血清白蛋白作为狼疮性肾炎蛋白尿恢复的早期预测因子。

Q4 Medicine
Mediterranean Journal of Rheumatology Pub Date : 2025-05-14 eCollection Date: 2025-06-01 DOI:10.31138/mjr.040924.sai
Fadi Kharouf, Taraneh Tofighi, Heather N Reich, Qixuan Li, Jiandong Su, Dafna D Gladman, Zahi Touma
{"title":"血清白蛋白作为狼疮性肾炎蛋白尿恢复的早期预测因子。","authors":"Fadi Kharouf, Taraneh Tofighi, Heather N Reich, Qixuan Li, Jiandong Su, Dafna D Gladman, Zahi Touma","doi":"10.31138/mjr.040924.sai","DOIUrl":null,"url":null,"abstract":"<p><strong>Background/purpose: </strong>Proteinuria, a slowly changing marker, is considered the best predictor of long-term renal outcomes in lupus nephritis (LN). In this study, we aimed to determine if serum albumin can serve as an early predictor of combined proteinuria recovery in LN.</p><p><strong>Methods: </strong>We studied patients diagnosed with LN with baseline and follow-up visits at 6-9 and 18-21 months. Receiver operating characteristic (ROC) curves were generated and the area under the curve (AUC) was analysed at different time points to test if serum albumin was a predictor of combined proteinuria recovery response (complete and partial proteinuria recovery, CPR+PPR) and primary efficacy proteinuria recovery (PEPR) at 6-9 and 18-21 months.</p><p><strong>Results: </strong>ROC curves for serum albumin level at baseline did not predict combined proteinuria recovery or PEPR at 6-9 or 18-21 months. However, serum albumin level at 6-9 months predicted combined proteinuria recovery at 6-9 months (AUC 0.77) and PEPR at 6-9 (AUC 0.83) and 18-21 months (AUC 0.83). Serum albumin absolute change (AUC=0.82) and percent change (AUC=0.81) from baseline to 6-9 months predicted the 6-9-month combined proteinuria recovery. Similarly, serum albumin absolute change (AUC=0.84) and percent change (AUC=0.82) from baseline to 18-21 months predicted the 18-21-month combined proteinuria recovery. A less pronounced, but similar signal was observed when PEPR was used as the endpoint at 6-9 (AUC 0.70 and 0.68, respectively) and 18-21 months (AUC 0.73 and 0.71, respectively).</p><p><strong>Conclusion: </strong>Serum albumin may serve as an accessible adjunct to proteinuria in assessing the clinical course and treatment response in LN.</p>","PeriodicalId":32816,"journal":{"name":"Mediterranean Journal of Rheumatology","volume":"36 2","pages":"242-250"},"PeriodicalIF":0.0000,"publicationDate":"2025-05-14","publicationTypes":"Journal Article","fieldsOfStudy":null,"isOpenAccess":false,"openAccessPdf":"https://www.ncbi.nlm.nih.gov/pmc/articles/PMC12312462/pdf/","citationCount":"0","resultStr":"{\"title\":\"Serum Albumin as an Early Predictor of Proteinuria Recovery in Lupus Nephritis.\",\"authors\":\"Fadi Kharouf, Taraneh Tofighi, Heather N Reich, Qixuan Li, Jiandong Su, Dafna D Gladman, Zahi Touma\",\"doi\":\"10.31138/mjr.040924.sai\",\"DOIUrl\":null,\"url\":null,\"abstract\":\"<p><strong>Background/purpose: </strong>Proteinuria, a slowly changing marker, is considered the best predictor of long-term renal outcomes in lupus nephritis (LN). In this study, we aimed to determine if serum albumin can serve as an early predictor of combined proteinuria recovery in LN.</p><p><strong>Methods: </strong>We studied patients diagnosed with LN with baseline and follow-up visits at 6-9 and 18-21 months. Receiver operating characteristic (ROC) curves were generated and the area under the curve (AUC) was analysed at different time points to test if serum albumin was a predictor of combined proteinuria recovery response (complete and partial proteinuria recovery, CPR+PPR) and primary efficacy proteinuria recovery (PEPR) at 6-9 and 18-21 months.</p><p><strong>Results: </strong>ROC curves for serum albumin level at baseline did not predict combined proteinuria recovery or PEPR at 6-9 or 18-21 months. However, serum albumin level at 6-9 months predicted combined proteinuria recovery at 6-9 months (AUC 0.77) and PEPR at 6-9 (AUC 0.83) and 18-21 months (AUC 0.83). Serum albumin absolute change (AUC=0.82) and percent change (AUC=0.81) from baseline to 6-9 months predicted the 6-9-month combined proteinuria recovery. Similarly, serum albumin absolute change (AUC=0.84) and percent change (AUC=0.82) from baseline to 18-21 months predicted the 18-21-month combined proteinuria recovery. A less pronounced, but similar signal was observed when PEPR was used as the endpoint at 6-9 (AUC 0.70 and 0.68, respectively) and 18-21 months (AUC 0.73 and 0.71, respectively).</p><p><strong>Conclusion: </strong>Serum albumin may serve as an accessible adjunct to proteinuria in assessing the clinical course and treatment response in LN.</p>\",\"PeriodicalId\":32816,\"journal\":{\"name\":\"Mediterranean Journal of Rheumatology\",\"volume\":\"36 2\",\"pages\":\"242-250\"},\"PeriodicalIF\":0.0000,\"publicationDate\":\"2025-05-14\",\"publicationTypes\":\"Journal Article\",\"fieldsOfStudy\":null,\"isOpenAccess\":false,\"openAccessPdf\":\"https://www.ncbi.nlm.nih.gov/pmc/articles/PMC12312462/pdf/\",\"citationCount\":\"0\",\"resultStr\":null,\"platform\":\"Semanticscholar\",\"paperid\":null,\"PeriodicalName\":\"Mediterranean Journal of Rheumatology\",\"FirstCategoryId\":\"1085\",\"ListUrlMain\":\"https://doi.org/10.31138/mjr.040924.sai\",\"RegionNum\":0,\"RegionCategory\":null,\"ArticlePicture\":[],\"TitleCN\":null,\"AbstractTextCN\":null,\"PMCID\":null,\"EPubDate\":\"2025/6/1 0:00:00\",\"PubModel\":\"eCollection\",\"JCR\":\"Q4\",\"JCRName\":\"Medicine\",\"Score\":null,\"Total\":0}","platform":"Semanticscholar","paperid":null,"PeriodicalName":"Mediterranean Journal of Rheumatology","FirstCategoryId":"1085","ListUrlMain":"https://doi.org/10.31138/mjr.040924.sai","RegionNum":0,"RegionCategory":null,"ArticlePicture":[],"TitleCN":null,"AbstractTextCN":null,"PMCID":null,"EPubDate":"2025/6/1 0:00:00","PubModel":"eCollection","JCR":"Q4","JCRName":"Medicine","Score":null,"Total":0}
引用次数: 0

摘要

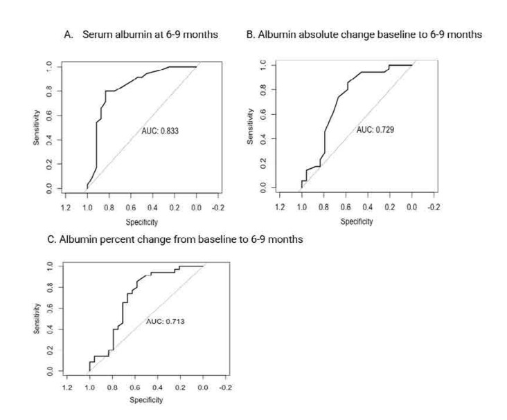
背景/目的:蛋白尿是一种缓慢变化的标志物,被认为是狼疮性肾炎(LN)患者长期肾脏预后的最佳预测指标。在这项研究中,我们旨在确定血清白蛋白是否可以作为LN合并蛋白尿恢复的早期预测指标。方法:我们研究了诊断为LN的患者,并在6-9个月和18-21个月进行了基线和随访。生成受试者工作特征(ROC)曲线,并分析不同时间点的曲线下面积(AUC),以检验血清白蛋白是否是6-9个月和18-21个月联合蛋白尿恢复反应(完全和部分蛋白尿恢复,CPR+PPR)和主要疗效蛋白尿恢复(PEPR)的预测因子。结果:基线时血清白蛋白水平的ROC曲线不能预测6-9个月或18-21个月的联合蛋白尿恢复或PEPR。然而,6-9个月的血清白蛋白水平预测6-9个月的联合蛋白尿恢复(AUC 0.77), PEPR在6-9个月(AUC 0.83)和18-21个月(AUC 0.83)。从基线到6-9个月的血清白蛋白绝对变化(AUC=0.82)和百分比变化(AUC=0.81)预测6-9个月的联合蛋白尿恢复。同样,从基线到18-21个月的血清白蛋白绝对变化(AUC=0.84)和百分比变化(AUC=0.82)预测了18-21个月的联合蛋白尿恢复。在6-9个月(AUC分别为0.70和0.68)和18-21个月(AUC分别为0.73和0.71)使用PEPR作为终点时,观察到的信号不太明显,但类似。结论:血清白蛋白可作为评估LN临床病程和治疗反应的辅助指标。
本文章由计算机程序翻译,如有差异,请以英文原文为准。

Serum Albumin as an Early Predictor of Proteinuria Recovery in Lupus Nephritis.

Serum Albumin as an Early Predictor of Proteinuria Recovery in Lupus Nephritis.

Serum Albumin as an Early Predictor of Proteinuria Recovery in Lupus Nephritis.

Serum Albumin as an Early Predictor of Proteinuria Recovery in Lupus Nephritis.

Background/purpose: Proteinuria, a slowly changing marker, is considered the best predictor of long-term renal outcomes in lupus nephritis (LN). In this study, we aimed to determine if serum albumin can serve as an early predictor of combined proteinuria recovery in LN.

Methods: We studied patients diagnosed with LN with baseline and follow-up visits at 6-9 and 18-21 months. Receiver operating characteristic (ROC) curves were generated and the area under the curve (AUC) was analysed at different time points to test if serum albumin was a predictor of combined proteinuria recovery response (complete and partial proteinuria recovery, CPR+PPR) and primary efficacy proteinuria recovery (PEPR) at 6-9 and 18-21 months.

Results: ROC curves for serum albumin level at baseline did not predict combined proteinuria recovery or PEPR at 6-9 or 18-21 months. However, serum albumin level at 6-9 months predicted combined proteinuria recovery at 6-9 months (AUC 0.77) and PEPR at 6-9 (AUC 0.83) and 18-21 months (AUC 0.83). Serum albumin absolute change (AUC=0.82) and percent change (AUC=0.81) from baseline to 6-9 months predicted the 6-9-month combined proteinuria recovery. Similarly, serum albumin absolute change (AUC=0.84) and percent change (AUC=0.82) from baseline to 18-21 months predicted the 18-21-month combined proteinuria recovery. A less pronounced, but similar signal was observed when PEPR was used as the endpoint at 6-9 (AUC 0.70 and 0.68, respectively) and 18-21 months (AUC 0.73 and 0.71, respectively).

Conclusion: Serum albumin may serve as an accessible adjunct to proteinuria in assessing the clinical course and treatment response in LN.

求助全文
通过发布文献求助,成功后即可免费获取论文全文。 去求助
来源期刊
CiteScore
2.00
自引率
0.00%
发文量
42
审稿时长
8 weeks
×
引用
GB/T 7714-2015
复制
MLA
复制
APA
复制
导出至
BibTeX EndNote RefMan NoteFirst NoteExpress
×
提示
您的信息不完整,为了账户安全,请先补充。
现在去补充
×
提示
您因"违规操作"
具体请查看互助需知
我知道了
×
提示
确定
请完成安全验证×
copy
已复制链接
快去分享给好友吧!
我知道了
右上角分享
点击右上角分享
0
联系我们:info@booksci.cn Book学术提供免费学术资源搜索服务,方便国内外学者检索中英文文献。致力于提供最便捷和优质的服务体验。 Copyright © 2023 布克学术 All rights reserved.
京ICP备2023020795号-1
ghs 京公网安备 11010802042870号
Book学术文献互助
Book学术文献互助群
群 号:604180095
Book学术官方微信