感染不公平:Charlson-Age共病指数揭示了LMIC剖腹手术患者的性别特异性风险。

IF 2.2 Q3 CRITICAL CARE MEDICINE
Trauma Surgery & Acute Care Open Pub Date : 2025-06-15 eCollection Date: 2025-01-01 DOI:10.1136/tsaco-2024-001659
Komal Abdul Rahim, Bilal Ahmed Usmani, Syed Iqbal Azam, Saad Bin Zafar Mahmood, Mushyada Ali, Anum Rahim, Imran Nisar, Zainab Samad, Adil H Haider
{"title":"感染不公平:Charlson-Age共病指数揭示了LMIC剖腹手术患者的性别特异性风险。","authors":"Komal Abdul Rahim, Bilal Ahmed Usmani, Syed Iqbal Azam, Saad Bin Zafar Mahmood, Mushyada Ali, Anum Rahim, Imran Nisar, Zainab Samad, Adil H Haider","doi":"10.1136/tsaco-2024-001659","DOIUrl":null,"url":null,"abstract":"<p><strong>Background: </strong>Surgical site infections (SSIs) are a major cause of increased morbidity, hospital stay, care costs, and mortality in surgical patients; these can be prognosticated by the Charlson Comorbidity Index (CCI) and accounting for age-the Charlson-Age Comorbidity Index (CACI). Given the limited use of CCI/CACI in low- and middle-income countries, we aimed to assess the use of CCI/CACI in prognosticating the 30-day incidence of SSIs among exploratory laparotomy patients at a tertiary care center in Pakistan.</p><p><strong>Methods: </strong>The study analyzed data from adult patients with International Classification of Diseases-9 CM primary index procedure codes for exploratory laparotomy at a tertiary teaching hospital between 2010 and 2019. The primary exposure was categorized into mild (score 1-2), moderate (score 3-4), and severe (score >5) based on CCI/CACI. The outcome of interest was the incidence of SSIs, where days after operation were restricted to 30 days or less within a hospital stay. Adjusted ORs (AOR) with 95% CI are reported using multiple logistic regression.</p><p><strong>Results: </strong>Out of 2,267 exploratory laparotomy patients, 54.43% were classified as having comorbidity. There was no difference noted in the incidence of SSIs among no CACI (15.88%) and patients with mild, moderate, and severe CACI (18.49%, 18.94%, and 17.42%). Effect modification showed that, among females, CCI/CACI was not significantly associated with SSIs but showed a significant association in males. Among males, a dose-response relationship was observed, with severe CACI having the highest odds of developing SSIs (AOR 2.04; 95% CI 1.35 to 3.05) compared with patients with no CACI. Subgroup analysis yielded similar results (AOR 2.03; 95% CI 1.28 to 3.21).</p><p><strong>Conclusion: </strong>Findings suggested that the comorbidity index is valuable in prognosticating surgical outcomes in exploratory laparotomy patients among males, with age being an integral part of the index. CACI should be calculated for risk stratification and management purposes in male patients undergoing exploratory laparotomy.</p><p><strong>Level of evidence: </strong>III.</p>","PeriodicalId":23307,"journal":{"name":"Trauma Surgery & Acute Care Open","volume":"10 2","pages":"e001659"},"PeriodicalIF":2.2000,"publicationDate":"2025-06-15","publicationTypes":"Journal Article","fieldsOfStudy":null,"isOpenAccess":false,"openAccessPdf":"https://www.ncbi.nlm.nih.gov/pmc/articles/PMC12314809/pdf/","citationCount":"0","resultStr":"{\"title\":\"Infections do not play fair: the Charlson-Age Comorbidity Index reveals sex-specific risk in laparotomy patients in an LMIC.\",\"authors\":\"Komal Abdul Rahim, Bilal Ahmed Usmani, Syed Iqbal Azam, Saad Bin Zafar Mahmood, Mushyada Ali, Anum Rahim, Imran Nisar, Zainab Samad, Adil H Haider\",\"doi\":\"10.1136/tsaco-2024-001659\",\"DOIUrl\":null,\"url\":null,\"abstract\":\"<p><strong>Background: </strong>Surgical site infections (SSIs) are a major cause of increased morbidity, hospital stay, care costs, and mortality in surgical patients; these can be prognosticated by the Charlson Comorbidity Index (CCI) and accounting for age-the Charlson-Age Comorbidity Index (CACI). Given the limited use of CCI/CACI in low- and middle-income countries, we aimed to assess the use of CCI/CACI in prognosticating the 30-day incidence of SSIs among exploratory laparotomy patients at a tertiary care center in Pakistan.</p><p><strong>Methods: </strong>The study analyzed data from adult patients with International Classification of Diseases-9 CM primary index procedure codes for exploratory laparotomy at a tertiary teaching hospital between 2010 and 2019. The primary exposure was categorized into mild (score 1-2), moderate (score 3-4), and severe (score >5) based on CCI/CACI. The outcome of interest was the incidence of SSIs, where days after operation were restricted to 30 days or less within a hospital stay. Adjusted ORs (AOR) with 95% CI are reported using multiple logistic regression.</p><p><strong>Results: </strong>Out of 2,267 exploratory laparotomy patients, 54.43% were classified as having comorbidity. There was no difference noted in the incidence of SSIs among no CACI (15.88%) and patients with mild, moderate, and severe CACI (18.49%, 18.94%, and 17.42%). Effect modification showed that, among females, CCI/CACI was not significantly associated with SSIs but showed a significant association in males. Among males, a dose-response relationship was observed, with severe CACI having the highest odds of developing SSIs (AOR 2.04; 95% CI 1.35 to 3.05) compared with patients with no CACI. Subgroup analysis yielded similar results (AOR 2.03; 95% CI 1.28 to 3.21).</p><p><strong>Conclusion: </strong>Findings suggested that the comorbidity index is valuable in prognosticating surgical outcomes in exploratory laparotomy patients among males, with age being an integral part of the index. CACI should be calculated for risk stratification and management purposes in male patients undergoing exploratory laparotomy.</p><p><strong>Level of evidence: </strong>III.</p>\",\"PeriodicalId\":23307,\"journal\":{\"name\":\"Trauma Surgery & Acute Care Open\",\"volume\":\"10 2\",\"pages\":\"e001659\"},\"PeriodicalIF\":2.2000,\"publicationDate\":\"2025-06-15\",\"publicationTypes\":\"Journal Article\",\"fieldsOfStudy\":null,\"isOpenAccess\":false,\"openAccessPdf\":\"https://www.ncbi.nlm.nih.gov/pmc/articles/PMC12314809/pdf/\",\"citationCount\":\"0\",\"resultStr\":null,\"platform\":\"Semanticscholar\",\"paperid\":null,\"PeriodicalName\":\"Trauma Surgery & Acute Care Open\",\"FirstCategoryId\":\"1085\",\"ListUrlMain\":\"https://doi.org/10.1136/tsaco-2024-001659\",\"RegionNum\":0,\"RegionCategory\":null,\"ArticlePicture\":[],\"TitleCN\":null,\"AbstractTextCN\":null,\"PMCID\":null,\"EPubDate\":\"2025/1/1 0:00:00\",\"PubModel\":\"eCollection\",\"JCR\":\"Q3\",\"JCRName\":\"CRITICAL CARE MEDICINE\",\"Score\":null,\"Total\":0}","platform":"Semanticscholar","paperid":null,"PeriodicalName":"Trauma Surgery & Acute Care Open","FirstCategoryId":"1085","ListUrlMain":"https://doi.org/10.1136/tsaco-2024-001659","RegionNum":0,"RegionCategory":null,"ArticlePicture":[],"TitleCN":null,"AbstractTextCN":null,"PMCID":null,"EPubDate":"2025/1/1 0:00:00","PubModel":"eCollection","JCR":"Q3","JCRName":"CRITICAL CARE MEDICINE","Score":null,"Total":0}
引用次数: 0

摘要

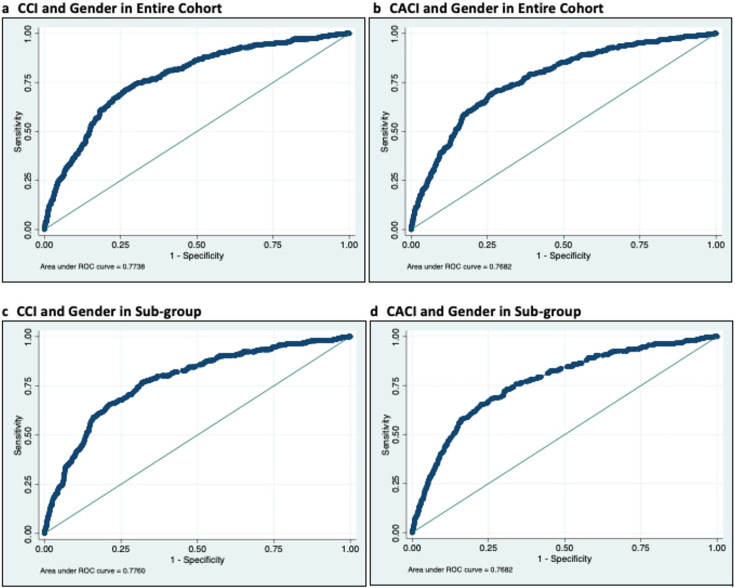
背景:手术部位感染(ssi)是外科患者发病率、住院时间、护理费用和死亡率增加的主要原因;这些可以通过Charlson共病指数(CCI)和计算年龄的Charlson- age共病指数(CACI)来预测。考虑到CCI/CACI在低收入和中等收入国家的有限使用,我们的目的是评估CCI/CACI在巴基斯坦一家三级医疗中心剖腹探查患者30天ssi发生率预测中的应用。方法:对某三级教学医院2010 - 2019年采用《国际疾病分类- 9cm》主要指标手术代码的剖腹探查术成人患者资料进行分析。根据CCI/CACI将初次暴露分为轻度(1-2分)、中度(3-4分)和重度(bbb50分)。关注的结果是ssi的发生率,其中手术后住院天数限制在30天或更短。采用多元逻辑回归报告校正后的or (AOR), 95% CI。结果:在2267例剖腹探查患者中,54.43%的患者有合并症。无CACI患者(15.88%)与轻度、中度和重度CACI患者(18.49%、18.94%和17.42%)的ssi发生率无差异。效应修正显示,在女性中,CCI/CACI与ssi无显著相关性,但在男性中有显著相关性。在男性中,观察到剂量-反应关系,严重CACI发生ssi的几率最高(AOR 2.04;95% CI 1.35 ~ 3.05)与无CACI患者相比。亚组分析结果相似(AOR 2.03;95% CI 1.28 ~ 3.21)。结论:研究结果提示,合并症指数对男性剖腹探查患者的手术预后有一定的预测价值,年龄是该指数的重要组成部分。在男性剖腹探查患者中,CACI应用于风险分层和管理目的的计算。证据水平:III。
本文章由计算机程序翻译,如有差异,请以英文原文为准。

Infections do not play fair: the Charlson-Age Comorbidity Index reveals sex-specific risk in laparotomy patients in an LMIC.

Infections do not play fair: the Charlson-Age Comorbidity Index reveals sex-specific risk in laparotomy patients in an LMIC.

Infections do not play fair: the Charlson-Age Comorbidity Index reveals sex-specific risk in laparotomy patients in an LMIC.

Background: Surgical site infections (SSIs) are a major cause of increased morbidity, hospital stay, care costs, and mortality in surgical patients; these can be prognosticated by the Charlson Comorbidity Index (CCI) and accounting for age-the Charlson-Age Comorbidity Index (CACI). Given the limited use of CCI/CACI in low- and middle-income countries, we aimed to assess the use of CCI/CACI in prognosticating the 30-day incidence of SSIs among exploratory laparotomy patients at a tertiary care center in Pakistan.

Methods: The study analyzed data from adult patients with International Classification of Diseases-9 CM primary index procedure codes for exploratory laparotomy at a tertiary teaching hospital between 2010 and 2019. The primary exposure was categorized into mild (score 1-2), moderate (score 3-4), and severe (score >5) based on CCI/CACI. The outcome of interest was the incidence of SSIs, where days after operation were restricted to 30 days or less within a hospital stay. Adjusted ORs (AOR) with 95% CI are reported using multiple logistic regression.

Results: Out of 2,267 exploratory laparotomy patients, 54.43% were classified as having comorbidity. There was no difference noted in the incidence of SSIs among no CACI (15.88%) and patients with mild, moderate, and severe CACI (18.49%, 18.94%, and 17.42%). Effect modification showed that, among females, CCI/CACI was not significantly associated with SSIs but showed a significant association in males. Among males, a dose-response relationship was observed, with severe CACI having the highest odds of developing SSIs (AOR 2.04; 95% CI 1.35 to 3.05) compared with patients with no CACI. Subgroup analysis yielded similar results (AOR 2.03; 95% CI 1.28 to 3.21).

Conclusion: Findings suggested that the comorbidity index is valuable in prognosticating surgical outcomes in exploratory laparotomy patients among males, with age being an integral part of the index. CACI should be calculated for risk stratification and management purposes in male patients undergoing exploratory laparotomy.

Level of evidence: III.

求助全文
通过发布文献求助,成功后即可免费获取论文全文。 去求助
来源期刊
CiteScore
3.70
自引率
5.00%
发文量
71
审稿时长
12 weeks
×
引用
GB/T 7714-2015
复制
MLA
复制
APA
复制
导出至
BibTeX EndNote RefMan NoteFirst NoteExpress
×
提示
您的信息不完整,为了账户安全,请先补充。
现在去补充
×
提示
您因"违规操作"
具体请查看互助需知
我知道了
×
提示
确定
请完成安全验证×
copy
已复制链接
快去分享给好友吧!
我知道了
右上角分享
点击右上角分享
0
联系我们:info@booksci.cn Book学术提供免费学术资源搜索服务,方便国内外学者检索中英文文献。致力于提供最便捷和优质的服务体验。 Copyright © 2023 布克学术 All rights reserved.
京ICP备2023020795号-1
ghs 京公网安备 11010802042870号
Book学术文献互助
Book学术文献互助群
群 号:604180095
Book学术官方微信