难治性脑膜瘤这一术语的概念、目的和评价。

IF 3.1 2区 医学 Q2 CLINICAL NEUROLOGY
Journal of Neuro-Oncology Pub Date : 2025-11-01 Epub Date: 2025-08-04 DOI:10.1007/s11060-025-05154-2
Lasse Rehné Jensen, Andrea Daniela Maier, Tareq A Juratli, Stéphane Goutagny, Luca Bertero, Thomas Graillon, Benjamin Brokinkel, Tejpal Gupta, Sverre Helge Torp, Roberta Rudà, Paul M Clement, Martijn van Essen, María Dolores Tabernero, Konstantinos Gousias, Álvaro Otero Rodríguez, Jong Hee Chang, Chang-Ok Suh, Andrés Felipe Cardona, Oscar Arrieta, Alejandro Ruiz-Patiño, Daniela A Bota, Maya Hrachova, David Scheie, Bjarne Winther Kristensen, Tina Nørgaard Munch, Ian Law, Kåre Fugleholm, Torstein Ragnar Meling, Julia Furtner, Matthias Preusser, Martin Alexander Walter, Tiit Mathiesen, Christian Mirian
{"title":"难治性脑膜瘤这一术语的概念、目的和评价。","authors":"Lasse Rehné Jensen, Andrea Daniela Maier, Tareq A Juratli, Stéphane Goutagny, Luca Bertero, Thomas Graillon, Benjamin Brokinkel, Tejpal Gupta, Sverre Helge Torp, Roberta Rudà, Paul M Clement, Martijn van Essen, María Dolores Tabernero, Konstantinos Gousias, Álvaro Otero Rodríguez, Jong Hee Chang, Chang-Ok Suh, Andrés Felipe Cardona, Oscar Arrieta, Alejandro Ruiz-Patiño, Daniela A Bota, Maya Hrachova, David Scheie, Bjarne Winther Kristensen, Tina Nørgaard Munch, Ian Law, Kåre Fugleholm, Torstein Ragnar Meling, Julia Furtner, Matthias Preusser, Martin Alexander Walter, Tiit Mathiesen, Christian Mirian","doi":"10.1007/s11060-025-05154-2","DOIUrl":null,"url":null,"abstract":"<p><strong>Background: </strong>Treatment-refractory meningioma is a widely used term but lacks standardized criteria, impairing research comparability and treatment evaluation. The aim of this study was to assess the heterogeneity of patient populations labeled as treatment-refractory and to explore recommendations for better consistency.</p><p><strong>Methods: </strong>We systematically reviewed 69 studies published before 2024 and analyzed individual participant data from 15 cohorts (n = 211) that included treatment-refractory patients who underwent experimental therapy with somatostatin receptor (SSTR)-targeted therapies. A reference cohort (n = 102) with newly diagnosed WHO-3 meningiomas was used descriptively for comparison. Progression and death were the primary endpoints. Hazard rate ratios were estimated via Poisson regression, and inter-study heterogeneity was quantified using I² statistics.</p><p><strong>Results: </strong>Definitions of treatment-refractory varied substantially across previous studies. WHO-1 patients showed high statistical inter-study variability, particularly for the long-acting SSTR-analogues group when assessing progression (I² = 81.7%) and death (I² =74.8%). Patients with treatment-refractory WHO-2 and WHO-3 meningioma exhibited more consistency across endpoints and SSTR-targeted therapies (I² percentages ≤ 16.0%). Risk of progression and death differed significantly by WHO grade, regardless of SSTR-targeted therapy.</p><p><strong>Conclusions: </strong>Our findings demonstrate an inconsistent use of the term treatment-refractory and substantial variability of effect estimates dependeing on the individual cohorts. Pooling patients across WHO grades is unfeasible for assessing treatment effects. Based on the present study and prior evidence, we outline recommendations to improve consistency in future trial design and enable more meaningful comparisons across studies. The recommendations are grouped into four categories: radiographic evaluation, endpoints, clinical core elements, and molecular classification.</p>","PeriodicalId":16425,"journal":{"name":"Journal of Neuro-Oncology","volume":" ","pages":"599-610"},"PeriodicalIF":3.1000,"publicationDate":"2025-11-01","publicationTypes":"Journal Article","fieldsOfStudy":null,"isOpenAccess":false,"openAccessPdf":"https://www.ncbi.nlm.nih.gov/pmc/articles/PMC12420741/pdf/","citationCount":"0","resultStr":"{\"title\":\"The concept, intention, and evaluation of the term treatment-refractory meningioma.\",\"authors\":\"Lasse Rehné Jensen, Andrea Daniela Maier, Tareq A Juratli, Stéphane Goutagny, Luca Bertero, Thomas Graillon, Benjamin Brokinkel, Tejpal Gupta, Sverre Helge Torp, Roberta Rudà, Paul M Clement, Martijn van Essen, María Dolores Tabernero, Konstantinos Gousias, Álvaro Otero Rodríguez, Jong Hee Chang, Chang-Ok Suh, Andrés Felipe Cardona, Oscar Arrieta, Alejandro Ruiz-Patiño, Daniela A Bota, Maya Hrachova, David Scheie, Bjarne Winther Kristensen, Tina Nørgaard Munch, Ian Law, Kåre Fugleholm, Torstein Ragnar Meling, Julia Furtner, Matthias Preusser, Martin Alexander Walter, Tiit Mathiesen, Christian Mirian\",\"doi\":\"10.1007/s11060-025-05154-2\",\"DOIUrl\":null,\"url\":null,\"abstract\":\"<p><strong>Background: </strong>Treatment-refractory meningioma is a widely used term but lacks standardized criteria, impairing research comparability and treatment evaluation. The aim of this study was to assess the heterogeneity of patient populations labeled as treatment-refractory and to explore recommendations for better consistency.</p><p><strong>Methods: </strong>We systematically reviewed 69 studies published before 2024 and analyzed individual participant data from 15 cohorts (n = 211) that included treatment-refractory patients who underwent experimental therapy with somatostatin receptor (SSTR)-targeted therapies. A reference cohort (n = 102) with newly diagnosed WHO-3 meningiomas was used descriptively for comparison. Progression and death were the primary endpoints. Hazard rate ratios were estimated via Poisson regression, and inter-study heterogeneity was quantified using I² statistics.</p><p><strong>Results: </strong>Definitions of treatment-refractory varied substantially across previous studies. WHO-1 patients showed high statistical inter-study variability, particularly for the long-acting SSTR-analogues group when assessing progression (I² = 81.7%) and death (I² =74.8%). Patients with treatment-refractory WHO-2 and WHO-3 meningioma exhibited more consistency across endpoints and SSTR-targeted therapies (I² percentages ≤ 16.0%). Risk of progression and death differed significantly by WHO grade, regardless of SSTR-targeted therapy.</p><p><strong>Conclusions: </strong>Our findings demonstrate an inconsistent use of the term treatment-refractory and substantial variability of effect estimates dependeing on the individual cohorts. Pooling patients across WHO grades is unfeasible for assessing treatment effects. Based on the present study and prior evidence, we outline recommendations to improve consistency in future trial design and enable more meaningful comparisons across studies. The recommendations are grouped into four categories: radiographic evaluation, endpoints, clinical core elements, and molecular classification.</p>\",\"PeriodicalId\":16425,\"journal\":{\"name\":\"Journal of Neuro-Oncology\",\"volume\":\" \",\"pages\":\"599-610\"},\"PeriodicalIF\":3.1000,\"publicationDate\":\"2025-11-01\",\"publicationTypes\":\"Journal Article\",\"fieldsOfStudy\":null,\"isOpenAccess\":false,\"openAccessPdf\":\"https://www.ncbi.nlm.nih.gov/pmc/articles/PMC12420741/pdf/\",\"citationCount\":\"0\",\"resultStr\":null,\"platform\":\"Semanticscholar\",\"paperid\":null,\"PeriodicalName\":\"Journal of Neuro-Oncology\",\"FirstCategoryId\":\"3\",\"ListUrlMain\":\"https://doi.org/10.1007/s11060-025-05154-2\",\"RegionNum\":2,\"RegionCategory\":\"医学\",\"ArticlePicture\":[],\"TitleCN\":null,\"AbstractTextCN\":null,\"PMCID\":null,\"EPubDate\":\"2025/8/4 0:00:00\",\"PubModel\":\"Epub\",\"JCR\":\"Q2\",\"JCRName\":\"CLINICAL NEUROLOGY\",\"Score\":null,\"Total\":0}","platform":"Semanticscholar","paperid":null,"PeriodicalName":"Journal of Neuro-Oncology","FirstCategoryId":"3","ListUrlMain":"https://doi.org/10.1007/s11060-025-05154-2","RegionNum":2,"RegionCategory":"医学","ArticlePicture":[],"TitleCN":null,"AbstractTextCN":null,"PMCID":null,"EPubDate":"2025/8/4 0:00:00","PubModel":"Epub","JCR":"Q2","JCRName":"CLINICAL NEUROLOGY","Score":null,"Total":0}
引用次数: 0

摘要

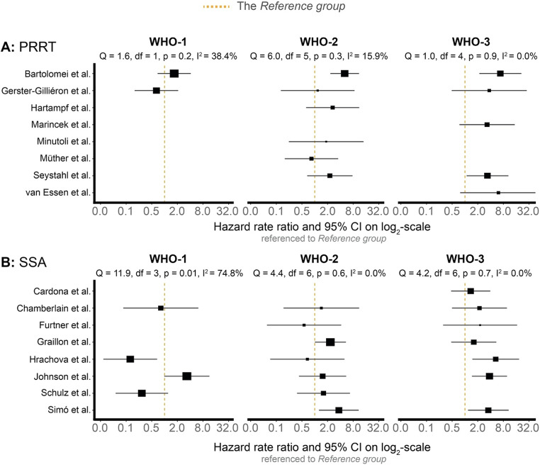
背景:难治性脑膜瘤是一个广泛使用的术语,但缺乏标准化的标准,影响了研究的可比性和治疗评价。本研究的目的是评估标记为治疗难治性的患者群体的异质性,并探索更好一致性的建议。方法:我们系统地回顾了2024年之前发表的69项研究,并分析了来自15个队列(n = 211)的个体参与者数据,其中包括接受生长抑素受体(SSTR)靶向治疗的治疗难治性患者。一个新诊断为WHO-3型脑膜瘤的参考队列(n = 102)被描述性地用于比较。进展和死亡是主要终点。通过泊松回归估计危险率比,并使用I²统计量量化研究间异质性。结果:治疗难治性的定义在以往的研究中有很大的不同。在评估进展(I²= 81.7%)和死亡(I²=74.8%)时,WHO-1患者在研究间表现出很高的统计学变异性,特别是长效sstr类似物组。难治性WHO-2和WHO-3脑膜瘤患者在终点和sstr靶向治疗方面表现出更高的一致性(I²百分比≤16.0%)。无论采用何种sstr靶向治疗,进展和死亡风险在WHO分级中存在显著差异。结论:我们的研究结果表明,治疗难治性一词的使用不一致,并且根据个体队列的不同,效果估计存在很大的差异。将世卫组织不同级别的患者集中起来评估治疗效果是不可行的。基于目前的研究和先前的证据,我们概述了建议,以提高未来试验设计的一致性,并使研究之间的比较更有意义。这些建议分为四类:放射学评价、终点、临床核心要素和分子分类。
本文章由计算机程序翻译,如有差异,请以英文原文为准。

The concept, intention, and evaluation of the term treatment-refractory meningioma.

The concept, intention, and evaluation of the term treatment-refractory meningioma.

The concept, intention, and evaluation of the term treatment-refractory meningioma.

The concept, intention, and evaluation of the term treatment-refractory meningioma.

Background: Treatment-refractory meningioma is a widely used term but lacks standardized criteria, impairing research comparability and treatment evaluation. The aim of this study was to assess the heterogeneity of patient populations labeled as treatment-refractory and to explore recommendations for better consistency.

Methods: We systematically reviewed 69 studies published before 2024 and analyzed individual participant data from 15 cohorts (n = 211) that included treatment-refractory patients who underwent experimental therapy with somatostatin receptor (SSTR)-targeted therapies. A reference cohort (n = 102) with newly diagnosed WHO-3 meningiomas was used descriptively for comparison. Progression and death were the primary endpoints. Hazard rate ratios were estimated via Poisson regression, and inter-study heterogeneity was quantified using I² statistics.

Results: Definitions of treatment-refractory varied substantially across previous studies. WHO-1 patients showed high statistical inter-study variability, particularly for the long-acting SSTR-analogues group when assessing progression (I² = 81.7%) and death (I² =74.8%). Patients with treatment-refractory WHO-2 and WHO-3 meningioma exhibited more consistency across endpoints and SSTR-targeted therapies (I² percentages ≤ 16.0%). Risk of progression and death differed significantly by WHO grade, regardless of SSTR-targeted therapy.

Conclusions: Our findings demonstrate an inconsistent use of the term treatment-refractory and substantial variability of effect estimates dependeing on the individual cohorts. Pooling patients across WHO grades is unfeasible for assessing treatment effects. Based on the present study and prior evidence, we outline recommendations to improve consistency in future trial design and enable more meaningful comparisons across studies. The recommendations are grouped into four categories: radiographic evaluation, endpoints, clinical core elements, and molecular classification.

求助全文
通过发布文献求助,成功后即可免费获取论文全文。 去求助
来源期刊
Journal of Neuro-Oncology
Journal of Neuro-Oncology 医学-临床神经学
CiteScore
6.60
自引率
7.70%
发文量
277
审稿时长
3.3 months
期刊介绍: The Journal of Neuro-Oncology is a multi-disciplinary journal encompassing basic, applied, and clinical investigations in all research areas as they relate to cancer and the central nervous system. It provides a single forum for communication among neurologists, neurosurgeons, radiotherapists, medical oncologists, neuropathologists, neurodiagnosticians, and laboratory-based oncologists conducting relevant research. The Journal of Neuro-Oncology does not seek to isolate the field, but rather to focus the efforts of many disciplines in one publication through a format which pulls together these diverse interests. More than any other field of oncology, cancer of the central nervous system requires multi-disciplinary approaches. To alleviate having to scan dozens of journals of cell biology, pathology, laboratory and clinical endeavours, JNO is a periodical in which current, high-quality, relevant research in all aspects of neuro-oncology may be found.
×
引用
GB/T 7714-2015
复制
MLA
复制
APA
复制
导出至
BibTeX EndNote RefMan NoteFirst NoteExpress
×
提示
您的信息不完整,为了账户安全,请先补充。
现在去补充
×
提示
您因"违规操作"
具体请查看互助需知
我知道了
×
提示
确定
请完成安全验证×
copy
已复制链接
快去分享给好友吧!
我知道了
右上角分享
点击右上角分享
0
联系我们:info@booksci.cn Book学术提供免费学术资源搜索服务,方便国内外学者检索中英文文献。致力于提供最便捷和优质的服务体验。 Copyright © 2023 布克学术 All rights reserved.
京ICP备2023020795号-1
ghs 京公网安备 11010802042870号
Book学术文献互助
Book学术文献互助群
群 号:604180095
Book学术官方微信