成人全身免疫炎症指数(SII)与表观遗传年龄加速的关联:来自NHANES的见解

IF 3.2 3区 生物学 Q3 BIOCHEMISTRY & MOLECULAR BIOLOGY
Epigenetics Pub Date : 2025-12-01 Epub Date: 2025-08-04 DOI:10.1080/15592294.2025.2541248
Rundong Liu, Mingjie Liu, Chendong Wang, Zhen Tao, Guangyuan Hu
{"title":"成人全身免疫炎症指数(SII)与表观遗传年龄加速的关联:来自NHANES的见解","authors":"Rundong Liu, Mingjie Liu, Chendong Wang, Zhen Tao, Guangyuan Hu","doi":"10.1080/15592294.2025.2541248","DOIUrl":null,"url":null,"abstract":"<p><p>The Systemic Immune-Inflammation Index (SII), a marker of systemic inflammation, has been linked to various age-related diseases, but its association with Epigenetic Age Acceleration (EAA) remains underexplored. This study aimed to investigate the SII and EAA relationship. We analysed data from 1,915 participants from the National Health and Nutrition Examination Survey (NHANES). SII was calculated as platelet count × (neutrophil count/lymphocyte count). EAA was defined as HorvathAccel, HannumAccel, Skin&BloodAccel, PhenoAgeAccel, GrimAge2Accel, and DunedinPoAm. These metrics were derived utilizing the residual method. Multivariate linear regression, smooth curve fitting, threshold effect analyses, and subgroup analyses were employed to assess the relationship between the SII and EAA. Higher SII levels were significantly associated with HannumAccel, PhenoAgeAccel, GrimAge2Accel, and DunedinPoAm. Threshold effect analyses revealed non-linear relationships, with inflection points at SII values of 24.200, 12.553, 7.766, and 10.133, respectively. Subgroup analyses identified sex, age, poverty-to-income ratio, and marital status as significant effect modifiers. The elevated SII was associated with accelerated epigenetic ageing.</p>","PeriodicalId":11767,"journal":{"name":"Epigenetics","volume":"20 1","pages":"2541248"},"PeriodicalIF":3.2000,"publicationDate":"2025-12-01","publicationTypes":"Journal Article","fieldsOfStudy":null,"isOpenAccess":false,"openAccessPdf":"https://www.ncbi.nlm.nih.gov/pmc/articles/PMC12323417/pdf/","citationCount":"0","resultStr":"{\"title\":\"Association of systemic immune-inflammation index (SII) with epigenetic age acceleration in adults: insights from NHANES.\",\"authors\":\"Rundong Liu, Mingjie Liu, Chendong Wang, Zhen Tao, Guangyuan Hu\",\"doi\":\"10.1080/15592294.2025.2541248\",\"DOIUrl\":null,\"url\":null,\"abstract\":\"<p><p>The Systemic Immune-Inflammation Index (SII), a marker of systemic inflammation, has been linked to various age-related diseases, but its association with Epigenetic Age Acceleration (EAA) remains underexplored. This study aimed to investigate the SII and EAA relationship. We analysed data from 1,915 participants from the National Health and Nutrition Examination Survey (NHANES). SII was calculated as platelet count × (neutrophil count/lymphocyte count). EAA was defined as HorvathAccel, HannumAccel, Skin&BloodAccel, PhenoAgeAccel, GrimAge2Accel, and DunedinPoAm. These metrics were derived utilizing the residual method. Multivariate linear regression, smooth curve fitting, threshold effect analyses, and subgroup analyses were employed to assess the relationship between the SII and EAA. Higher SII levels were significantly associated with HannumAccel, PhenoAgeAccel, GrimAge2Accel, and DunedinPoAm. Threshold effect analyses revealed non-linear relationships, with inflection points at SII values of 24.200, 12.553, 7.766, and 10.133, respectively. Subgroup analyses identified sex, age, poverty-to-income ratio, and marital status as significant effect modifiers. The elevated SII was associated with accelerated epigenetic ageing.</p>\",\"PeriodicalId\":11767,\"journal\":{\"name\":\"Epigenetics\",\"volume\":\"20 1\",\"pages\":\"2541248\"},\"PeriodicalIF\":3.2000,\"publicationDate\":\"2025-12-01\",\"publicationTypes\":\"Journal Article\",\"fieldsOfStudy\":null,\"isOpenAccess\":false,\"openAccessPdf\":\"https://www.ncbi.nlm.nih.gov/pmc/articles/PMC12323417/pdf/\",\"citationCount\":\"0\",\"resultStr\":null,\"platform\":\"Semanticscholar\",\"paperid\":null,\"PeriodicalName\":\"Epigenetics\",\"FirstCategoryId\":\"99\",\"ListUrlMain\":\"https://doi.org/10.1080/15592294.2025.2541248\",\"RegionNum\":3,\"RegionCategory\":\"生物学\",\"ArticlePicture\":[],\"TitleCN\":null,\"AbstractTextCN\":null,\"PMCID\":null,\"EPubDate\":\"2025/8/4 0:00:00\",\"PubModel\":\"Epub\",\"JCR\":\"Q3\",\"JCRName\":\"BIOCHEMISTRY & MOLECULAR BIOLOGY\",\"Score\":null,\"Total\":0}","platform":"Semanticscholar","paperid":null,"PeriodicalName":"Epigenetics","FirstCategoryId":"99","ListUrlMain":"https://doi.org/10.1080/15592294.2025.2541248","RegionNum":3,"RegionCategory":"生物学","ArticlePicture":[],"TitleCN":null,"AbstractTextCN":null,"PMCID":null,"EPubDate":"2025/8/4 0:00:00","PubModel":"Epub","JCR":"Q3","JCRName":"BIOCHEMISTRY & MOLECULAR BIOLOGY","Score":null,"Total":0}
引用次数: 0

摘要

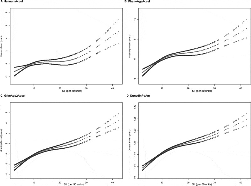
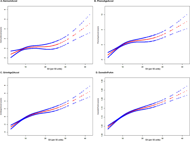
系统性免疫炎症指数(SII)是一种全身性炎症的标志物,与各种年龄相关疾病有关,但其与表观遗传年龄加速(EAA)的关系仍未得到充分研究。本研究旨在探讨SII与EAA的关系。我们分析了来自全国健康和营养检查调查(NHANES)的1915名参与者的数据。SII计算为血小板计数×(中性粒细胞计数/淋巴细胞计数)。EAA被定义为HorvathAccel、HannumAccel、Skin&BloodAccel、PhenoAgeAccel、GrimAge2Accel和DunedinPoAm。这些指标是利用残差法得出的。采用多元线性回归、光滑曲线拟合、阈值效应分析和亚组分析评估SII与EAA的关系。较高的SII水平与HannumAccel、PhenoAgeAccel、GrimAge2Accel和DunedinPoAm显著相关。阈值效应分析显示,SII值分别为24.200、12.553、7.766和10.133,呈非线性关系。亚组分析发现,性别、年龄、贫困收入比和婚姻状况是显著的影响因素。SII升高与表观遗传老化加速有关。
本文章由计算机程序翻译,如有差异,请以英文原文为准。

Association of systemic immune-inflammation index (SII) with epigenetic age acceleration in adults: insights from NHANES.

Association of systemic immune-inflammation index (SII) with epigenetic age acceleration in adults: insights from NHANES.

Association of systemic immune-inflammation index (SII) with epigenetic age acceleration in adults: insights from NHANES.

Association of systemic immune-inflammation index (SII) with epigenetic age acceleration in adults: insights from NHANES.

The Systemic Immune-Inflammation Index (SII), a marker of systemic inflammation, has been linked to various age-related diseases, but its association with Epigenetic Age Acceleration (EAA) remains underexplored. This study aimed to investigate the SII and EAA relationship. We analysed data from 1,915 participants from the National Health and Nutrition Examination Survey (NHANES). SII was calculated as platelet count × (neutrophil count/lymphocyte count). EAA was defined as HorvathAccel, HannumAccel, Skin&BloodAccel, PhenoAgeAccel, GrimAge2Accel, and DunedinPoAm. These metrics were derived utilizing the residual method. Multivariate linear regression, smooth curve fitting, threshold effect analyses, and subgroup analyses were employed to assess the relationship between the SII and EAA. Higher SII levels were significantly associated with HannumAccel, PhenoAgeAccel, GrimAge2Accel, and DunedinPoAm. Threshold effect analyses revealed non-linear relationships, with inflection points at SII values of 24.200, 12.553, 7.766, and 10.133, respectively. Subgroup analyses identified sex, age, poverty-to-income ratio, and marital status as significant effect modifiers. The elevated SII was associated with accelerated epigenetic ageing.

求助全文
通过发布文献求助,成功后即可免费获取论文全文。 去求助
来源期刊
Epigenetics
Epigenetics 生物-生化与分子生物学
CiteScore
6.80
自引率
2.70%
发文量
82
审稿时长
3-8 weeks
期刊介绍: Epigenetics publishes peer-reviewed original research and review articles that provide an unprecedented forum where epigenetic mechanisms and their role in diverse biological processes can be revealed, shared, and discussed. Epigenetics research studies heritable changes in gene expression caused by mechanisms others than the modification of the DNA sequence. Epigenetics therefore plays critical roles in a variety of biological systems, diseases, and disciplines. Topics of interest include (but are not limited to): DNA methylation Nucleosome positioning and modification Gene silencing Imprinting Nuclear reprogramming Chromatin remodeling Non-coding RNA Non-histone chromosomal elements Dosage compensation Nuclear organization Epigenetic therapy and diagnostics Nutrition and environmental epigenetics Cancer epigenetics Neuroepigenetics
×
引用
GB/T 7714-2015
复制
MLA
复制
APA
复制
导出至
BibTeX EndNote RefMan NoteFirst NoteExpress
×
提示
您的信息不完整,为了账户安全,请先补充。
现在去补充
×
提示
您因"违规操作"
具体请查看互助需知
我知道了
×
提示
确定
请完成安全验证×
copy
已复制链接
快去分享给好友吧!
我知道了
右上角分享
点击右上角分享
0
联系我们:info@booksci.cn Book学术提供免费学术资源搜索服务,方便国内外学者检索中英文文献。致力于提供最便捷和优质的服务体验。 Copyright © 2023 布克学术 All rights reserved.
京ICP备2023020795号-1
ghs 京公网安备 11010802042870号
Book学术文献互助
Book学术文献互助群
群 号:604180095
Book学术官方微信