal index [CSI]). The correlation between the above parameters and prosthesis dislocation after THA was assessed and a clinical prediction model was constructed by R language. Subsequently, the ranges of \\\"Personalized Safe Zone\\\" for the acetabular cup placement in the four subgroups classified by the HSCS, were defined as the mean ± standard deviation of CA and CI in each nondislocation subgroup, and were validated by a cohort study.</p><p><strong>Results: </strong>There were correlations between ΔSS, |PI-LL|, CA, standing CSI and anterior dislocation, ΔSS, |PI-LL|, CA, sitting CSI and posterior dislocation. The ranges of \\\"Personalized Safe Zone\\\" in each subgroup were as follows: 1A (CA = 14.11° ± 4.57°, CI = 38.65° ± 6.32°), 1B (CA = 17.23° ± 3.15°, CI = 38.19° ± 5.45°), 2A (CA = 15.76° ± 4.08°, CI = 38.95° ± 6.21°), 2B (CA = 19.50° ± 3.73°, CI = 39.50° ± 6.48°). Moreover, a significant reduction in prosthesis dislocation and impingement was investigated, when the acetabular cup was placed according to the \\\"Personalized Safe Zone.\\\"</p><p><strong>Conclusions: </strong>These parameters, including ΔSS, |PI-LL|, CA, CSI should be fully considered when placing acetabular cup during THA and the novel \\\"Personalized Safe Zone\\\" could reduce the dislocation and prosthetic impingement after THA in patients with spinopelvic pathology.</p>\",\"PeriodicalId\":19566,\"journal\":{\"name\":\"Orthopaedic Surgery\",\"volume\":\" \",\"pages\":\"2596-2607\"},\"PeriodicalIF\":2.1000,\"publicationDate\":\"2025-09-01\",\"publicationTypes\":\"Journal Article\",\"fieldsOfStudy\":null,\"isOpenAccess\":false,\"openAccessPdf\":\"https://www.ncbi.nlm.nih.gov/pmc/articles/PMC12404877/pdf/\",\"citationCount\":\"0\",\"resultStr\":null,\"platform\":\"Semanticscholar\",\"paperid\":null,\"PeriodicalName\":\"Orthopaedic Surgery\",\"FirstCategoryId\":\"3\",\"ListUrlMain\":\"https://doi.org/10.1111/os.70129\",\"RegionNum\":2,\"RegionCategory\":\"医学\",\"ArticlePicture\":[],\"TitleCN\":null,\"AbstractTextCN\":null,\"PMCID\":null,\"EPubDate\":\"2025/8/5 0:00:00\",\"PubModel\":\"Epub\",\"JCR\":\"Q2\",\"JCRName\":\"ORTHOPEDICS\",\"Score\":null,\"Total\":0}","platform":"Semanticscholar","paperid":null,"PeriodicalName":"Orthopaedic Surgery","FirstCategoryId":"3","ListUrlMain":"https://doi.org/10.1111/os.70129","RegionNum":2,"RegionCategory":"医学","ArticlePicture":[],"TitleCN":null,"AbstractTextCN":null,"PMCID":null,"EPubDate":"2025/8/5 0:00:00","PubModel":"Epub","JCR":"Q2","JCRName":"ORTHOPEDICS","Score":null,"Total":0}
引用次数: 0

摘要

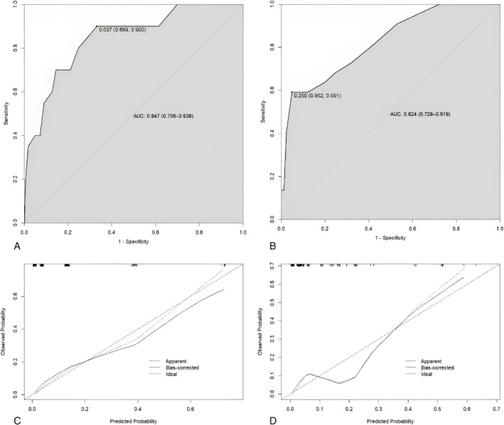
目的:尽管髋臼杯放置在经典的“Lewinnek安全区域”内,但脊柱骨盆疾病患者脱位的风险仍然较高。本研究旨在揭示脊柱-骨盆病变患者全髋关节置换术(THA)中髋臼杯置入术的危险因素,构建并验证基于髋-脊柱分类系统(HSCS)的新型“个性化安全区域”,以减少这些患者的假体撞击和脱位。方法:回顾性分析昆明医科大学第一附属医院2017年1月至2023年5月收治的脊柱盆腔病变行原发性THA的患者。根据纳入和排除标准,收集患者的一般信息(年龄、性别、原发疾病、侧位、BMI)和影像学参数,包括脊柱参数(骨盆发生率[PI]、骨盆倾斜[PT]、骶骨坡度[SS]、腰椎前凸角[LL]、矢状垂直轴、胸后凸角、cobb角)、骨盆参数(杯倾角[CI]、杯前倾[CA]、双侧股偏差)。脊柱骨盆参数(PI-LL绝对值[|PI-LL|],骶骨斜率变化[ΔSS],联合矢状指数[CSI])。评估上述参数与人工髋关节置换术后假体脱位的相关性,并利用R语言构建临床预测模型。随后,将HSCS分类的四个亚组髋臼杯置入的“个性化安全区”范围定义为每个非脱位亚组CA和CI的平均值±标准差,并通过队列研究进行验证。结果:ΔSS、|PI-LL|、CA、站立型CSI与前位脱位,ΔSS、|PI-LL|、CA、坐位型CSI与后位脱位存在相关性。“个性化安全区”的范围在每个子群如下:1 (CA = 14.11°±4.57°,CI = 38.65°±6.32°),1 b (CA = 17.23°±3.15°,CI = 38.19°±5.45°),2 (CA = 15.76°±4.08°,CI = 38.95°±6.21°),2 b (CA = 19.50°±3.73°,CI = 39.50°±6.48°)。此外,当髋臼杯按照“个性化安全区域”放置时,调查了假体脱位和撞击的显著减少。结论:髋关节置换术中放置髋臼杯时应充分考虑ΔSS、|PI-LL|、CA、CSI等参数,新型“个性化安全区”可减少脊柱盆腔病变患者髋关节置换术后脱位和假体撞击。
本文章由计算机程序翻译,如有差异,请以英文原文为准。

A Novel "Personalized Safe Zone" for Acetabular Cup Placement During Total Hip Arthroplasty in Patients With Spinopelvic Pathology: Concept, Construction, and Clinical Application.

A Novel "Personalized Safe Zone" for Acetabular Cup Placement During Total Hip Arthroplasty in Patients With Spinopelvic Pathology: Concept, Construction, and Clinical Application.

A Novel "Personalized Safe Zone" for Acetabular Cup Placement During Total Hip Arthroplasty in Patients With Spinopelvic Pathology: Concept, Construction, and Clinical Application.

A Novel "Personalized Safe Zone" for Acetabular Cup Placement During Total Hip Arthroplasty in Patients With Spinopelvic Pathology: Concept, Construction, and Clinical Application.

Objective: A higher risk of dislocation was still found in patients with spinopelvic disorders, despite the acetabular cup was placed within the classical "Lewinnek safe zone." This study aimed to reveal the risk factors of acetabular cup placement during total hip arthroplasty (THA) in patients with spinopelvic pathology, construct and validate a novel "Personalized Safe Zone" based on the Hip-Spine Classification System (HSCS) to reduce the prosthetic impingement and dislocation in these patients.

Methods: One retrospective study was conducted on patients with spinopelvic pathologies underwent the primary THA admitted to the First Affiliated Hospital of Kunming Medical University from January 2017 and May 2023. According to the inclusion and exclusion criteria, the general information (Age, gender, Primary disease, Side, BMI) and radiological parameters of patients were collected, including spinal parameters (pelvic incidence [PI], pelvic tilt [PT], sacral slope [SS], lumbar lordosis angle [LL], sagittal vertical axis, thoracic kyphosis angle, cobb angle), pelvic parameters (cup inclination [CI], cup anteversion [CA], disparity in bilateral femoral offset), and spinopelvic parameters (absolute value of PI minus LL [|PI-LL|], change of sacral slope [ΔSS], combined sagittal index [CSI]). The correlation between the above parameters and prosthesis dislocation after THA was assessed and a clinical prediction model was constructed by R language. Subsequently, the ranges of "Personalized Safe Zone" for the acetabular cup placement in the four subgroups classified by the HSCS, were defined as the mean ± standard deviation of CA and CI in each nondislocation subgroup, and were validated by a cohort study.

Results: There were correlations between ΔSS, |PI-LL|, CA, standing CSI and anterior dislocation, ΔSS, |PI-LL|, CA, sitting CSI and posterior dislocation. The ranges of "Personalized Safe Zone" in each subgroup were as follows: 1A (CA = 14.11° ± 4.57°, CI = 38.65° ± 6.32°), 1B (CA = 17.23° ± 3.15°, CI = 38.19° ± 5.45°), 2A (CA = 15.76° ± 4.08°, CI = 38.95° ± 6.21°), 2B (CA = 19.50° ± 3.73°, CI = 39.50° ± 6.48°). Moreover, a significant reduction in prosthesis dislocation and impingement was investigated, when the acetabular cup was placed according to the "Personalized Safe Zone."

Conclusions: These parameters, including ΔSS, |PI-LL|, CA, CSI should be fully considered when placing acetabular cup during THA and the novel "Personalized Safe Zone" could reduce the dislocation and prosthetic impingement after THA in patients with spinopelvic pathology.

求助全文
通过发布文献求助,成功后即可免费获取论文全文。 去求助
来源期刊
Orthopaedic Surgery
Orthopaedic Surgery ORTHOPEDICS-
CiteScore
3.40
自引率
14.30%
发文量
374
审稿时长
20 weeks
期刊介绍: Orthopaedic Surgery (OS) is the official journal of the Chinese Orthopaedic Association, focusing on all aspects of orthopaedic technique and surgery. The journal publishes peer-reviewed articles in the following categories: Original Articles, Clinical Articles, Review Articles, Guidelines, Editorials, Commentaries, Surgical Techniques, Case Reports and Meeting Reports.
×
引用
GB/T 7714-2015
复制
MLA
复制
APA
复制
导出至
BibTeX EndNote RefMan NoteFirst NoteExpress
×
提示
您的信息不完整,为了账户安全,请先补充。
现在去补充
×
提示
您因"违规操作"
具体请查看互助需知
我知道了
×
提示
确定
请完成安全验证×
copy
已复制链接
快去分享给好友吧!
我知道了
右上角分享
点击右上角分享
0
联系我们:info@booksci.cn Book学术提供免费学术资源搜索服务,方便国内外学者检索中英文文献。致力于提供最便捷和优质的服务体验。 Copyright © 2023 布克学术 All rights reserved.
京ICP备2023020795号-1
ghs 京公网安备 11010802042870号
Book学术文献互助
Book学术文献互助群
群 号:604180095
Book学术官方微信