直升机紧急医疗服务行动中急性冠状动脉综合征患者的重大医疗事件

IF 2.3 3区 医学 Q1 EMERGENCY MEDICINE
Julian Ganter, Hans-Jörg Busch, Alina Henis, Florian Reifferscheid, Jörg Braun, Sebastian Heinrich
{"title":"直升机紧急医疗服务行动中急性冠状动脉综合征患者的重大医疗事件","authors":"Julian Ganter, Hans-Jörg Busch, Alina Henis, Florian Reifferscheid, Jörg Braun, Sebastian Heinrich","doi":"10.1186/s12873-025-01308-7","DOIUrl":null,"url":null,"abstract":"<p><strong>Background: </strong>Acute coronary syndromes (ACS) are a leading cause of helicopter emergency medical services (HEMS) operations in Germany. Complications that arise during HEMS operations are challenging due to limited resources. However, the National Advisory Committee for Aeronautics (NACA) score and National Early Warning Score (NEWS) provide potential for risk stratification. Nevertheless, there is an absence of data concerning the incidence and risk of medical events (e.g. malignant arrhythmia, cardiac arrest, cardiogenic shock) in ACS patients during HEMS operations. The objective of this study is to evaluate the incidence of medical events and to assess risk stratification using scoring systems.</p><p><strong>Methods: </strong>This retrospective observational cohort study analyzed prehospital records from 38,473 HEMS operations with \"ACS\" coding conducted between 2012 and 2024 in Germany. Routine data were systematically recorded using a standardized digital form that captured patient demographics, clinical presentation, and medical interventions. Major medical events (MME) were defined using surrogate markers, including defibrillation, resuscitation, airway management, ventilation, and new ST-elevation myocardial infarction (STEMI) findings. Scores (NACA, NEWS, and a combined MME-score) were calculated, with the MME-score integrating NACA and NEWS. Ethical approval was obtained from the Albert-Ludwigs-University Freiburg Ethics Committee (No: 24-1082-S1, 25 April 2024).</p><p><strong>Results: </strong>MME occurred in 8.8% of the 38,473 HEMS operations. They occurred more frequently during secondary missions (interfacility transports) (11.8%) than primary missions (6.7%), and at night (15.3%) than during the day (8.2%) (both p < 0.001). The NACA, NEWS, and MME-scores were significantly higher in cases with medical events (p < 0.001). The risk stratification exhibited areas under the curve in the receiver operating characteristics (ROC) curve, with values of 0.831 for NACA, 0.866 for NEWS, and 0.895 for the MME-score.</p><p><strong>Conclusion: </strong>The incidence of MMEs is subject to variation depending on the operational context. Established scoring systems such as the NACA and NEWS are available for the purpose of risk stratification of medical events in patients with ACS during air rescue operations. The combination of these scores may indicate potential for improved risk stratification.</p>","PeriodicalId":9002,"journal":{"name":"BMC Emergency Medicine","volume":"25 1","pages":"145"},"PeriodicalIF":2.3000,"publicationDate":"2025-08-02","publicationTypes":"Journal Article","fieldsOfStudy":null,"isOpenAccess":false,"openAccessPdf":"https://www.ncbi.nlm.nih.gov/pmc/articles/PMC12318427/pdf/","citationCount":"0","resultStr":"{\"title\":\"Major medical events in patients with acute coronary syndrome during helicopter emergency medical service operations.\",\"authors\":\"Julian Ganter, Hans-Jörg Busch, Alina Henis, Florian Reifferscheid, Jörg Braun, Sebastian Heinrich\",\"doi\":\"10.1186/s12873-025-01308-7\",\"DOIUrl\":null,\"url\":null,\"abstract\":\"<p><strong>Background: </strong>Acute coronary syndromes (ACS) are a leading cause of helicopter emergency medical services (HEMS) operations in Germany. Complications that arise during HEMS operations are challenging due to limited resources. However, the National Advisory Committee for Aeronautics (NACA) score and National Early Warning Score (NEWS) provide potential for risk stratification. Nevertheless, there is an absence of data concerning the incidence and risk of medical events (e.g. malignant arrhythmia, cardiac arrest, cardiogenic shock) in ACS patients during HEMS operations. The objective of this study is to evaluate the incidence of medical events and to assess risk stratification using scoring systems.</p><p><strong>Methods: </strong>This retrospective observational cohort study analyzed prehospital records from 38,473 HEMS operations with \\\"ACS\\\" coding conducted between 2012 and 2024 in Germany. Routine data were systematically recorded using a standardized digital form that captured patient demographics, clinical presentation, and medical interventions. Major medical events (MME) were defined using surrogate markers, including defibrillation, resuscitation, airway management, ventilation, and new ST-elevation myocardial infarction (STEMI) findings. Scores (NACA, NEWS, and a combined MME-score) were calculated, with the MME-score integrating NACA and NEWS. Ethical approval was obtained from the Albert-Ludwigs-University Freiburg Ethics Committee (No: 24-1082-S1, 25 April 2024).</p><p><strong>Results: </strong>MME occurred in 8.8% of the 38,473 HEMS operations. They occurred more frequently during secondary missions (interfacility transports) (11.8%) than primary missions (6.7%), and at night (15.3%) than during the day (8.2%) (both p < 0.001). The NACA, NEWS, and MME-scores were significantly higher in cases with medical events (p < 0.001). The risk stratification exhibited areas under the curve in the receiver operating characteristics (ROC) curve, with values of 0.831 for NACA, 0.866 for NEWS, and 0.895 for the MME-score.</p><p><strong>Conclusion: </strong>The incidence of MMEs is subject to variation depending on the operational context. Established scoring systems such as the NACA and NEWS are available for the purpose of risk stratification of medical events in patients with ACS during air rescue operations. The combination of these scores may indicate potential for improved risk stratification.</p>\",\"PeriodicalId\":9002,\"journal\":{\"name\":\"BMC Emergency Medicine\",\"volume\":\"25 1\",\"pages\":\"145\"},\"PeriodicalIF\":2.3000,\"publicationDate\":\"2025-08-02\",\"publicationTypes\":\"Journal Article\",\"fieldsOfStudy\":null,\"isOpenAccess\":false,\"openAccessPdf\":\"https://www.ncbi.nlm.nih.gov/pmc/articles/PMC12318427/pdf/\",\"citationCount\":\"0\",\"resultStr\":null,\"platform\":\"Semanticscholar\",\"paperid\":null,\"PeriodicalName\":\"BMC Emergency Medicine\",\"FirstCategoryId\":\"3\",\"ListUrlMain\":\"https://doi.org/10.1186/s12873-025-01308-7\",\"RegionNum\":3,\"RegionCategory\":\"医学\",\"ArticlePicture\":[],\"TitleCN\":null,\"AbstractTextCN\":null,\"PMCID\":null,\"EPubDate\":\"\",\"PubModel\":\"\",\"JCR\":\"Q1\",\"JCRName\":\"EMERGENCY MEDICINE\",\"Score\":null,\"Total\":0}","platform":"Semanticscholar","paperid":null,"PeriodicalName":"BMC Emergency Medicine","FirstCategoryId":"3","ListUrlMain":"https://doi.org/10.1186/s12873-025-01308-7","RegionNum":3,"RegionCategory":"医学","ArticlePicture":[],"TitleCN":null,"AbstractTextCN":null,"PMCID":null,"EPubDate":"","PubModel":"","JCR":"Q1","JCRName":"EMERGENCY MEDICINE","Score":null,"Total":0}
引用次数: 0

摘要

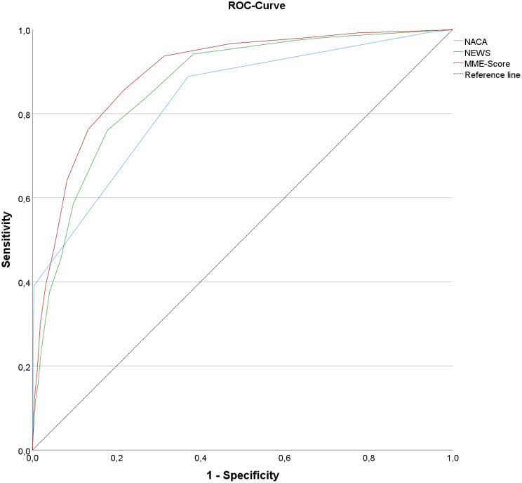
背景:急性冠脉综合征(ACS)是直升飞机紧急医疗服务(HEMS)在德国的主要原因。由于资源有限,HEMS手术过程中出现的并发症具有挑战性。然而,国家航空咨询委员会(NACA)评分和国家预警评分(NEWS)提供了潜在的风险分层。然而,缺乏关于在HEMS手术期间ACS患者发生医疗事件(如恶性心律失常、心脏骤停、心源性休克)的发生率和风险的数据。本研究的目的是评估医疗事件的发生率,并使用评分系统评估风险分层。方法:本回顾性观察队列研究分析了2012年至2024年在德国进行的38,473例“ACS”编码HEMS手术的院前记录。常规数据使用标准化的数字表格系统记录,包括患者人口统计、临床表现和医疗干预措施。主要医疗事件(MME)使用替代标记物定义,包括除颤、复苏、气道管理、通气和新发st段抬高型心肌梗死(STEMI)的发现。计算得分(NACA, NEWS和mme -总分),mme -总分综合NACA和NEWS。获得了阿尔伯特-路德维希-弗莱堡大学伦理委员会的伦理批准(编号:24-1082-S1, 2024年4月25日)。结果:38473例HEMS手术中MME发生率为8.8%。在次要任务(设施间运输)中(11.8%)比主要任务(6.7%)发生的频率更高,在夜间(15.3%)比白天(8.2%)发生的频率更高(两者均为p结论:MMEs的发生率取决于操作环境。已建立的评分系统,如NACA和NEWS,可用于对空中救援行动中ACS患者的医疗事件进行风险分层。这些评分的组合可能表明改善风险分层的潜力。
本文章由计算机程序翻译,如有差异,请以英文原文为准。

Major medical events in patients with acute coronary syndrome during helicopter emergency medical service operations.

Major medical events in patients with acute coronary syndrome during helicopter emergency medical service operations.

Major medical events in patients with acute coronary syndrome during helicopter emergency medical service operations.

Major medical events in patients with acute coronary syndrome during helicopter emergency medical service operations.

Background: Acute coronary syndromes (ACS) are a leading cause of helicopter emergency medical services (HEMS) operations in Germany. Complications that arise during HEMS operations are challenging due to limited resources. However, the National Advisory Committee for Aeronautics (NACA) score and National Early Warning Score (NEWS) provide potential for risk stratification. Nevertheless, there is an absence of data concerning the incidence and risk of medical events (e.g. malignant arrhythmia, cardiac arrest, cardiogenic shock) in ACS patients during HEMS operations. The objective of this study is to evaluate the incidence of medical events and to assess risk stratification using scoring systems.

Methods: This retrospective observational cohort study analyzed prehospital records from 38,473 HEMS operations with "ACS" coding conducted between 2012 and 2024 in Germany. Routine data were systematically recorded using a standardized digital form that captured patient demographics, clinical presentation, and medical interventions. Major medical events (MME) were defined using surrogate markers, including defibrillation, resuscitation, airway management, ventilation, and new ST-elevation myocardial infarction (STEMI) findings. Scores (NACA, NEWS, and a combined MME-score) were calculated, with the MME-score integrating NACA and NEWS. Ethical approval was obtained from the Albert-Ludwigs-University Freiburg Ethics Committee (No: 24-1082-S1, 25 April 2024).

Results: MME occurred in 8.8% of the 38,473 HEMS operations. They occurred more frequently during secondary missions (interfacility transports) (11.8%) than primary missions (6.7%), and at night (15.3%) than during the day (8.2%) (both p < 0.001). The NACA, NEWS, and MME-scores were significantly higher in cases with medical events (p < 0.001). The risk stratification exhibited areas under the curve in the receiver operating characteristics (ROC) curve, with values of 0.831 for NACA, 0.866 for NEWS, and 0.895 for the MME-score.

Conclusion: The incidence of MMEs is subject to variation depending on the operational context. Established scoring systems such as the NACA and NEWS are available for the purpose of risk stratification of medical events in patients with ACS during air rescue operations. The combination of these scores may indicate potential for improved risk stratification.

求助全文
通过发布文献求助,成功后即可免费获取论文全文。 去求助
来源期刊
BMC Emergency Medicine
BMC Emergency Medicine Medicine-Emergency Medicine
CiteScore
3.50
自引率
8.00%
发文量
178
审稿时长
29 weeks
期刊介绍: BMC Emergency Medicine is an open access, peer-reviewed journal that considers articles on all urgent and emergency aspects of medicine, in both practice and basic research. In addition, the journal covers aspects of disaster medicine and medicine in special locations, such as conflict areas and military medicine, together with articles concerning healthcare services in the emergency departments.
×
引用
GB/T 7714-2015
复制
MLA
复制
APA
复制
导出至
BibTeX EndNote RefMan NoteFirst NoteExpress
×
提示
您的信息不完整,为了账户安全,请先补充。
现在去补充
×
提示
您因"违规操作"
具体请查看互助需知
我知道了
×
提示
确定
请完成安全验证×
copy
已复制链接
快去分享给好友吧!
我知道了
右上角分享
点击右上角分享
0
联系我们:info@booksci.cn Book学术提供免费学术资源搜索服务,方便国内外学者检索中英文文献。致力于提供最便捷和优质的服务体验。 Copyright © 2023 布克学术 All rights reserved.
京ICP备2023020795号-1
ghs 京公网安备 11010802042870号
Book学术文献互助
Book学术文献互助群
群 号:604180095
Book学术官方微信